Skip to main content

Heavy metal pattern and solute concentration in soils along the oldest highway of the world – the AVUS Autobahn

Abstract

Highways and main roads are a potential source of contamination for the surrounding environment. High traffic rates result in elevated heavy metal concentrations in road runoff, soil and water seepage, which has attracted much attention in the recent past. Nonetheless, investigations of pollutants in roadside soils are still a subject of major interest due to the rapid development of traffic systems and increasing traffic all over the world. The accumulation of the heavy metals Pb, Cd, Cu and Zn in soils along the oldest federal highway of the world has been studied by sampling a roadside transect of 125 by 10 m. In addition, heavy metal concentrations of Pb, Cd, Zn, Cu, Ni and Cr in soil solutions from different distances (2.5, 5 and 10 m) from the hard shoulder of the highway and from three soil depths (10, 30, and 50 cm) were investigated. The results show that heavy metal concentrations are up to 20 times increased compared to the geochemical background levels and a reference site of 800-m distance from the roadside. Soil matrix concentrations in the topsoil (0–10 cm) mostly exceeded the precautionary values of the German Federal Soil Protection and Contamination Ordinance (BBodSchV). The concentrations of Cd, Pb and Zn in the soil matrix tended to decrease with distance from the roadside edge, whereas the concentrations in the soil solution increased at a distance of 10 m onwards due to a lower soil pH. Because of both high pH values and a high sorption capacity of the soils, soil solution concentrations seldom exceeded the trigger values of the German Federal Soil Protection and Contamination Ordinance (BBodSchV) for transferring soil solution to groundwater.

This is a preview of subscription content, access via your institution.

Fig. 1
Fig. 2
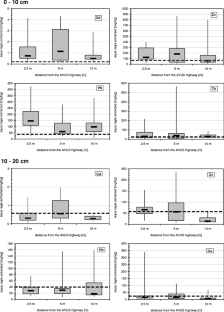
Fig. 3
Fig. 4
Fig. 5
Fig. 6
Fig. 7

References

  • Amrhein, C., & Strong, J. E. (1990). The effect of deicing salts on trace metal mobility in roadside soils. Journal of Environmental Quality, 19, 765–772.

    Article  CAS  Google Scholar 

  • Amrhein, C., Strong, J. E., & Mosher, P. A. (1992). Effect of de-icing salts on metal and organic matter mobilization in roadside soils. Environmental Science and Technology, 26, 703–709.

    Article  CAS  Google Scholar 

  • Bäckström, M., Karlsson, S., Backman, L., Folkeson, L., & Lind, B. (2004a). Mobilisation of heavy metals by deicing salts in a roadside environment. Water Research, 38(3), 720–732.

    Article  Google Scholar 

  • Bäckström, M., Karlsson, S., & Allard, B. (2004b). Metal leachability and anthropogenic signal in roadside soils estimated from sequential extraction and stable lead isotopes. Environmental Monitoring and Assessement, 90, 135–160.

    Article  Google Scholar 

  • Barbosa, A. E., & Hvitved-Jacobsen, T. (1999). Highway runoff and potential for removal of heavy metals in an infiltration pond in Portugal. Science of the Total Environment, 235, 151–159.

    Article  CAS  Google Scholar 

  • Bauske, B., & Goetz, D. (1993). Effects of deicing salts on heavy metal mobility. Acta Hydrochimica Et Hydrobiologica, 21, 38–42.

    Article  CAS  Google Scholar 

  • Bayliss, D. 1990. Orbital motorways: proceedings of the conference organized by the Institution of Civil Engineers and held in Stratford-upon-Avon on 24–26 April 1990, Telford for the Institution of Civil Engineers, London.

  • BBodSchV. (1999). Bundes-Bodenschutz- und Altlastenverordnung vom 12. Juli 1999. (BGBl. I S. 1554): in German.

  • Dierkes, C., & Geiger, W. F. (1999). Pollution retention capabilities of roadside soils. Water Science And Technology, 39(2), 201–208.

    Article  CAS  Google Scholar 

  • DIN ISO 11466. (1995). Soil quality—Extraction of trace elements soluble in aqua regia.

  • DIN ISO 19684. (1998). Methods of soil investigations for agricultural water engineering—chemical laboratory tests—part 3: Determination of the loss on ignition and the residue of soil after ignition. Berlin: Beuth Verlag.

    Google Scholar 

  • Green, S. M., Machin, R., & Cresser, M. S. (2009). Does road salting induce or ameliorate DOC mobilization from roadside soils to surface waters in the long term? Environmental Monitoring and Assessment, 153, 435–448.

    Article  CAS  Google Scholar 

  • Harrison, R. M., Johnston, W. R., Ralph, J. C., & Wilson, S. J. (1985). The budget of lead, copper and cadmium for a major highway. Science of the Total Environment, 46, 137–145.

    Article  CAS  Google Scholar 

  • Hjortenkrans, D. S. T., Bergbäck, B. G., & Häggerud, A. V. (2006). New metal emission patterns in road traffic environments. Environmental Monitoring and Assessment, 117, 85–98.

    Article  CAS  Google Scholar 

  • Hjortenkrans, D. S. T., Bergbäck, B. G., & Häggerud, A. V. (2008). Transversal immission patterns and leachability of heavy metals in road side soils. Journal of Environmental Monitoring, 10, 739–746.

    Article  CAS  Google Scholar 

  • Khan, M. N., Wasim, A. A., Sarwar, A., & Rasheed, M. F. (2011). Assessment of heavy metal toxicants in the roadside soil along the N-5, National Highway, Pakistan. Environmental Monitoring and Assessment. doi:10.1007/s10661-011-1899-8.

  • Kocher, B., Wessolek, G., & Stoffregen, H. (2005). Water and heavy metal transport in roadside soils. Pedosphere, 15(6), 746–753.

    CAS  Google Scholar 

  • LABO. (2003). Bund-Länder-Arbeitsgemeinschaft Bodenschutz-Hintergrundwerte für anorganische und organische Stoffe in Böden. 3. überarbeitete und ergänzte Auflage (in German).

  • Laxen, D. P. H., & Harrison, R. M. (1977). The highway as a source of water pollution: An appraisal with the heavy metal lead. Water Research, 11, 1–11.

    Article  CAS  Google Scholar 

  • Legret, M., & Pagotto, C. (1999). Evaluation of pollutant loadings in the runoff waters from a major rural highway. Science of Total Environment, 23, 143–150.

    Article  Google Scholar 

  • Legret, M., Odie, L., Demare, D., & Jullien, A. (2005). Leaching of heavy metals and polycyclic aromatic hydrocarbons from reclaimed asphalt pavement. Water Research, 39, 3675–3685.

    Article  CAS  Google Scholar 

  • Li, L. Y. (2005). Retention capacity and enviromental mobility of Pb in soils along highway corridor. Water, Air, and Soil Pollution, 170, 211–227.

    Article  Google Scholar 

  • Lindgren, A. (1996). Asphalt wear and pollution transport. Science of Total Environment, 190, 281–286.

    Article  Google Scholar 

  • Motto, H. L., Dairies, R. H., Chilko, D. M., & Motto, C. K. (1970). Lead in soils and plants: Its relation to traffic volume and proximity to highways. Environmental Science and Technology, 4, 231–237.

    Article  CAS  Google Scholar 

  • Munch, D. (1993). Concentration profiles of arsenic, cadmium, chromium, copper, lead, mercury, nickel, zinc, vanadium and polynuclear aromatic hydrocarbons (PAH) in forest soil beside an urban road. Science of Total Environment, 138, 47–55.

    Article  Google Scholar 

  • Muschack, W. (1990). Pollution of street runoff by traffic and local conditions. Science of Total Environment, 93, 419–431.

    Article  CAS  Google Scholar 

  • Norrström, A. C. (2005). Metal mobility by de-icing salt from an infiltration trench for highway runoff. Applied Geochemistry, 20, 1907–1919.

    Article  Google Scholar 

  • Norrström, A. C., & Jacks, G. (1998). Concentration and fractionation of heavy metals in roadside soils receiving de-icing salts. Science of Total Environment, 218, 161–174.

    Article  Google Scholar 

  • Pagotto, C., Remy, N., Legret, M., & Le Cloirec, P. (2001). Heavy metal pollution of road dust and roadside soil near a major rural highway. Environmental Technology, 22(3), 307–319.

    Article  CAS  Google Scholar 

  • Preciado, H. F., & Li, L. Y. (2006). Evaluation of metal loadings and bioavailability in air, water and soil along two highways of British Columbia, Canada. Water, Air, and Soil Pollution, 172, 81–108.

    Article  CAS  Google Scholar 

  • Reinirkens, P. (1996). Analysis of emissions through traffic volume in roadside soils and their effects on seepage water. Science of Total Environment, 190, 361–369.

    Article  Google Scholar 

  • Roulier, S., Robinson, B., Kuster, E., & Schulin, R. (2008). Analysing the preferential transport of lead in a vegetated roadside soil using lysimeter experiments and a dual-porosity model. European Journal of Soil Science, 59(1), 61–70.

    CAS  Google Scholar 

  • Saeedi, M., Hosseinzadeh, M., & Jamshidi, A. (2009). Assessment of heavy metals contamination and leaching characteristics in highway side soils, Iran. Environmental Monitoring and Assessement, 151(1–4), 231–241.

    Article  CAS  Google Scholar 

  • Sansalone, J., & Buchberger, S. G. (1997). Partitioning and first flush of metals in urban roadway storm water. Journal of Environmental Engineering, 123(2), 134–143.

    Article  CAS  Google Scholar 

  • Turer, D. (2001). Heavy metal contamination in soils of urban highways: Comparison between runoff and soil concentrations at Cincinnati, Ohio. Water, Air, and Soil Pollution, 132, 293–314.

    Article  CAS  Google Scholar 

  • Turer, D. G., & Maynard, J. B. (2003). Heavy metal contamination in highway soils. Comparison of corpus Christi, Texas and Cincinnati, Ohio shows organic matter is key of mobility. Clean Technologies and Environmental Policy, 4, 235–245.

    Article  Google Scholar 

  • Warren, R. S., & Birtch, P. (1987). Heavy metal levels in atmospheric particulates, roadside dust and soil along a major urban highway. Science of Total Environment, 59, 253–256.

    Article  CAS  Google Scholar 

  • Wigington, P. J., Randall, C. W., & Grizzard, T. J. (1986). Accumulation of selected trace metals in soils of urban runoff swale drains. Journal of the American Water Resources Association, 22, 73–79.

    Article  CAS  Google Scholar 

Download references

Author information

Affiliations

Authors

Corresponding author

Correspondence to Björn Kluge.

Electronic supplementary material

Below is the link to the electronic supplementary material.

ESM 1

(DOC 24 kb)

Rights and permissions

Reprints and Permissions

About this article

Cite this article

Kluge, B., Wessolek, G. Heavy metal pattern and solute concentration in soils along the oldest highway of the world – the AVUS Autobahn. Environ Monit Assess 184, 6469–6481 (2012). https://doi.org/10.1007/s10661-011-2433-8

Download citation

  • Received:

  • Accepted:

  • Published:

  • Issue Date:

  • DOI: https://doi.org/10.1007/s10661-011-2433-8

Keywords

  • Highway
  • Motorway
  • Roadside soils
  • Heavy metals
  • Soil solute concentration
  • AVUS Autobahn