Skip to main content

The magnitude of variability produced by methods used to estimate annual stormwater contaminant loads for highly urbanised catchments

Abstract

Stormwater contaminant loading estimates using event mean concentration (EMC), rainfall/runoff relationship calculations and computer modelling (Model of Urban Stormwater Infrastructure Conceptualisation—MUSIC) demonstrated high variability in common methods of water quality assessment. Predictions of metal, nutrient and total suspended solid loadings for three highly urbanised catchments in Sydney estuary, Australia, varied greatly within and amongst methods tested. EMC and rainfall/runoff relationship calculations produced similar estimates (within 1 SD) in a statistically significant number of trials; however, considerable variability within estimates (∼50 and ∼25 % relative standard deviation, respectively) questions the reliability of these methods. Likewise, upper and lower default inputs in a commonly used loading model (MUSIC) produced an extensive range of loading estimates (3.8–8.3 times above and 2.6–4.1 times below typical default inputs, respectively). Default and calibrated MUSIC simulations produced loading estimates that agreed with EMC and rainfall/runoff calculations in some trials (4–10 from 18); however, they were not frequent enough to statistically infer that these methods produced the same results. Great variance within and amongst mean annual loads estimated by common methods of water quality assessment has important ramifications for water quality managers requiring accurate estimates of the quantities and nature of contaminants requiring treatment.

This is a preview of subscription content, access via your institution.

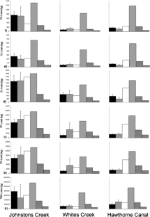
Fig. 1
Fig. 2
Fig. 3
Fig. 4

References

  • Alison, R. A., Chiew, F. H. S., & McMahon, T. A. (1998). Nutrient contribution of leaf litter in urban stormwater. Journal of Environmental Management, 54, 269–272.

    Article  Google Scholar 

  • Aryal, R., Vigneswaran, S., Kandasamy, J., & Naidu, R. (2010). Urban stormwater quality and treatment. Korean Journal of Chemical Engineering, 27(5), 1343–1359.

    Article  CAS  Google Scholar 

  • Australian Bureau of Statistics. (2005). Mesh blocks (draft) digital boundaries (ABS Cat. No. 1209.0.30.001), Australia.

  • Barry, S. C., Taylor, S. E. and Birch, G. F. (1999). Heavy metals in urban stormwater canals entering Port Jackson, Australia and their impact on the estuarine environment. In: Proceedings of the Eighth International Conference on Urban Stormwater Drainage. I. B. Joliffe and J. E. Ball (eds). Institution of Engineers Australia, International Association for Hydraulic Research, and International Association on Water Quality, 1825–1832.

  • Beck, H. J. (2010). Analysis of metals, nutrients and suspended solids discharged by stormwater to Sydney Estuary, Australia. MSc thesis (unpubl), School of Geosciences, University of Sydney, Australia

  • Beck, H. J., & Birch, G. (2012a). Metals, nutrients and total suspended solids discharged during different flow conditions in highly-urbanised catchments. Journal of Environmental Monitoring and Assessment, 184(2), 637–653.

    Article  CAS  Google Scholar 

  • Beck, H. J., & Birch, G. (2012b). Spatial and temporal variance of metal and suspended solids relationships in urban stormwater—implications for monitoring. Journal of Air, Water and Soil Pollution, 223(3), 1005–1015.

    Article  CAS  Google Scholar 

  • Bedient, P. B., Lambert, J. L., & Springer, N. K. (1980). Stormwater pollutant load–runoff relationships. Journal Water Pollution Control Federation, 52(9), 2396–2404.

    Google Scholar 

  • Begum, S., Rasul, M. G., & Brown, R. J. (2008). Stormwater treatment and reuse techniques: a review. Transactions on Environment and Development, 4(11), 144–149.

    Google Scholar 

  • Birch, G. F. (2011). Contaminated soil and sediments in a highly-developed catchment-estuary system (Sydney estuary, Australia)—an innovative stormwater remediation strategy. Journal of Soils and Sediments, 11(1), 194–208.

    Article  CAS  Google Scholar 

  • Birch, G., Matthai, C., Fazeli, M., & Suh, J. (2004). Efficiency of a constructed wetland in removing contaminants from stormwater. Wetlands, 24(2), 459–466.

    Article  Google Scholar 

  • Birch, G., Fazeli, M., & Matthai, C. (2005). Efficiency of an infiltration basin in removing contaminants from urban stormwater. Environmental Monitoring and Assessment, 101(1), 23–38.

    CAS  Google Scholar 

  • Birch, G. F., Cruickshank, B., & Davis, B. (2010). Modelling nutrient loads to Sydney estuary (Australia). Environmental Monitoring and Assessment, 167, 333–348.

    Article  CAS  Google Scholar 

  • Birch, G. F., & Rochford, L. (2010). Stormwater metal loading to a well-mixed/stratified estuary (Sydney Estuary, Australia) and management implications. Environmental Monitoring and Assessment, 169(1–4), 531–551.

    Article  CAS  Google Scholar 

  • Booth, D., & Jackson, C. R. (1997). Urbanization of aquatic systems: degradation thresholds, stormwater detection, and the limits of mitigation. Journal of the American Water Resources Association, 33(5), 1077–1090.

    Article  Google Scholar 

  • Bresonik, P. L., & Stadelmann, T. H. (2002). Analysis and predictive models of stormwater runoff volumes, loads and pollutant concentrations from watersheds in the Twin Cities metropolitan area, Minnesota, USA. Water Research, 36, 1743–1757.

    Article  Google Scholar 

  • Brocca, L., Melone, F., Moramarco, T., Wagner, W., Naeimi, V., Bartalis, Z., & Hasenauer, S. (2010). Improving runoff prediction through the assimilation of the ASCAT soil moisture product. Hydrology and Earth System Sciences, 14(10), 1881–1893.

    Article  Google Scholar 

  • Brown, R., Keath, N., & Wong, T. (2008). Transitioning to water sensitive cities: historical current and future transition states. In R. Ashley (Ed.), 11th International Conference on Urban Drainage, Edinburugh, UK, 31 Aug–5 Sep 2008: Intl. Assn. of Hydraulic Engr. & Res. (IAHR)/Intl Water Assn (IWA).

  • Brown, R., & Wong, T. (2009). The water sensitive city: principles for practice. Water Science and Technology, 60(3), 34–60.

    Google Scholar 

  • Bureau of Meteorology (2009). Pluviograph data (1986–2006) and mean monthly evapotranspiration data for Sydney Observatory Hill. Online data request services http://www.bom.gov.au/climate/cdo/about/supply.shtml. Accessed 12 April 2009.

  • Bureau of Meteorology (2012). Daily rainfall data for Sydney Observatory Hill. http://www.bom.gov.au/climate/data/. Accessed 18 September 2012

  • Cardno. (2010). Leichhardt flood study. Prepared for Leichhardt Council (LJ2629). Sydney: Cardno.

    Google Scholar 

  • Charbeneau, R. J., & Barrett, M. E. (1998). Evaluation of methods for estimating stormwater pollutant loads. Water Environment Research, 70(7), 1295–1302.

    Article  CAS  Google Scholar 

  • Chanson, H. (2004). The hydraulics of open channel flow (2nd ed.). Oxford: Butterworth-Heinemann.

    Google Scholar 

  • Clark, S., Pitt, R., & Field, E. (2003). Annoted bibliography of urban wet weather flow literature from 1996 through 2002. Edison: U.S. Environmental Protection Agency, Urban Watershed Management Branch.

    Google Scholar 

  • Creed, J. T., Brockhoff, C. A., & Martin, T. D. (1994). Determination of trace elements in waters and wastes by inductively coupled plasma—mass spectrometry. Ohio: U.S. Environmental Protection Agency.

    Google Scholar 

  • Cruickshank, B. (2006). Modelling nutrient load to the Port Jackson Estuary, Australia. BSc (Honours) thesis (unpubl), University of Sydney, Australia

  • Davis, B. (2010). Investigation of the primary sources of stormwater pollutants in highly urbanised catchments. PhD thesis (unpubl), School of Geosciences, University of Sydney, Australia

  • De Keyser, W., Gevaert, V., Verdonck, F., De Baets, B., & Benedetti, L. (2010). An emission time series generator for pollutant release modelling in urban areas. Environmental Modelling & Software, 25(4), 554–561.

    Article  Google Scholar 

  • Diaz, R. J. (2001). Overview of hypoxia around the world. Journal of Environmental Quality, 30(2), 275–281.

    Article  CAS  Google Scholar 

  • Dotto, C. B. S., Kleidorfer, M., Deletic, A., Fletcher, T. D., McCarthy, D. T., & Rauch, W. (2010). Stormwater quality models: performance and sensitivity analysis. Water Science and Technology, 62(4), 837–843.

    Article  CAS  Google Scholar 

  • Elliot, A. H., & Trowsdale, S. A. (2007). A review of models for low impact urban stormwater drainage. Environmental Modelling and Software, 22, 394–405.

    Article  Google Scholar 

  • Fletcher, T., Duncan, H., Lloyd S. & Poelsma, P. (2004). Stormwater flow and quality and the effectiveness of non-proprietary stormwater treatment measures. A review and gap analysis, undertaken by the CRC for Catchment Hydrology for the New South Wales EPA. CRC for Catchment Hydrology, Australia.

  • Freni, G., Mannina, G., & Viviani, G. (2009). Uncertainty assessment of an integrated urban drainage model. Journal of Hydrology, 373(3–4), 392–404.

    Article  Google Scholar 

  • Gordon, N., McMahon, T., Finlayson, B. L., Gippel, C., & Nathan, R. J. (2004). Stream hydrology: an introduction for ecologists. NJ: John Wiley & Sons.

    Google Scholar 

  • Hallberg, M., Renman, G., & Lundbom, T. (2007). Seasonal variations of ten metals in highway runoff and their partition between dissolved and particulate matter. Water, Air, and Soil Pollution, 181(1), 183–191.

    Google Scholar 

  • Hatje, V., Rae, K., & Birch, G. F. (2001). Trace metal and total suspended solids concentrations in freshwater: the importance of small-scale temporal variation. Journal of Environmental Monitoring, 3, 251–256.

    Article  CAS  Google Scholar 

  • Herngren, L., Goonetilleke, A., & Ayoko, G. A. (2005). Understanding heavy metal and suspended solids relationships in urban stormwater using simulated rainfall. Journal of Environmental Management, 76(2), 149–158.

    Google Scholar 

  • Kanso, A., Gromaire, M. C., Gaume, E., Tassin, B., & Chebbo, G. (2003). Bayesian approach for the calibration of models: application to an urban stormwater pollution model. Water Science and Technology, 47(4), 77–84.

    CAS  Google Scholar 

  • Kleidorfer, M., Deletic, A., Fletcher, T. D., & Rauch, W. (2009). Impact of input data uncertainties on urban stormwater model parameters. Water Science and Technology, 60(6), 1545–1554.

    Article  CAS  Google Scholar 

  • Lawrence, I. (1997). Design of water quality and ecological monitoring programs: biophysical and management context. In K. N. Markwort & W. A. Maher (Eds.), Proceedings of workshop for sampling nutrients in aquatic ecosystems—collecting valid and representative samples (pp. 22–31). Canberra: Cooperative Research Centre for Freshwater Ecology.

    Google Scholar 

  • Leecaster, M. K., Schiff, K., & Tiefenhaler, L. L. (2002). Assessment of efficient sampling designs for urban stormwater monitoring. Water Research, 36(6), 1556–1564.

    Article  CAS  Google Scholar 

  • Lindblom, E., Madsen, H., & Mikkelsen, P. S. (2007). Comparative uncertainty analysis of copper loads in stormwater systems using GLUE and grey-box modelling. Water Science and Technology, 56(6), 11–18.

    Article  CAS  Google Scholar 

  • Maestre, A., & Pitt, R. (2005). The national stormwater quality database, version 1.1—a compilation and analysis of NPDES stormwater monitoring information (p. 447). Washington DC: U.S. EPA Office of Water.

    Google Scholar 

  • Moss, A. (1997). Investigating sources of variance in nutrient sampling programs. In K. N. Markwort & W. A. Maher (Eds.), Proceedings of workshop for sampling nutrients in aquatic ecosystems—collecting valid and representative samples (pp. 35–46). Canberra: Cooperative Research Centre for Freshwater Ecology.

    Google Scholar 

  • Mitchell, V. G., Deletic, A., Fletcher, T. D., Hatt, B. E., & McCarthy, D. T. (2007). Achieving multiple benefits from stormwater harvesting. Water Science and Technology, 55, 135–144.

    Article  CAS  Google Scholar 

  • Development Team, M. U. S. I. C. (2005). MUSIC user manual. Australia: CRC for Catchment Hydrology.

    Google Scholar 

  • Walsh, C. J., Roy, A. H., Feminella, J. W., Cottingham, P. D., Groffman, P. M., & Morgan, R. P. (2005). The urban stream syndrome: current knowledge and the search for a cure. Journal of the North American Benthological Society, 24(3), 706–723.

    Google Scholar 

  • Sydney Water Corporation. (2005). Catchment boundary maps for Sydney: SWC 55 Johnstons Creek, SWC 62 Hawthorne Canal and SWC 95 Whites Creek. Australia: Sydney Water Corporation.

    Google Scholar 

  • Yoon, V. K., & Stein, E. D. (2008). Natural catchments as sources of background levels of storm-water metals, nutrients and solids. Journal of Environmental Engineering, 134(12), 961–973.

    Article  CAS  Google Scholar 

  • Zoppou, C. (2001). Review of urban storm water models. Environmental Modelling and Software, 16, 195–231.

    Article  Google Scholar 

Download references

Acknowledgments

This project was financially supported by Leichhardt Council, Sydney, NSW. The authors gratefully acknowledge the assistance of Tim Hogg, Tom Savage, Marco Olmos and Brett Davis from the School of Geosciences, University of Sydney, Australia.

Author information

Affiliations

Authors

Corresponding author

Correspondence to H. J. Beck.

Rights and permissions

Reprints and Permissions

About this article

Cite this article

Beck, H.J., Birch, G.F. The magnitude of variability produced by methods used to estimate annual stormwater contaminant loads for highly urbanised catchments. Environ Monit Assess 185, 5209–5220 (2013). https://doi.org/10.1007/s10661-012-2937-x

Download citation

  • Received:

  • Accepted:

  • Published:

  • Issue Date:

  • DOI: https://doi.org/10.1007/s10661-012-2937-x

Keywords

  • Assessment
  • Contaminants
  • Loading
  • Suspended solids
  • Metals
  • Nutrients
  • Urban runoff