Skip to main content

Trace metal concentrations in tidal flat coastal sediments, Yamaguchi Prefecture, southwest Japan

Abstract

Geochemical investigations of tidal flat coastal sediments at Ogori, Ozuki, and Kasado in Yamaguchi Bay of southwest Japan were conducted to determine their metal concentrations and to assess contamination levels, compared with sediment quality guidelines (SQG) and several pollutant indicators. Selected major oxides, trace elements, and total sulfur (TS) were determined by X-ray fluorescence. pH values of most samples were alkaline, indicating anoxic conditions. Average abundances of As, Pb, Zn, Cu, Ni, and Cr in Ozuki sediments were 11, 27, 109, 21, 19, and 52 mg/kg, respectively, compared to 9, 29, 80, 16, 18, and 42 mg/kg at Ogori and 12, 27, 151, 34, 30 and 80 mg/kg at Kasado, respectively. Average concentrations of As, Zn, and Cu in all samples and TiO2, Fe2O3, and P2O5 at Kasado were greater than those of the upper continental crust. Contamination levels were assessed based on SQG, contamination factors (CF), pollution load index (PLI), enrichment factor (EF), and index of geoaccumulation (Igeo). According to the SQG of the US EPA, the sediments were heavily polluted with respect to As, whereas Zn, Cu, Ni, and Cr were classed as moderately polluted. The elevated CF values of As, Pb, and Zn identify moderate to considerable contamination, indicating that these metals are potentially toxic in the study area. Based on PLI and EF, the study sites are moderate to moderately severe polluted with As and Pb, moderately polluted with Zn, and weakly contaminated to noncontaminated with Cu, Ni, and Cr. The highest Igeo values for As, Pb, and Zn in the surface and core sediments reflected the tendency of metal contamination that seems to be related to their fine-grained nature, organic matter-rich sediments, and anthropogenic point sources. Trace metal contents were strongly correlated with Fe2O3 and TiO2, suggesting that Fe oxyhydroxides and detrital clastic load play a role in controlling abundances in the study area.

This is a preview of subscription content, access via your institution.

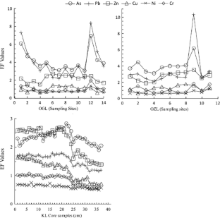
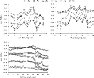
Fig. 1
Fig. 2
Fig. 3
Fig. 4
Fig. 5
Fig. 6

References

  • Abu-Hilal, A. H. (1987). Distribution of trace elements in near shore surface sediments from the Jordan Gulf of Aqaba (Red Sea). Marine Pollution Bulletin, 18, 190–193.

    Article  CAS  Google Scholar 

  • Adams, R. H., Guzman Osorio, F. J., & Zavala Cruz, J. (2008). Water repellency in oil contaminated sandy and clayey soils. International journal of Environmental Science and Technology, 5(4), 445–454.

    CAS  Google Scholar 

  • Agbozu, I. E., Ekweozor, I. K. E., & Opuene, K. (2007). Survey of heavy metals in the catfish Synodontis clarias. International journal of Environmental Science and Technology, 4(1), 93–98.

    CAS  Google Scholar 

  • Ahmed, F., Bibi, M. H., Fukushima, T., Seto, K., Ishiga, H., Fukushima, T., et al. (2010). Abundances, distribution, and sources of trace metals in Nakaumi-Honjo coastal lagoon sediments, Japan. Environmental Monitoring and Assessment, 167, 473–491.

    Article  CAS  Google Scholar 

  • Akimoto, K., Nakahara, K., Kondo, H., Ishiga, H., & Dozen, K. (2004). Environmental reconstruction based on heavy metals, diatoms and benthic foraminifers in the Isahaya reclamation area, Nagasaki, Japan. Journal of Environmental Micropaleontology, Microbiology and Meiobenthology, 1, 83–104.

    Google Scholar 

  • Akoto, O., Bruce, T. N., & Darko, G. (2008). Heavy metals pollution profiles in streams serving the Owabi reservoir. African Journal of Environmental Science and Technology, 2(11), 354–359.

    Google Scholar 

  • Aktar, M. W., Paramasivam, M., Ganguly, M., Purkait, S., & Sengupta, D. (2010). Assessment and occurrence of various heavy metals in surface water of Ganga River around Kolkata: A study for toxicity and ecological impact. Environmental Monitoring and Assessment, 160(1–4), 207–213.

    Article  Google Scholar 

  • Arnason, J. G., & Fletcher, B. A. (2003). A 40+ year record of Cd, Hg, Pb, and U deposition in sediments of Patroon Reservoir, Albany County, NY, USA. Environmental Pollution, 123, 383–391.

    Article  CAS  Google Scholar 

  • Astrom, M. (1998). Partitioning of transition metals in oxidized and reduced zones of sulphide-bearing fine-grained sediments. Applied Geochemistry, 5, 607–617.

    Article  Google Scholar 

  • Axtmann, E. V., & Luoma, S. N. (1991). Large-scale distribution of metal contamination in the fine-grained sediments of the Clark Fork River, Montana, U.S.A. Applied Geochemistry, 6(Luoma SN), 75–88.

    Article  CAS  Google Scholar 

  • Bibi, M. H., Ahmed, F., Ishiga, H., Asaeda, H., & Fujino, T. (2010). Present environment of Dam Lake Sambe, southwestern Japan: A geochemical study of bottom sediments. Environmental Earth Science, 60, 655–670.

    Article  CAS  Google Scholar 

  • Boxall, A. B. A., Comber, S. D., Conrad, A. D., Howcroft, J., & Zaman, N. (2000). Inputs, monitoring and fate modeling of antifouling biocides in UK estuaries. Marine Pollution Bulletin, 40, 898–950.

    Article  CAS  Google Scholar 

  • Chandrajith, R. L. R., Okumura, M., & Hashitani, H. (1995). Human influence on the Hg pollution in Lake Jinzai, Japan. Applied Geochemistry, 10, 229–235.

    Article  CAS  Google Scholar 

  • Chilvers, D. C., & Peterson, P. J. (1987). Global cycling of arsenic. In T. C. Hutchinson & K. M. Meema (Eds.), Lead, mercury, cadmium and arsenic in the environment (pp. 279–301). New York: Wiley.

    Google Scholar 

  • Daskalakis, K. D., & O’Connor, T. P. (1995). Distribution of chemical concentrations in US coastal and estuarine sediment. Marine Environmental Research, 40(4), 381–398.

    Article  CAS  Google Scholar 

  • Deely, J. M., & Ferguson, J. E. (1994). Heavy metal and organic matter concentrations and distributions in dated sediments of a small estuary adjacent to a small urban area. Science of the Total Environment, 153, 97–111.

    Article  CAS  Google Scholar 

  • Farmer, J. G., & Lovell, M. A. (1986). Natural enrichment of arsenic in Loch Lomond sediments. Geochemica et Cosmochim Acta, 50, 2059–2067.

    Article  CAS  Google Scholar 

  • Forstner, U., & Wittmann, G. T. W. (1979). Metal pollution in the aquatic environment (p. 486). Berlin: Springer.

    Book  Google Scholar 

  • Gueu, S., Yao, B., Adouby, K., & Ado, G. (2007). Kinetics and thermodynamics study of lead adsorption on to activated carbons from coconut and seed hull of the palm tree. International journal of Environmental Science and Technology, 4(1), 11–17.

    CAS  Google Scholar 

  • Hakanson, L. (1980). Ecological risk index for aquatic pollution control. A sedimentological approach. Water Research, 14, 975–1001.

    Article  Google Scholar 

  • Hobbelen, P. H. F., Koolhaas, J. E., & Van Gestel, C. A. M. (2004). Risk assessment of heavy metal pollution for detritivores in floodplain soils in the Biesbosch, the Netherlands, taking bioavailability into account. Environmental Pollution, 129(3), 409–419.

    Article  CAS  Google Scholar 

  • Hoshika, A., & Shiozawa, T. (1984a). Sedimentation rates and heavy metal pollution of sediments in the Seto Inland Sea, Part 2, Hiroshima Bay. Journal of the Oceanographical Society of Japan, 40, 115–123.

    Article  Google Scholar 

  • Hoshika, A., & Shiozawa, T. (1984b). Sedimentation rates and heavy metal pollution of sediments in the Seto Inland Sea, Part 3, Hiuchi-Nada. Journal of the Oceanographical Society of Japan, 40, 334–342.

    Article  CAS  Google Scholar 

  • Hoshika, A., & Shiozawa, T. (1985). Sedimentation rates and heavy metal pollution of sediments in the Seto Inland Sea, Part 4, Suho-Nada. Journal of the Oceanographical Society of Japan, 41, 283–290.

    Article  CAS  Google Scholar 

  • Hoshika, A., Shiozawa, T., & Matsumoto, E. (1983). Sedimentation rates and heavy metal pollution in sediments in Harima-Nada (Harima Sound), Seto Inland Sea. Journal of the Oceanographical Society of Japan, 39, 51–56.

    Google Scholar 

  • Ishiga, H., Dozen, K., Ahmed, F., Bibi, M. H., & Kaita, M. (2003). Evaluation of sedimentary environment using a Zn-Fe2O3 diagram. Geoscience Reports of Shimane University Japan, 22, 15–20. in Japanese.

    CAS  Google Scholar 

  • Karbassi, A. R., Monavari, S. M., Bidhendi, G. R. N., Nouri, J., & Nematpour, K. (2008). Metal pollution assessment of sediment and water in the Shur River. Environmental Monitoring and Assessment, 147(1–3), 107–116.

    Article  CAS  Google Scholar 

  • Klinkhammer, G. P. (1980). Early diagenesis in sediments from the eastern equatorial Pacific. II. Porewater metal results. Earth and Planetary Science Letters, 46, 81–101.

    Article  Google Scholar 

  • Kurland, L. T., Faro, S. W., & Siedler, H. (1960). Minimata disease: The outlook of a neurological disorder in Minamata, Japan, and its relation to the ingestion of Seafood contaminated by mercuric compounds. World Neurology, 1, 370–395.

    CAS  Google Scholar 

  • Loring, D. H., & Rantala, R. T. T. (1992). Manual for the geochemical analyses of marine sediments and suspended particulate matter. Earth-Science Reviews, 32, 235–283.

    Article  CAS  Google Scholar 

  • Matsumoto, E., & Yokota, S. (1978). Accumulation rate and heavy metal pollution in Osaka Bay sediments. Journal of the Oceanographical Society of Japan, 34, 108–115. in Japanese.

    Article  CAS  Google Scholar 

  • Millward, G. E., & Moore, R. M. (1982). The adsorption of Cu, Mn and Zn by iron oxyhydroxides in model estuarine solutions. Water Research, 16, 981–985.

    Article  CAS  Google Scholar 

  • MOE (Ministry of Environment, Japan) (2004). Environmental quality standards for soil pollution. Godochosha No. 5, 1-2-2 Kasumigaseki, Chiyoda-ku, Tokyo, Japan, 100-8975.

  • Muller, G. (1969). Index of geoaccumulation in the sediments of the Rhine River. Geological Journal, 2, 108–118.

    Google Scholar 

  • Nath, B. N., Rao, V. P. C., & Becker, K. P. (1989). Geochemical evidence of terrigenous influence in deep-sea sediments up to 8°S in the Central Indian Basin. Marine Geology, 87, 301–313.

    Article  CAS  Google Scholar 

  • Nicolau, R., Galera-Cunha, A., & Lucas, Y. (2006). Transfer of nutrients and labile metals from the continent to the sea by a small Mediterranean river. Chemosphere, 63(3), 469–476.

    Article  CAS  Google Scholar 

  • Nitta, T. (1972). Marine pollution in Japan. In: M. Ruivo (Ed.) Marine pollution and sea life (pp. 77–81). West Byfleet: Fishing News (Books).

  • Nouri, J., Mahvi, A. H., Jahed, G. R., & Babaei, A. A. (2008). Regional distribution pattern of groundwater heavy metals resulting from agricultural activities. Environmental Geology, 55(6), 1337–1343.

    CAS  Google Scholar 

  • Ogasawara, M. (1987). Trace element analysis of rock samples by X-ray fluorescence spectrometry, using Rh anode tube. Bulletin of the Geological Survey of Japan, 38(2), 57–68.

    CAS  Google Scholar 

  • Perin, G., Bonardi, M., Fabris, R., Simoncini, B., Manente, S., Tosi, L., et al. (1997). Heavy metal pollution in central Venice Lagoon bottom sediments: evaluation of the metal bioavailability by geochemical speciation procedure. Environmental Technology, 18, 593–604.

    Article  CAS  Google Scholar 

  • Potts, P. J., Tindle, A. G., & Webb, P. C. (1992). Geochemical reference material compositions (p. 313). Caithness: Whittles.

    Google Scholar 

  • Prohic, E., & Kniewald, G. (1987). Heavy metal distribution in recent sediments of the Kaka river estuary. An example of sequential extraction analysis. Marine Chemistry, 22, 279–297.

    Article  CAS  Google Scholar 

  • Rubio, B., Nombela, M. A., & Vilas, F. (2000). Geochemistry of major and trace elements in sediments of the Ria de Vigo (NW Spain): An assessment of metal pollution. Marine Pollution Bulletin, 40(11), 968–980.

    Article  CAS  Google Scholar 

  • Rudnick, R. L., & Gao, S. (2005). The crust. In H. D. Holland & K. K. Turekian (Eds.), Treatise on geochemistry, 3 (p. 537). Oxford: Elsevier Science.

    Google Scholar 

  • SAIC (Science Applications International Corporation, Canada) (2002). Compilation and review of Canadian remediation guidelines, standards and regulations (Final report, B187-413, p. 79). Emergencies Engineering Technologies Office (EETO)—Environment Canada.

  • Salomons, W., & Forstner, U. (1984). Metals in hydrocycle (pp. 63–98). Berlin: Springer.

    Book  Google Scholar 

  • Sheikh, M. A., Noah, N. M., Tsuha, K., & Oomori, T. (2007). Occurrence of tributyltin compounds and characteristics of heavy metals. International Journal of Science and Technology, 4(1), 49–60.

    CAS  Google Scholar 

  • Singh, M., Sharma, M., & Tobschall, H. J. (2005). Weathering of the Ganga alluvial plain, northern India: Implications from fluvial geochemistry of the Gomati River. Applied Geochemistry, 20, 1–21.

    Article  Google Scholar 

  • Soares, H. M. V. M., Boaventura, R. A. R., Machado, A. A. S. C., & Esteves da Silva, J. C. G. (1999). Sediments as monitors of heavy metal contamination in the Ave river basin (Portugal): Multivariate analysis of data. Environmental Pollution, 105, 311–323.

    Article  CAS  Google Scholar 

  • Sullivan, K. A., & Aller, R. C. (1996). Diagenetic cycling of arsenic in Amazon shelf sediments. Geochimica et Cosmochima Acta, 60, 1465–1477.

    Article  CAS  Google Scholar 

  • Suthar, S., & Singh, S. (2008). Vermicomposting of domestic waste by using two epigeic earthworms (Perionyx excavates and Perionyx sansibaricus). International journal of Environmental Science and Technology, 5(1), 99–106.

    CAS  Google Scholar 

  • Taylor, S. R., & McLennan, S. M. (1985). The continental crust: Its composition and evolution. Oxford: Blackwell.

    Google Scholar 

  • Terashima, S., & Ishihara, S. (1986). Copper, lead, zinc, arsenic and sulfur of the Japanese granitoids (3): Green tuff belt of Northeast Japan and Outer Zone of Southwest Japan. Bulletin of the Geology Survey of Japan, 37, 605–624.

    CAS  Google Scholar 

  • Tessier, A., Carignan, R., & Belzile, N. (1994). Processes occurring at the sediment–water interface: Emphasis on trace elements. In J. Buffle & R. R. DeVitre (Eds.), Chemical and biological regulation of aquatic system (pp. 137–173). Boca Raton: Lewis.

    Google Scholar 

  • Togashi, S., Imai, N., Okuyama-Kusunose, Y., Tanaka, T., Okai, T., Koma, T. & Murata, Y. (2000). Young upper crustal chemical composition of the orogenic Japan Arc. Geochemistry Geophysics Geosystems, 1(11), 1049, pp. 34.

    Google Scholar 

  • Tomlinson, D. C., Wilson, J. G., Harris, C. R., & Jeffrey, D. W. (1980). Problems in the assessment of heavy-metal levels in estuaries and the formation of a pollution index. Helgoland Marine Research, 33, 566–575.

    Google Scholar 

  • Tribovillard, N. P., Desprairies, A., Verges, E. L., Bertrand, P., & Moureau, N. (1994). Geochemical study of organic-matter rich cycles from the Kimmeridge Clay Formation of Yorkshire (UK): Productivity versus anoxia. Palaeogeography, Palaeoclimatology, Palaeoecology, 108, 165–181.

    Article  Google Scholar 

  • Turekian, K. L., & Wedepohl, K. H. (1961). Distribution of the elements in some major units of the Earth’s crust. Geological Society of American Bulletin, 72, 175–192.

    Article  CAS  Google Scholar 

  • Wisdom, H. L., Schroop, S. J., Calder, F. D., Ryan, J. D., Smith, R. G., Burney, L. C., et al. (1989). Natural trace metal concentrations in estuarine and coastal marine sediments of the Southeastern United States. Environmental Science and Technology, 23, 314–320.

    Article  Google Scholar 

  • Wong, P. T. S., Silverberg, B. A., Chau, Y. K., & Hodson, P. V. (1978). The biogeochemistry of lead in the environment (pp. 279–342). Amsterdam: Elsevier/North-Holland Biomedical Press.

    Google Scholar 

  • Yang, H., & Rose, N. (2005). Trace element pollution records in some UK lake sediments, their history, influence, influence factors and regional differences. Environment International, 31, 63–75.

    Article  Google Scholar 

  • Yang, H., Rose, N. L., & Batterbee, R. W. (2002). Distributions of some trace metals in Lochnagar, a Scottish mountain lake ecosystem and its catchment. Science of the Total Environment, 285, 197–208.

    Article  CAS  Google Scholar 

  • Yoshida, K., Takahashi, G., & Imaoka, T. (2009). The Cretaceous Shiratakiyama cauldron in northwest Yamaguchi Prefecture, Japan: An example of asymmetric subsidence. The Journal of the Geological Society of Japan, 115(12), 643–657. in Japanese, with English abstract.

    Article  Google Scholar 

  • Yoshimura, C., Omura, T., Furumai, H., & Tockner, K. (2005). Present state of rivers and streams in Japan. River Research & Applications, 21, 93–112.

    Article  Google Scholar 

  • Zakir, H. M., Shikazono, N., & Otomo, K. (2008). Geochemical distribution of trace metals and assessment of anthropogenic pollution in sediments of old Nakagawa River, Tokyo, Japan. American Journal of Environmental Science, 4(6), 654–665.

    Article  CAS  Google Scholar 

  • Zhang, M., Xu, J., & Xie, P. (2007). Metals in surface sediments of large shallow eutrophic lake Chaohu, China. Bulletin of Environmental Contamination and Toxicology, 79, 242–245.

    Article  CAS  Google Scholar 

  • Zvinowanda, C. M., Okonkwo, J. O., Shabalala, P. N., & Agyei, N. M. (2009). A novel adsorbent for heavy metal remediation in aqueous environments. International journal of Environmental Science and Technology, 6(3), 425–434.

    CAS  Google Scholar 

Download references

Acknowledgements

We thank Professor Toshiaki Irizuki for providing the core samples, Professor Yoshihiro Sawada of Shimane University for access to the XRF facilities and Yuya Shimizu and Erika Sano of Shimane University for their help with sampling. Dr. Barry Roser of Shimane University is acknowledged for his helpful comments on the manuscript.

Author information

Affiliations

Authors

Corresponding author

Correspondence to M. Azadur Rahman.

Rights and permissions

Reprints and Permissions

About this article

Cite this article

Rahman, M.A., Ishiga, H. Trace metal concentrations in tidal flat coastal sediments, Yamaguchi Prefecture, southwest Japan. Environ Monit Assess 184, 5755–5771 (2012). https://doi.org/10.1007/s10661-011-2379-x

Download citation

  • Received:

  • Accepted:

  • Published:

  • Issue Date:

  • DOI: https://doi.org/10.1007/s10661-011-2379-x

Keywords

  • Trace metals
  • Tidal flat coastal sediments
  • Sediment quality guidelines
  • Environmental contamination
  • Southwest Japan