Abstract
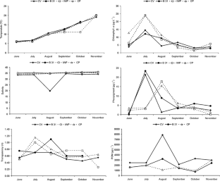
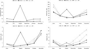
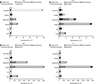
The effects of a sewage effluent with no treatment on the mesozooplankton structure and the environmental quality were evaluated in the Bahía Blanca Estuary, during June to November 1995. The highest values of particulate organic matter, nutrients and specially phosphate, were observed in the effluent discharge zone. In addition, taxa richness, mesozooplankton abundance and Shannon diversity values were lower in the sewage discharge area compared with the less polluted area. Eurytemora americana and Acartia tonsa as well as larvae of Balanus glandula, Neohelice granulata and Spionidae were found in the discharge area with lower densities. These results highlight the importance of sewage effluent effects on mesozooplankton community providing background data to use in other monitoring programmes.






References
Arias, A. H., Spetter, C. V., Freije, R. H., Marcovecchio, J. E., et al. (2009). Polycyclic aromatic hydrocarbons in water, mussels (Brachidontes sp., Tagelus sp.) and fish (Odontesthes sp.) from Bahìa Blanca Estuary, Argentina. Estuarine, Coastal and Shelf Science. doi:10.1016/j.ecss.2009.06.008.
Arias, A. H., Vazquez-Botello, A., Tombesi, N., Ponce-Vèlez, G., Freije, R. H., Marcovecchio, J. E., et al. (2010). Presence, distribution, and origins of polycyclic aromatic hydrocarbons (PAHs) in sediments from Bahìa Blanca Estuary, Argentina. Environmental Monitoring and Assessment. doi:10.1007/s10661-008-0696-5.
Avent, S. R. (1998) Distribution of Eurytemora americana (Crustacea, Copepoda) in the Dwamish River estuary, School of Oceanography Report of project: University of Washington, USA, p. 12.
Baldini, M. D., & Cabezalí, C. B. (1988). Distribución de Escherichia coli en aguas del estuario de Bahía Blanca, Argentina. Revista Latinoamericana de Microbiología, 30, 229–234.
Baldini, M. D., Cubitto, M. A., Chiarello, M. N., Cabezalí, C. B., et al. (1999). Water quality for aquaculture development in Bahía Blanca estuary. Argentina. Bacteriological studies. Revista Argentina de Microbiología, 31, 19–24.
Barría de Cao, M. S., Pettigrosso, R., Parodi, E., Freije, R., et al. (2003). Abundance and species composition of planktonic Ciliophora from the wastewater discharge zone in the Bahía Blanca estuary, Argentina. Iheringia, 93(3), 229–236.
Bianchi, F., Acri, F., Bernardi Aubry, F., Berton, A., Boldrin, A., Camatti, E., et al. (2003). Can plankton communities be considered as bio-indicators of water quality in the Lagoon of Venice? Marine Pollution Bulletin. doi:10.1016/S0025-326X(03)00111-5.
Bochert, R., Fritzschie, D., & Burckhardt, R. (1996). Influence of salinity and temperature on growth and survival of planktonic larvae of Marenzelleria viridis (Polychaeta, Spionidae). Journal of Plankton Research. doi:10.1093/plankt/18.7.1239.
Bremec, C. S., Martínez, D., & Elías, R. (2004) Asociaciones bentónicas de fondos duros y comunidades incrustantes. In M. C. Piccolo & M. S. Hoffmeyer (Eds.) Ecosistema del estuario de Bahía Blanca (pp. 171–178). Bahía Blanca, Argentina: Instituto Argentino de Oceanografía (IADO-CONICET).
Caulleaud, K., Forget-Leray, J., Peluhet, L., LeMenach, K., Souissi, S., Budzinski, H., et al. (2009). Tidal influence on the distribution of hydrophobic organic contaminants in the Seine Estuary and biomarker responses on the copepod Eurytemora affinis. Environmental Pollution, 157, 64–71.
Cervellini, P. M. (1986). Larvas y postlarvas de crustacéos Decapoda del estuario de Bahía Blanca (Argentina). Aspectos cualitativos. Spheniscus, 3, 1–23.
Cervellini, P. M. (2001). Variabilidad en la abundancia y retención de larvas de crustáceos decápodos en el estuario de Bahía Blanca, Provincia de Buenos Aires, Argentina. Investigaciones Marinas, 29(2), 25–33.
Clarke, K. R., & Warwick, R. M. (1994). Change in marine communities: An approach to statistical analysis and interpretation. Cambridge: Natural Environment Research Council of United Kingdom.
Curds, C. (1982). Pelagic protists and pollution. A review of the past decade. Annales de l’Institut océanographique, 58(S), 117–136.
Danulat, E., Muniz, P., García-Alonso, J., Yannicelli, B., et al. (2002). First assessment of the highly contaminated harbour of Montevideo, Uruguay. Baseline/Marine Pollution Bulletin, 44, 551–576.
Eberlein, K., & Kattner, G. (1987). Automatic method for the determination of orthophosphate and total dissolved phosphorous in the marine environment. Fresenius’ Journal of Analytical Chemistry, 326, 354–357.
Fernández-Severini, M. D., Bottè, S. E., Hoffmeyer, M. S., Marcovecchio, J. E., et al. (2009). Spatial and temporal distribution of cadmium and copper in water and zooplankton in the Bahìa Blanca estuary, Argentina. Estuarine, Coastal and Shelf Science. doi:10.1016/j.ecss.2009.03.019.
Fleeger, J. W., Carman, K. R., & Nisbet, R. M. (2003). Indirect effects of contaminants in aquatic ecosystems. The Science of the Total Environment. doi:10.1016/S0048-9697(03)0014-4.
Freije, R. H., & Ganoso, A. M. (1988). Producción primaria del estuario de Bahía Blanca. Informes UNESCO, Ciencias del Mar, 47, 112–114.
Freije, R. H., Zavatti, J. R., Gayoso, A. M., Asteasuain, R. O., et al. (1980). Pigmentos, producción primaria y fitoplancton del estuario de Bahía Blanca. 1) Zona interior-Puerto Cuatreros, Contribución Científica 46Instituto Argentino de Oceanografía, Bahía Blanca, p.13.
Freije, R., Asteasuain, R., Sagua de Schmidt, A., Zavatti, J., et al. (1981) Relación de la salinidad y temperatura del agua con las condiciones hidrometeorológicas en la porción interna del estuario de Bahía Blanca, Contribución Científica 57: Instituto Argentino de Oceanografía, Bahía Blanca, p. 20.
Fritzsche, D., & von Oertzen, J. A. (1995). Bioenergetics of a highly adaptable brackish water polychaeta. Thermochimica Acta, 251, 1–9.
Gayoso, A. M. (1983). Estudio del fitoplancton del estuario de Bahía Blanca (Buenos Aires, Argentina). Studia Oecologica, 2, 73–88.
Gayoso, A. M. (1988). Variación estacional del fitoplancton en la zona más interna del estuario de Bahía Blanca (Argentina). Gayana, Botánica, 45, 241–248.
Grasshoff, K. (1983). Methods of seawater analysis (2nd ed.). Weinheim: Verlag Chemier.
Hoffmeyer, M. S. (1983). Zooplancton del área interna de la Bahía Blanca (Buenos Aires, Argentina). I-Composición faunística. Historia Natural, 3(8), 73–94.
Hoffmeyer, M. S. (1994). Seasonal succession of Copepoda in the Bahía Blanca Estuary. Hydrobiologia, 292(293), 303–308.
Hoffmeyer, M. S. (2004). Decadal change in zooplankton seasonal succession in the Bahía Blanca estuary, Argentina following introduction of two zooplankton species. Journal of Plankton Research. doi:10.1093/plankt/fbh023.
Hoffmeyer, M. S., & Cervellini, P. M. (2004). Macro-zooplancton del estuario y aguas costeras adyacentes. In M. C. Piccolo & M. S. Hoffmeyer (Eds.) Ecosistema del estuario de Bahía Blanca (pp. 143–151). Bahía Blanca, Argentina: Instituto Argentino de Oceanografía (IADO-CONICET).
Hoffmeyer, M. S., & Prado-Figueroa, M. (1997). Integumental structures in the oral field of Eurytemora affinis and Acartia tonsa (Copepoda, Calanoida) in relation to their trophic habits. Crustaceana, 70, 257–271.
Hoffmeyer, M. S., Tumini, L., Pettigrosso, R., Barrìa, M. S., Contradi, E., et al. (2004). In: Estudio de la calidad de agua en la Rìa de Bahìa Blanca, Convenio MBB-UNSR Reporte final, p. 98.
Kimor, B. (1991). The impact of eutrophication on phytoplankton composition in coastal marine ecosystems. Science of the Total Environment, 131, 871–878.
Kimor, B. (1992). Changes and stress signs in planktonb communities as a result of man-induced perturbations in enclosed coastal seas (Mediterranean, Baltic). Marine Pollution Bulletin, 23, 171–174.
Lara, R. J., & Pucci, A. E. (1982). Distribución espacio temporal de nutrientes en la Bahía Blanca. Acta Oceanográfica, 3(2), 113–134.
Lara, R. J., Gomez, E. A., & Pucci, A. E. (1985). Organic matter, sediment particle size and nutrient distributions in a sewage affected shallow channel. Marine Pollution Bulletin. doi:10.1016/0025-326X(85)90087-6.
Lardicci, C., Rossi, F., & Castelli, A. (1997). Analysis of macrozoobenthic community structure after severe dystrophic crises in a mediterranean coastal lagoon. Marine Pollution Bulletin. doi:10.1016/S0025-326X(96)00164-6.
Li, K. Z., Yan, J. Q., Huang, L. M., Tan, Y. H., et al. (2006). Spatial and temporal variations of mesozooplankton in the Pearl River estuary, China. Estuaries Coastal and Shelf Research. doi:10.106/j.e.css.2005.12.008.
Lorenzen, C. L. (1967). Determination of chlorophyll-a and phaeopigments. Spectrophotometric equations. Limnology and Oceanography, 12, 343–346.
Marcovecchio, J. E., Moreno, V. J., & Pérez, A. (1986). Bio-magnification of total mercury in Bahía Blanca Estuary shark. Marine Pollution Bulletin, 16, 360–364.
Margalef, R. (1977). Ecología. Barcelona: Edición Omega, S. A.
Mayer-Pinto, M., & Junqueira, A. O. R. (2003). Effects of organic pollution on the initial development of fouling communities in a tropical Bay, Brazil. Marine Pollution Bulletin. doi:10.1016/S0025-326X(03)00249-2.
Menèndez, M. C., Piccolo, M. C., Hoffmeyer, M. S., Sassi, M., et al. (in press). Estuarine mesozooplankton dynamics on a short-term time scale: Role of semidiurnal tidal cycle. Brazilian Journal of Oceanography.
Meyer-Reil, L. A., & Köster, M. (2000). Eutrophication of marine waters: Effects of benthic microbial communities. Marine Pollution Bulletin. doi:10.1016/S0025-326X(00)00114-4.
Perillo, G. M. E., & Piccolo, M. C. (1991). Tindal response in the Bahìa Blanca estuary, Argentina. Journal of Coastal Research, 7, 437–449.
Perillo, G. M. E., Piccolo, M. C., Parodi, E., Freije, R. H., et al. (2001). The Bahía Blanca Estuary, Argentina. In U. Seeliger & B. Kjerfve (Eds.), Coastal marine ecosystem of Latin America (pp. 205–217). New York: Springer Verlag.
Perillo, G. M. E., Piccolo, M. C., Palma, E., Pérez, D., Pierini, J. et al. (2004). Oceanografía Física. In M. C. Piccolo & M. S. Hoffmeyer (Eds.), Ecosistema del estuario de Bahía Blanca (pp. 61–67). Bahía Blanca, Argentina: Instituto Argentino de Oceanografía (IADO-CONICET).
Petipa, T. S. (1959). Feeding of the copepod Acartia clausi Giesbrecht. Proceedings of the USSR AS Sevastopol Biological Station, 11, 72–99.
Piccolo, M. C., & Perillo, G. M. (1990). Physical characteristics of the Bahía Blanca estuary (Argentina). Estuarine, Coastal and Shelf Science. doi:10.1016/0272-7714(90)90106-2.
Pielou, E. C. (1975). Ecological diversity. New York, USA: J. Wiley.
Popovich, C. A. (2004). Fitoplancton. In M. C. Piccolo & M. S. Hoffmeyer (Eds.) Ecosistema del Estuario de Bahía Blanca (pp. 69–78). Bahía Blanca, Argentina: Instituto Argentino de Oceanografía (IADO-CONICET).
Popovich, A. C., & Marcovecchio, J. E. (2008). Spatial and temporal variability of phytoplankton and environmental factors in a temperate estuary of South America (Atlantic coast, Argentina). Continental Shelf Research. doi:10.1016/j.csr2007.08.001.
Pucci, A. E., Freije, R. H., Asteasuain, R., Zavatti, J. R., Sericano, J. L., et al. (1979). Evaluación de la contaminación de las aguas y sedimentos de la Bahía Blanca., Contribución científica 52: Instituto Argentino de Oceanografía, Bahía Blanca, p. 90.
Sabatini, M. E. (1989). Ciclo anual del copépodo Acartia tonsa Dana, 1849 en la zona interna de la Bahía Blanca (Provincia de Buenos Aires, Argentina). Scientia Marina, 53, 847–856.
Sage, L. E., & Herman, S. S. (1972). Zooplankton of the Sandy Hook Bay Area, N.J. Chesapeake Science, 13, 29–39.
Saiz-Salinas, J. I. (1997). Evaluation of adverse biological effects induced by pollution in the Bilbao Estuary (Spain). Environmental Pollution, 96(3), 351–359.
Sarda, R., & Martin, D. (1993). Population of Streblospio (Polychaeta:Spionidae) in temperate zone: demography and production. Journal of the Marine Biological Association of the United Kingdom, 73, 769–584.
Sautour, B., & Castel, J. (1995). Comparative spring distribution of zooplankton in three macrotidal European estuaries. Hydrobiologia, 311, 139–151.
Siokou-Frangou, I., & Papathanassiou, E. (1991). Differentiation of zooplankton populations in a polluted area. Marine Ecology Progress Series, 76, 41–51.
Smith, V. H., Tilman, G. D., & Nekola, J. C. (1999). Eutrophication, impacts of excess nutrient inputs on freshwater, marine, and terrestrial ecosystems. Environmental Pollution. doi:10.1016/S0269-7491(99)00091-3.
Spetter, C. V. (2006). Ciclo biogeoquímico de nutrientes inorgánicos de nitrógeno en los humedales del estuario de Bahía Blanca. Ph. D Thesis, Universidad Nacional del Sur (UNS), Bahía Blanca, Argentina, 147 p.
Strickland, J. D., & Parsons, T. R. (1968). Determination of particulate organic carbon. In J. D. Strickland & T. R. Parsons (Eds.) A practical Handbook of seawater analysis (pp. 207–211). Bulletin 167, Fisheries Research Board of Canada: Ottawa.
Thompson, B., Adelsbach, T., Brown, C., Hunt, J., Kuwabara, J., Neale, J., et al. (2007). Biological effects of anthropogenic contaminants in the San Francisco Estuary. Environmental Pollution, 105, 156–174.
Tombesi, N. B., Pistonesi, M. F., & Freije, R. H. (2000). Physico-chemical characterization and quality improvement evaluation of primary treated municipal waste water in the city of Bahía Blanca (Argentina). Ecology Environment and Conservation, 6(2), 147–151.
Treguer, P., & Le Corre, P. (1975). Manuel d’ analisis des sels nutritifs. Brest: Université de Bretagne occidentale.
Uriarte, I., & Villate, F. (2004). Effects of pollution on zooplankton abundance and distribution in two estuaries of the Basque coast (Bay of Biscay). Marine Pollution Bulletin, 49, 220–228.
Uye, S. I., & Fleminger, A. (1976). Effects of various environmental factors on egg development of several species of Acartia in Southern California. Marine Biology, 38, 252–262.
Vecchione, M. (1989). Zooplankton distribution in three estuarine bayous with different types of anthropogenic influence. Estuaries, 12(3), 169–179.
Wagner, J. M., Hoffmeyer, M. S., Tejera, L. A., Nizovoy, A., et al. (1993). Variación estacional de larvas y adultos de Balanus en el Puerto de Ingeniero White (Estuario de Bahía Blanca, Argentina) (pp. 79–86). Puerto Madryn, Argentina: Actas II Jornadas Nacionales de Ciencias del Mar.
Wolf, W. J. (1990). Anthropogenic influences and management of estuaries. Limnologica, 20(1), 153–156.
Acknowledgements
We are grateful to the staff of the Marine Chemistry Laboratory (IADO, Argentina), for facilitating data on the physical and chemical variables analysed in this research.
Author information
Authors and Affiliations
Corresponding author
Rights and permissions
About this article
Cite this article
Biancalana, F., Menéndez, M.C., Berasategui, A.A. et al. Sewage pollution effects on mesozooplankton structure in a shallow temperate estuary. Environ Monit Assess 184, 3901–3913 (2012). https://doi.org/10.1007/s10661-011-2232-2
Received:
Accepted:
Published:
Issue Date:
DOI: https://doi.org/10.1007/s10661-011-2232-2