Skip to main content

Distribution of natural radionuclides in surface soils in the vicinity of abandoned uranium mines in Serbia

Abstract

The activity concentrations of natural radionuclides in soils from the area affected by uranium mining at Stara Planina Mountain in Serbia were studied and compared with the results obtained from an area with no mining activities (background area). In the affected area, the activity concentrations ranged from 1.75 to 19.2 mg kg−1 for uranium and from 1.57 to 26.9 mg kg−1 for thorium which is several-fold higher than those in the background area. The Th/U, K/U, and K/Th activity ratios were also determined and compared with data from similar studies worldwide. External gamma dose rate in the air due to uranium, thorium, and potassium at 1 m above ground level in the area affected by uranium mining was found to be 91.3 nGy h−1, i.e., about two-fold higher than that in background area. The results of this preliminary study indicate the importance of radiological evaluation of the area and implementation of remedial measures in order to prevent further dispersion of radionuclides in the environment.

This is a preview of subscription content, access via your institution.

Fig. 1
Fig. 2
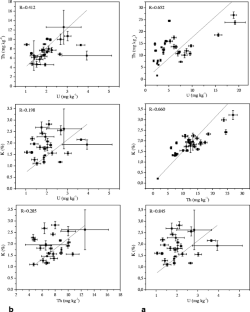
Fig. 3
Fig. 4
Fig. 5

References

  • Al-Jundi, J. (2002). Population doses from terrestrial gamma exposure in areas near to old phosphate mine, Russaifa, Jordan. Radiation Measurements, 35, 23–28.

    Article  CAS  Google Scholar 

  • Antunes, S. C., Pereira, R., & Gonçalves. (2007). Evaluation of the potential toxicity (acute and chronic) of sediments from abandoned uranium mine ponds. Journal of Soils and Sediments, 7, 368–376.

    Article  CAS  Google Scholar 

  • Baumgartner, D. J., Glenn, E. P., Moss, G., Thompson, T. L., Artiola, J. F., & Kuehl, R. O. (2000). Effect of irrigation water contaminated with uranium mill tailings on Sudan grass, Sorghum vulgare var. sudanense, and fourwing saltbush, Artiplex canescens. Arid Soil Research and Rehabilitation, 14, 43–57.

    Article  Google Scholar 

  • Blanco, P., Vera Tomé, F., & Lozano, J. C. (2005). Fractionation of natural radionuclides in soils from a uranium mineralized area in the south-west of Spain. Journal of Environmental Radioactivity, 79, 315–330.

    Article  CAS  Google Scholar 

  • Bridges, T. S., Soares, A. M. V. M., Girling, A., Bradley, M. C., & Callow, P. (1996). Chronic toxicity of Great Lakes sediments to Daphnia magna: elutriate effects on survival, reproduction and population growth. Ecotoxicology, 5, 83–102.

    Article  Google Scholar 

  • Carvalho, F. P., Madruga, M. J., Reis, M. C., Alves, J. G., Oliveira, J. M., Gouveia, J., et al. (2007). Radioactivity in the environment around past radium and uranium mining sites of Portugal. Journal of Environmental Radioactivity, 96, 39–46.

    Article  CAS  Google Scholar 

  • Carvalho, F. P., Oliveira, J. M., & Malta, M. (2009). Analyses of radionuclides in soil, water, and agriculture products near the Urgeiriça uranium mine in Portugal. Journal of Radioanalytical and Nuclear Chemistry, 281, 479–484.

    Article  CAS  Google Scholar 

  • Chiozzi, P., Pascale, V., & Verdoya, M. (2002). Naturally occurring radioactivity at the Alps–Apennines transition. Radiation Measurements, 35, 147–154.

    Article  CAS  Google Scholar 

  • Chougaonkar, M. P., Eppen, K. P., & Ramachandran, T. V. (2003). Profiles of doses to population living in the high background radiation areas in Kerala. Journal of Environmental Radioactivity, 71, 275–297.

    Article  Google Scholar 

  • Dimitrijević, M. (1995). Geology of Yugoslavia. Belgrade: Geoinstitute (in Serbian).

    Google Scholar 

  • Dragović, S., Onjia, A., Stanković, S., Aničin, I., & Bačić, G. (2005). Artificial neural network modelling of uncertainty in gamma-ray spectrometry. Nuclear Instruments and Methods in Physics Research A, 540, 455–463.

    Article  Google Scholar 

  • Dragović, S., Janković, L., Onjia, A., & Bačić, G. (2006). Distribution of primordial radionuclides in surface soils from Serbia and Montenegro. Radiation Measurements, 41, 611–616.

    Article  Google Scholar 

  • Dragović, S., Janković-Mandić, L., Momčilović, M., & Onjia, A. (2007). Population doses from terrestrial gamma exposure in Serbia. Archive of Oncology, 15, 78–80.

    Article  Google Scholar 

  • ESRI (2009). Environmental Systems Research Institute Inc., Redlands, CA, <http://www.esri.com/>.

  • Fernandes, H. M., Franklin, M. R., Veiga, L. H. S., Freitas, P., & Gomiero, L. A. (1996). Management of uranium mill tailing: geochemical process and radiological risk assessment. Journal of Environmental Radioactivity, 30, 69–95.

    Article  CAS  Google Scholar 

  • Fernandes, H. M., Lamego Simoes Filho, F. F., Perez, V., Franklin, M. R., & Gomiero, L. A. (2006). Radioecological characterization of a uranium mining site located in a semi-arid region in Brazil. Journal of Environmental Radioactivity, 88, 140–157.

    Article  CAS  Google Scholar 

  • Florou, H., & Kritidis, P. (1992). Gamma radiation measurements and dose rate in the coastal areas of a volcanic island, Aegean Sea, Greece. Radiation Protection Dosimetry, 45, 277–279.

    CAS  Google Scholar 

  • Galbraith, J. H., & Saunders, D. F. (1983). Rock classification by characteristics of aerial gamma-ray measurements. Journal of Geochemical Exploration, 18, 49–73.

    Article  CAS  Google Scholar 

  • Hamby, D. M., & Tynybekov, A. K. (2002). Uranium, thorium and potassium in soils along the shore of lake Issyk-Kyol in the Kyrghyz Republic. Environmental Monitoring and Assessment, 73, 101–108.

    Article  CAS  Google Scholar 

  • Hancock, G. R., Grabham, M. K., Martin, P., Evans, K. G., & Bollhöfer, A. (2006). A methodology for the assessment of rehabilitation success of post mining landscapes—sediment and radionuclide transport at the former Nabarlek uranium mine, Northern Territory, Australia. Science of the Total Environment, 354, 103–119.

    Article  CAS  Google Scholar 

  • IAEA (1989). Construction and use of calibration facilities for radiometric field equipment, Technical Report Series No. 309, Vienna.

  • IAEA (2007). Report on the IAEA-CU-2006-03 World-Wide Open proficiency Test on the Determination of Gamma Emitting Radionuclides, Seibersdorf.

  • Kovačević, J. (2006). Metalogeny of Stara Planina Mt. region. Faculty of Mine and Geology, Belgrade, PhD Thesis (in Serbian).

  • McConnel, M. A., Ramanujam, V. M. S., Alcock, N. W., Gabehart, G. J., & Au, W. W. (1998). Distribution of uranium-238 in environmental samples from a residential area impacted by mining and milling activities. Environmental Toxicology and Chemistry, 17, 841–850.

    Article  Google Scholar 

  • Neves, O., & Matias, M. J. (2008). Assessment of groundwater quality and contamination problems ascribed to an abandoned uranium mine (Cunha Baixa region, Central Portugal). Environmental Geology, 53, 1799–1810.

    Article  CAS  Google Scholar 

  • ORTEC (2001). Gamma Vision 32, Gamma-Ray Spectrum Analysis and MCA Emulation, Version 5.3., Oak Ridge, USA.

  • Oyedele, J. A., Shimboyo, S., Sitoka, S., & Gaoseb, F. (2010). Assessment of natural radioactivity in the soils of Rössing Uranium Mine and its satellite town in western Namibia, southern Africa. Nuclear Instruments and Methods in Physics Research A, 619, 467–469.

  • Peterson, M. J., Smith, J. G., Southworth, G. R., Ryon, M. G., & Eddlemon, G. K. (2002). Trace element contamination in benthic macroinvertebrates from a small stream near a uranium mill tailings site. Environmental Monitoring and Assessment, 74, 193–208.

    Article  CAS  Google Scholar 

  • Pyle, G. G., Swanson, S. M., & Lehmkuhl, D. M. (2001). Toxicity of uranium mine-receiving waters to caged fathead minnows, Pimephales promelas. Ecotoxicology and Environment Safety, 48, 202–214.

    Article  CAS  Google Scholar 

  • Roger, J. J. W., & Adams, J. A. S. (1969). Uranium. In K. H. Wedephol (Ed.), Handbook of geochemistry. Berlin: Springer.

    Google Scholar 

  • Rood, A., Voillequé, P. G., Rope, S. K., Grogan, H. A., & Till, J. E. (2008). Reconstruction of atmospheric concentrations and deposition of uranium and decay products released from the former uranium mill at Uravan, Colorado. Journal of Environmental Radioactivity, 99, 1258–1278.

    Article  CAS  Google Scholar 

  • Sartandel, S. J., Jha, S. K., Bara, S. V., Tripathi, R. M., & Puranik, V. D. (2009). Spatial distribution of uranium and thorium in the surface soils around proposed uranium mining site at Lambapur and its vertical profile in the Nagarjuna Sagar Dam. Journal of Environmental Radioactivity, 100, 831–834.

    Article  CAS  Google Scholar 

  • Shapiro, S. S., & Wilk, M. B. (1965). An analysis of variance test for normality (complete samples). Biometrika, 52, 591–611.

    Google Scholar 

  • Sharmasarkar, S., & Vance, G. F. (2002). Ecological risk assesssment: soil and plant selenium at a reclaimed uranium mine. Journal of Environmental Quality, 31, 1516–1521.

    Article  CAS  Google Scholar 

  • SPSS Inc. (1999). Statistical Package for the Social Sciences (SPSS). Chicago, Illinois, <http://www.spss.com>.

  • Terrain Sculptor (2011). Jenny, B., Institute of Cartography, ETH Zurich, Leonowitz, A., Department of Geography, University of Zurich, Zurich, <http://www.terraincartography.com/terrainsculptor>.

  • Tripathi, R. M., Sahoo, S. K., Jha, V. N., Khan, A. H., & Puranik, V. D. (2008). Assessment of environmental radioactivity at uranium mining, processing and tailings management facility at Jaduguda, India. Applied Radiation and Isotopes, 66, 1666–1670.

    Article  CAS  Google Scholar 

  • Tzortzis, M., & Tsertos, H. (2004). Determination of thorium, uranium and potassium elemental concentrations in surface soils in Cyprus. Journal of Environmental Radioactivity, 77, 325–338.

    Article  CAS  Google Scholar 

  • UNSCEAR (2000). Sources and Effects of Ionizing Radiation. Report to General Assembly, with Scientific Annexes, United Nations, New York.

  • UNSCEAR. (2010). Sources and effects of ionizing radiation, UNSCEAR 2008 report. New York: United Nations.

    Google Scholar 

  • Van Schmus, W. R. (1995). Natural radioactivity of the crust and mantle. In T. J. Ahrens (Ed.), Global earth physics: a handbook fo physical constants. American Geophysical Union, AGU Reference Shelf 1, pp. 283–291.

  • Vandenhove, H., Sweeck, L., Mallants, D., Vanmarcke, H., Aitkulov, A., Sadyrov, O., et al. (2006). Assessment of radiation exposure in the uranium mining and milling area of Mailuu Suu, Kyrgyzstan. Journal of Environmental Radioactivity, 88, 118–139.

    Article  CAS  Google Scholar 

  • Verdoya, M., Chiozzi, P., & Pasquale, V. (2001). Heat-producing radionuclides in metamorphic rocks of the Brianconnais-Piedmont Zone (Maritime Alps). Eclogae Geologicae Helvetiae, 94, 1–7.

    Google Scholar 

  • War, S. A., Nongkynrih, P., Khathing, D. T., Iongwai, P. S., & Jha, S. K. (2008). Spatial distribution of natural radioactivity levels in topsoil around the high-uranium mineralization zone of Kylleng-Pyndensohiong (Mawthabah) areas, Wst Khasi Hills District, Meghalaya, India. Journal of Environmental Radioactivity, 99, 1665–1670.

    Article  CAS  Google Scholar 

Download references

Acknowledgments

This work was funded by the Ministry of Education and Science of the Republic of Serbia (projects 43009 and 41005).

Author information

Affiliations

Authors

Corresponding author

Correspondence to Snežana Dragović.

Rights and permissions

Reprints and Permissions

About this article

Cite this article

Momčilović, M., Kovačević, J., Tanić, M. et al. Distribution of natural radionuclides in surface soils in the vicinity of abandoned uranium mines in Serbia. Environ Monit Assess 185, 1319–1329 (2013). https://doi.org/10.1007/s10661-012-2634-9

Download citation

  • Received:

  • Accepted:

  • Published:

  • Issue Date:

  • DOI: https://doi.org/10.1007/s10661-012-2634-9

Keywords

  • Uranium
  • Thorium
  • Potassium
  • Uranium mining
  • Soil