Skip to main content

Removal of hexavalent chromium from contaminated ground water using zero-valent iron nanoparticles

Abstract

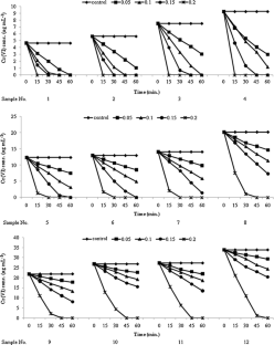
Batch experiments were conducted on ground water samples collected from a site contaminated with Cr(VI) to evaluate the redox potential of zero-valent iron (Fe0) nanoparticles for remediation of Cr(VI)-contaminated ground water. For this, various samples of contaminated ground water were allowed to react with various loadings of Fe0 nanoparticles for a reaction period of 60 min. Data showed 100% reduction of Cr(VI) in all the contaminated ground water samples after treatment with 0.20 gL−1 of Fe0 nanoparticles. An increase in the reduction of Cr(VI) from 45% to 100% was noticed with the increase in the loading of Fe0 nanoparticles from 0.05 to 0.20 gL−1. Reaction kinetics of Cr(VI) reduction showed pseudo first-order kinetics with rate constant in the range of 1.1 × 10−3 to 3.9 × 10−3 min−1. This work demonstrates the potential utility of Fe0 nanoparticles in treatment and remediation of Cr(VI)-contaminated water source.

This is a preview of subscription content, access via your institution.

Fig. 1
Fig. 2
Fig. 3
Fig. 4

References

  • APHA. (2005). Standard methods for the examination of water and waste water (21st ed.). Washington: American Public Health Association.

    Google Scholar 

  • BIS. (2003). Indian standard: Drinking water specifications. First revision IS 10500:1991 (22nd ed.). New Delhi: Bureau of Indian Standards. 2003–2009.

    Google Scholar 

  • Cao, J., & Zhang, W. X. (2006). Stabilization of chromium ore processing residue (COPR) with nanoscale iron particles. Journal of Hazardous Materials, 132, 213–219.

    Article  CAS  Google Scholar 

  • Cheryl, P., & Susan, M. B. (2000). Reflections on hexavalent chromium: Health hazards of an industrial heavyweight. Environmental Health Perspectives, 108, 48–58.

    Google Scholar 

  • Elliott, D. W., & Zhang, W. X. (2001). Field assessment of nano-scale bimetallic particles for groundwater treatment. Environmental Science and Technology, 35, 4922–4926.

    Article  CAS  Google Scholar 

  • Elliott, D. W., Lien, H. L., & Zhang, W. X. (2009). Degradation of lindane by zerovalent iron nanoparticles. J Envir Engrg, 135, 317–324.

    Article  CAS  Google Scholar 

  • Franco, D. V., Da Silva, L. M., & Jardim, W. F. (2009). Reduction of hexavalent chromium in soil and ground water using zero-valent iron under batch and semi-batch conditions. Water, Air, and Soil Pollution, 197, 49–60.

    Article  CAS  Google Scholar 

  • Keane, E. (2009). Fate, transport, and toxicity of nanoscale zero-valent iron (nZVI) used during superfund remediation. Washington: USEPA.

    Google Scholar 

  • Keenan, C. R., Goldstein, R. G., Lucas, D., & Sedlak, D. L. (2009). Oxidative stress induced by zero-valent iron nanoparticles and Fe(II) in human bronchial epithelial cells. Environmental Science and Technology, 43, 4555–4560.

    Article  CAS  Google Scholar 

  • Lai, K. C. K., & Lo, I. M. C. (2008). Removal of Cr(VI) by acid washed zero-valent iron under various groundwater geochemistry conditions. Environmental Science and Technology, 42, 1238–1244.

    Article  CAS  Google Scholar 

  • Lee, T., Lim, H., Lee, Y., & Park, J. W. (2003). Use of waste iron metal for removal of Cr(VI) from water. Chemosphere, 53, 479–485.

    Article  CAS  Google Scholar 

  • Li, X. Q., & Zhang, W. X. (2007). Sequestration of metal cations with zerovalent iron nanoparticles—A study with high resolution X-ray photoelectron spectroscopy (HR-XPS). J Phys Chem C, 111, 699–6946.

    Google Scholar 

  • Li, X. Q., Elliott, D. W., & Zhang, W. X. (2006). Zero-valent iron nanoparticles for abatement of environmental pollutants: Materials and engineering aspects. Crit Rev Solid State Mater Sci, 31, 111–122.

    Article  CAS  Google Scholar 

  • Li, X. Q., Cao, J., & Zhang, W. X. (2008). Stoichiometry of Cr(VI) immobilization using nanoscale zerovalent iron (nZVI): A study with high-resolution X-ray photoelectron spectroscopy (HR-XPS). Industrial and Engineering Chemistry Research, 47, 2131–2139.

    Article  CAS  Google Scholar 

  • Lien, H. L., & Zhang, W. X. (2005). Hydrodechlorination of chlorinated ethanes by nanoscale Pd/Fe bimetallic particles. Journal of Environmental Engineering, 131, 4–10.

    Article  CAS  Google Scholar 

  • Liou, Y. H., Lo, S. L., Lin, C. J., Kuan, W. H., & Weng, S. C. (2005). Chemical reduction of an unbuffered nitrate solution using catalyzed and uncatalyzed nanoscale iron particles. Journal of Hazardous Materials, 127, 102–110.

    Article  CAS  Google Scholar 

  • Liu, Y., Majetich, S. A., Tilton, R. D., Sholl, D. S., & Lowry, G. V. (2005). TCE dechlorinated rates, pathways, and efficiency of nanoscale iron particles with different properties. Environmental Science and Technology, 39, 1338–1345.

    Article  CAS  Google Scholar 

  • Liu, T., Tsang, D. C. W., & Lo, I. M. C. (2008). Chromium(VI) reduction kinetics by zero-valent iron in moderately hard water with humic acid: Iron dissolution and humic acid adsorption. Environmental Science and Technology, 42, 2092–2098.

    Article  CAS  Google Scholar 

  • Liu, X., Wazne, M., Christodoulatos, C., & Jasinkiewicz, K. L. (2009). Aggregation and deposition behaviour of boron nanoparticles in porous media. Journal of Colloid and Interface Science, 330, 90–96.

    Article  CAS  Google Scholar 

  • Martin, J. E., Herzing, A. A., Yan, W., Li, X. Q., Koel, B. E., Kiely, C. J., et al. (2008). Determination of the oxide layer thickness in core-shell zero-valent iron nanoparticles. Langmuir, 24, 4329–4334.

    Article  CAS  Google Scholar 

  • Morgada, M. E., Levy, I. K., Salomone, V., Farias, S. S., Lopez, G., & Litter, M. I. (2009). Arsenic (V) removal with nanoparticulate zerovalent iron: Effect of UV light and humic acids. Catal Today, 143, 261–268.

    Article  CAS  Google Scholar 

  • Ponder, S. M., Darab, J. G., & Mallouk, T. E. (2000). Remediation of Cr (VI) and Pb (II) aqueous solutions using supported, nano-scale zero-valent iron. Environmental Science and Technology, 34, 2564–2569.

    Article  CAS  Google Scholar 

  • Powell, R. M., Puls, R. W., Hightower, S. K., & Sabatini, D. A. (1995). Coupled iron corrosion and chromate reduction: mechanism of subsurface remediation. Environmental Science and Technology, 29, 1913–1922

    Google Scholar 

  • Pratt, A. R., Blowes, D. W., & Ptacek, C. J. (1997). Products of chromate reduction on proposed subsurface remediation material. Environmental Science and Technology, 31, 2492–2498

    Google Scholar 

  • Puls, R. W., Paul, C. J., & Powell, R. M. (1999). The application of in situ permeable reactive (Zero-valent iron) barrier technology for the remediation of chromate contaminated ground water. A field test. App Geochem, 14, 989–1000.

    Article  CAS  Google Scholar 

  • Singh, I. B., & Singh, D. R. (2003). Effect of pH on Cr-Fe interaction during Cr(VI) removal by metallic iron. Environmental Technology, 24, 1041–1047.

    Article  CAS  Google Scholar 

  • Strigul, N., Vaccari, L., Galdun, C., Wazne, M., Liu, X., Christodoulatos, C., et al. (2009). Acute toxicity of boron, titanium dioxide, and aluminium nanoparticles to Daphnia magna and Vibrio fischeri. Desalination, 248, 771–782.

    Article  CAS  Google Scholar 

  • Sun, Y. P., Li, X. Q., Cao, J., Zhang, W. X., & Wang, H. P. (2006). Characterization of zero-valent iron nanoparticles. Advances in Colloid and Interface Science, 120, 47–56.

    Article  CAS  Google Scholar 

  • Tsang, D. C. W., Graham, N. J. D., & Lo, I. M. C. (2009). Humic acid aggregation in zerovalent iron systems and its effect on trichloroethylene removal. Chemosphere, 75, 1338–1343.

    Article  CAS  Google Scholar 

  • Varanasi, P., Fullana, A., & Sidhu, S. (2007). Remediation of PCB contaminated soils using iron nano-particles. Chemosphere, 66, 1031–1038.

    Article  CAS  Google Scholar 

  • Wilkin, R. T., Su, C., Ford, R. G., & Paul, C. J. (2005). Chromium removal processes during groundwater remediation by a zero-valent iron permeable reactive barrier. Environmental Science and Technology, 39, 4599–4605.

    Article  CAS  Google Scholar 

  • Xiong, Z., Zhao, D., & Pan, G. (2007). Rapid and complete destruction of perchlorate in water and ion exchange brine using stabilized zero-valent iron nanoparticles. Water Research, 41, 3497–3505.

    Article  CAS  Google Scholar 

  • Xu, Y., & Zhao, D. (2007). Reductive immobilization of chromate in soils and groundwater by stabilized zero-valent iron nanoparticles. Water Research, 41, 2101–2108.

    Article  CAS  Google Scholar 

  • Zhang, W. X. (2003). Nanoscale iron particles for environmental remediation: An overview. J Nanopart Res, 5, 323–332.

    Article  CAS  Google Scholar 

Download references

Acknowledgments

The authors are thankful to the Director, Indian Institute of Toxicology Research, Lucknow, for providing all necessary facilities for this work. Financial support from University Grant Commission (UGC), New Delhi, India, and Uttar Pradesh Council of Science and Technology is duly acknowledged. This is IITR publication no. 2952.

Author information

Affiliations

Authors

Corresponding author

Correspondence to Virendra Misra.

Rights and permissions

Reprints and Permissions

About this article

Cite this article

Singh, R., Misra, V. & Singh, R.P. Removal of hexavalent chromium from contaminated ground water using zero-valent iron nanoparticles. Environ Monit Assess 184, 3643–3651 (2012). https://doi.org/10.1007/s10661-011-2213-5

Download citation

  • Received:

  • Accepted:

  • Published:

  • Issue Date:

  • DOI: https://doi.org/10.1007/s10661-011-2213-5

Keywords

  • Cr(VI)
  • Remediation
  • Reaction kinetics
  • Zero-valent iron (Fe0) nanoparticle
  • Batch experiments