Abstract
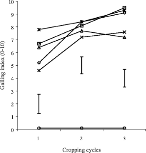
Initial applications of 104 spores g−1 of Pasteuria penetrans, and dried neem cake and leaves at 3 and 2% w:w, respectively, were applied to soil in pots. Juveniles of Meloidogyne javanica were added immediately to the pots (500, 5,000 or 10,000) before planting 6-week-old tomato seedlings. The tomatoes were sampled after 64 days; subsequently a second crop was grown for 59 days and a third crop for 67 days without further applications of P. penetrans and neem. There was significantly less root-galling in the P. penetrans combined with neem cake treatment at the end of the third crop and this treatment also had the greatest effect on the growth of the tomato plants. At the end of the third crop, 30% of the females were infected with P. penetrans in those treatments where spores had been applied at the start of the experiment. The effects of neem leaves and neem cake on the nematode population did not persist through the crop sequences but the potential for combining the amendments with a biological control agent such as P. penetrans is worthy of further evaluation.



Similar content being viewed by others
Explore related subjects
Discover the latest articles and news from researchers in related subjects, suggested using machine learning.References
Abbasi, P. A., Riga, E., Conn, K. L., & Lazarovits, G. (2005). Effect of neem cake soil amendment on reduction of damping-off severity and population densities of plant-parasitic nematodes and soilborne plant pathogens. Canadian Journal of Plant Pathology, 27, 38–45.
Akhtar, M. (2000). Nematicidal potential of the neem tree Azadirachta indica (A. Juss). Integrated Pest Management Review, 5, 57–66.
Bridge, J., & Page, S. L. J. (1980). Estimation of root-knot nematode infestation levels on roots using a rating chart. Tropical Pest Management, 26, 296–298.
Brown, S. M., Kepner, J. L., & Smart, G. C. (1985). Root penetration by Meloidogyne incognita juveniles infected with Bacillus penetrans. Journal of Nematology, 17, 123–126.
Chen, Z. X., Dickson, D. W., McSorley, R., Mitchell, D. J., & Hewlett, T. E. (1996). Suppression of Meloidogyne arenaria race 1 by soil application of endopsores of Pasteuria penetrans. Journal of Nematology, 28, 159–168.
Chitwood, D. J. (2002). Phytochemical based strategies for nematode control. Annual Review of Phytopathology, 40, 221–249.
Darban, D. A., Pembroke, B., & Gowen, S. R. (2004). The relationship of time and temperature to body weight and number of endospores in Pasteuria penetrans infected Meloidogyne javanica females. Nematology, 6, 33–36.
Eddaoudi, M., & Bourijate, M. (1998). Comparative assessment of Pasteuria penetrans and three nematicides for the control of Meloidogyne javanica and their effects on yields of successive crops of tomato and melon. Fundamental and Applied Nematology, 21, 113–118.
Giannakou, I. O., Pembroke, B., Gowen, S. R., & Davies, K. G. (1997). Effects of long term storage and above normal temperatures on spore adhesion of Pasteuria penetrans and infection of the root-knot nematodes Meloidogyne javanica. Nematologica, 43, 185–192.
Giannakou, I. O., Pembroke, B., Gowen, S. R., & Douloupaka, S. (1999). Effect of fluctuating temperature and different host plants on development of Pasteuria penetrans in Meloidogyne javanica. Journal of Nematology, 31, 312–318.
Gowen, S. R., Tzorrtzakakis, E. A., & Channer, A. G. (1998). Control of the root-knot nematode Meloidogyne javanica by Pasteuria penetrans as influenced by the initial nematode population densities. Nematologica, 44, 369–379.
Hartman, K. M., & Sasser, J. N. (1985). Identification of Meloidogyne species on the basis of differential host test and perineal-pattern morphology. In K. R. Barker, C. C. Carter, & J. N. Sasser (Eds.), An advance treatise on Meloidogyne, Vol. 2. Methodology (pp. 69–77). Raleigh, North Carolina State University, Graphics, USA: Department Plant Pathology, North Carolina State University/USAID.
Melki, K. C., Giannakou, I. O., Pembroke, B., & Gowen, S. R. (1998). The cumulative build up of Pasteuria penetrans spores in root-knot nematode infested soil and the effect of soil applied fungicides on its infectivity. Fundamental and Applied Nematology, 21, 679–683.
Nishizawa, T. (1987). A decline phenomenon in a population of upland rice cyst nematode, Heterodera elachista, caused by bacterial parasite, Pasteuria penetrans. Journal of Nematolology, 19, 546.
Pembroke, B., Gowen, S. R., & Giannakou, I. (1998). Advancement of ideas for the use of Pasteuria penetrans for the biological control of root-knot nematodes Meloidogyne spp. Pest Disease, 2, 555–560.
Sayre, R. M., & Starr, M. P. (1985). Pasteuria penetrans (ex Thorne 1940) nom. rev., comb. n., sp. n., a mycelial and endospore-forming bacterium parasitic in plant parasitic nematodes. Proceedings of the Helminthological Society of Washington, 52, 149–165.
Schmutterer, H. (1990). Properties and potential of natural pesticides from the neem tree. Annual Review of Entomology, 35, 271–297.
Sikora, R. A., & Fernandez, E. (2005). Nematode parasites of vegetables. In: M. Luc, R. A. Sikora, & J. Bridge (Eds.), Plant parasitic nematodes of subtropical and tropical agriculture (2nd ed., pp. 319–392). Wallingford, UK: CAB International.
Southey, J. F. (1986). Laboratory methods for work with plant and soil nematodes, (6th ed.). London, UK: HMSO.
Stirling, G. R. (1981). Effect of temperature on infection of Meloidogyne javanica by Bacillus penetrans. Nematologica, 27, 458–462.
Stirling, G. R. (1991). Biological control of plant parasitic nematodes: Progress, problems and prospects. Wallingford, UK: CAB International.
Stirling, G. R., & Wachtel, M. F. (1980). Mass production of Bacillus penetrans for the biological control of root-knot nematodes. Nematologica, 26, 308–312.
Trudgill, D. L., Bala, G., Blok, V. C., Daudi, A., Davies, K. G., Gowen, S. R., et al. (2000). The importance of tropical root-knot nematodes (Meloidogyne spp.) and factors affecting the utility of Pasteuria penetrans as a biocontrol agent. Nematology, 2, 823–845.
Tzortzakakis, E. A., & Gowen, S. R. (1994). The evaluation of Pasteuria penetrans alone and in combination with oxamyl, plant resistance and solarisation for integrated control of Meloidogyne spp., on vegetables grown in greenhouses of Crete. Crop Protection, 13, 455–462.
Weibelzahl-Fulton, E., Dickson, D. W., & Whitty, E. B. (1996). Suppression of Meloidogyne incognita and M. javanica by Pasteuria penetrans in field soil. Journal of Nematology, 28, 43–49.
Whitehead, A. D. (1998). Plant nematode control. Wallingford, UK: CAB International.
Acknowledgements
We are thankful to the Higher Education Commission Islamabad, Pakistan, for funding to conduct these studies at The University of Reading.
Author information
Authors and Affiliations
Corresponding author
Rights and permissions
About this article
Cite this article
Javed, N., El-Hassan, S., Gowen, S. et al. The potential of combining Pasteuria penetrans and neem (Azadirachta indica) formulations as a management system for root-knot nematodes on tomato. Eur J Plant Pathol 120, 53–60 (2008). https://doi.org/10.1007/s10658-007-9196-7
Received:
Accepted:
Published:
Issue Date:
DOI: https://doi.org/10.1007/s10658-007-9196-7


