Abstract
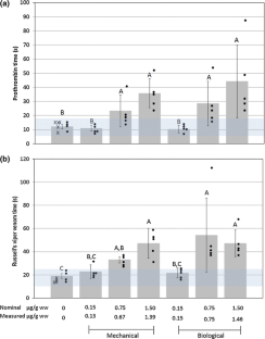
Despite widespread use and benefit, there are growing concerns regarding hazards of second-generation anticoagulant rodenticides to non-target wildlife which may result in expanded use of first-generation compounds, including chlorophacinone (CPN). The toxicity of CPN over a 7-day exposure period was investigated in American kestrels (Falco sparverius) fed either rat tissue mechanically-amended with CPN, tissue from rats fed Rozol® bait (biologically-incorporated CPN), or control diets (tissue from untreated rats or commercial bird of prey diet) ad libitum. Nominal CPN concentrations in the formulated diets were 0.15, 0.75 and 1.5 µg/g food wet weight, and measured concentrations averaged 94 % of target values. Kestrel food consumption was similar among groups and body weight varied by less than 6 %. Overt signs of intoxication, liver CPN residues, and changes in prothrombin time (PT), Russell’s viper venom time (RVVT) and hematocrit, were generally dose-dependent. Histological evidence of hemorrhage was present at all CPN dose levels, and most frequently observed in pectoral muscle and heart. There were no apparent differences in toxicity between mechanically-amended and biologically-incorporated CPN diet formulations. Dietary-based toxicity reference values at which clotting times were prolonged in 50 % of the kestrels were 79.2 µg CPN consumed/kg body weight-day for PT and 39.1 µg/kg body weight-day for RVVT. Based upon daily food consumption of kestrels and previously reported CPN concentrations found in small mammals following field baiting trials, these toxicity reference values might be exceeded by free-ranging raptors consuming such exposed prey. Tissue-based toxicity reference values for coagulopathy in 50 % of exposed birds were 0.107 µg CPN/g liver wet weight for PT and 0.076 µg/g liver for RVVT, and are below the range of residue levels reported in raptor mortality incidents attributed to CPN exposure. Sublethal responses associated with exposure to environmentally realistic concentrations of CPN could compromise survival of free-ranging raptors, and should be considered in weighing the costs and benefits of anticoagulant rodenticide use in pest control and eradication programs.




Similar content being viewed by others
Explore related subjects
Discover the latest articles, news and stories from top researchers in related subjects.References
Albert CA, Wilson LK, Mineau P, Trudeau S, Elliott JE (2010) Anticoagulant rodenticides in three owl species from western Canada, 1988–2003. Arch Environ Contam Toxicol 58:451–459
Askham LR, Poché RM (1992) Biodeterioration of chlorophacinone in voles, hawks and an owl. Mammalia 56:145–150
Bardo L, Bird DM (2009) The use of captive American kestrels (Falco sparverius) as wildlife models: a review. J Raptor Res 43:345–364
Berny PJ, Buronfosse T, Buronfosse F, Lamarque F, Lorgue G (1997) Field evidence of secondary poisoning of foxes (Vulpes vulpes) and buzzards (Buteo buteo) by bromadiolone, a 4-year survey. Chemosphere 35:1817–1829
Brakes CR, Smith RH (2005) Exposure of non-target small mammals to rodenticides: short-term effects, recovery and implications for secondary poisoning. J Appl Ecol 42:118–128
CAEPA (California Environmental Protection Agency) Department of Pesticide Regulation (2013) Memorandum on second generation anticoagulant rodenticides. July 27, 2013, Sacramento, CA. http://www.cdpr.ca.gov/docs/registration/reevaluation/chemicals/brodifacoum_final_assess.pdf Accessed 12 Sept 2014
Craighead JJ, Craighead FC Jr (1956) Hawks, owls and wildlife. The Stackpole Co. and The Wildlife Management Institute, Harrisburg, PA and Washington, DC
Duke GE, Evanson OA, Jegers A (1976) Meal to pellet intervals in 14 species of captive raptors. Comp Biochem Physiol 53A:1–6
Filipsson AF, Sand S, Nilsson J, Victorin K (2003) The benchmark dose method—review of available models, and recommendations for application in health risk assessment. Crit Rev Toxicol 33:505–542
Goodwin MA, Davis JF, Brown J (1992) Packed cell volume reference intervals to aid in the diagnosis of anemia and polycythemia in young broiler chickens. Avian Dis 36:440–443
Health Canada (2012) New use restrictions for commercial class rodenticides in agricultural settings. http://bailsmen.rssing.com/browser.php?indx=1140614&item=195. Accessed 12 September 2014
Howald G, Donlan CJ, Galvan JP, Russell JC, Parkes J, Samaniego A, Wang Y, Veitch D, Genovesi P, Pascal M, Saunders A, Tershy B (2007) Invasive rodent eradication on islands. Conserv Biol 21:1258–1268
Hughes J, Sharp E, Taylor MJ, Melton L, Hartley G (2013) Monitoring agricultural rodenticide use and secondary exposure of raptors in Scotland. Ecotoxicology 22:974–984
Island Conservation (2012) Database of island invasive species eradications. Hosted by the IUNC SSC Invasive Species Specialist Group. http://eradicationsdb.fos.auckland.ac.nz/. Accessed 12 September 2014
Kaukeinin DE (1982) A review of the secondary poisoning hazard potential to wildlife from the use of anticoagulant rodenticides. Proc Vert Pest Conf 10:151–158
Kerins GM (1999) Plasma fibrinogen concentration is increased following depletion of vitamin K-dependent clotting factors by the indirect anticoagulant difenacoum in Norway rats (Rattus norvegicus). Comp Haematol Int 9:76–82
Luna LG (1968) Manual of histological staining methods of the Armed Forces Institute of Pathology, 3rd edn. McGraw Hill, New York
Mendenhall VM, Pank LF (1980) Secondary poisoning of owls by anticoagulant rodenticides. Wildl Soc Bull 8:311–315
Mosterd JJ, Thijssen HHW (1991) The long-term effects of the rodenticide, brodifacoum, on blood coagulation and vitamin K metabolism in rats. Br J Pharmacol 104:531–535
Motulsky H (2010) Intuitive biostatistics: a nonmathematical guide to statistical thinking, 2nd edn. Oxford University Press, New York
Murray M (2011) Anticoagulant rodenticide exposure and toxicosis in four species of birds of prey presented to a wildlife clinic in Massachusetts, 2006–2010. J Zoo Wildl Med 42:88–97
Nagy KA (1987) Field metabolic rate and food requirement scaling in mammals and birds. Ecol Monogr 57:111–128
Newton I, Shore RF, Wyllie I, Birks JDS, Dale L (1999) Empirical evidence of side-effects of rodenticides on some predatory birds and mammals. In: Cowan DP, Feare CJ (eds) Advances in vertebrate pest management. Filander Verlag, Furth, pp 347–367
Porter RD, Wiemeyer SN (1970) Propagation of captive American kestrels. J Wildl Manage 34:594–604
Primus TM, Eisemann JD, Matschke GH, Ramey C, Johnston JJ (2001) Chlorophacinone residues in rangeland rodents: an assessment of the potential risk of secondary toxicity to scavengers. In: Johnston JJ (ed) Pesticides and wildlife. ACS Symposium Series 771. American Chemical Society, Washington, DC, pp 164–180
Radvanyi A, Weaver P, Massari C, Bird D, Broughton E (1988) Effects of chlorophacinone on captive kestrels. Bull Environ Contam Toxicol 41:441–448
Ramey CA, Matschke GH, Engeman RM (2007) Chlorophacinone baiting for Belding’s ground squirrels. Wildl Manage Damage Conf 12:526–537
Rattner BA, Horak KE, Warner SE, Johnston JJ (2010) Acute toxicity of diphacinone in Northern bobwhite: effects on survival and blood clotting. Ecotoxicol Environ Saf 73:1159–1164
Rattner BA, Horak KE, Warner SE, Day DD, Meteyer CU, Volker SF, Eisemann JD, Johnston JJ (2011) Acute toxicity, histopathology, and coagulopathy in American kestrels (Falco sparverius) following administration of the rodenticide diphacinone. Environ Toxicol Chem 30:1213–1222
Rattner BA, Horak KE, Lazarus RS, Eisenreich KM, Meteyer CU, Volker SF, Campton CM, Eisemann JD, Johnston JJ (2012a) Assessment of toxicity and potential risk of the anticoagulant rodenticide diphacinone using Eastern screech-owls (Megascops asio). Ecotoxicology 21:832–846
Rattner BA, Lazarus RS, Eisenreich KM, Horak KE, Volker SF, Campton CM, Eisemann JD, Meteyer CU, Johnston JJ (2012b) Comparative risk assessment of the first-generation anticoagulant rodenticide diphacinone to raptors. Proc Vert Pest Conf 25:124–130
Rattner BA, Horak KE, Lazarus RS, Goldade DA, Johnston JJ (2014a) Toxicokinetics and coagulopathy threshold of the rodenticide diphacinone in Eastern screech-owls (Megascops asio). Environ Toxicol Chem 33:74–81
Rattner BA, Lazarus RS, Elliott JE, Shore RF, van den Brink N (2014b) Adverse outcome pathway and risks of anticoagulant rodenticides to predatory wildlife. Environ Sci Technol 48:8433–8445
Rattner BA, Lazarus RS, Schultz SL, Horak KE, Abbo BG, Volker SF (2014c) Development of dietary-based toxicity reference values to assess the risk of chlorophacinone to non-target raptorial birds. Proc Vert Pest Conf 26, in press
Riedel B, Riedel M, Wieland H, Grün G (1988) Vogeltoxikologische bewertung des einsatzes von delicia-chlorphacinon-ködern in landwirtschaftlichen kulterun. Institut für Planzenschutzforshung Kleinmachnow der Akademie der Landwirtschaftwissenschaften der DRR 42:48–51
Salim H, Mohd Noor H, Hamid NH, Omar D, Kasim A, Abidin CMRZ (2014) Secondary poisoning of captive barn owls, Tyto alba javanica through feeding rats poisoned with chlorophacinone and bromadiolone. J Oil Palm Res 26:62–72
Savarie PJ, Hayes DJ, McBride RT, Roberts JD (1979) Efficacy and safety of diphacinone as a predacide. In Kenaga EE (ed) Avian and mammalian wildlife toxicology. STP 693 American Society for Testing Materials, Philadelphia, Pennsylvania, pp 69–79
Shlosberg A, Booth L (2006) Veterinary and clinical treatment of vertebrate pesticide poisoning—a technical review. Landcare Research, Lincoln, NZ
Stone WB, Okoniewski JC, Stedelin JR (1999) Poisoning of wildlife with anticoagulant rodenticides in New York. J Wildl Dis 35:187–193
Stone WB, Okoniewski JC, Stedelin JR (2003) Anticoagulant rodenticides and raptors: recent findings from New York, 1998–2001. Bull Environ Contam Toxicol 70:34–40
Sutcliffe FA, MacNicoll AD, Gibson GG (1987) Aspects of anticoagulant action: a review of the pharmacology, metabolism and toxicology of warfarin congeners. Rev Drug Metab Drug Interact 5:225–272
Thomas PJ, Mineau P, Shore RF, Champoux L, Martin PA, Wilson LK, Fitzgerald G, Elliott JE (2011) Second generation anticoagulant rodenticides in predatory birds: probabilistic characterization of toxic liver concentrations and implications for predatory bird populations in Canada. Environ Int 37:914-920; Corrigendum 40:256
US Environmental Protection Agency (2010) Risks of chlorophacinone use on black tailed prairie dogs to federally endangered and threatened species. http://www.epa.gov/espp/litstatus/effects/chlorophacinone/assessment.pdf. Accessed 12 Sept 2014
US Environmental Protection Agency (2011a) Risks of non-compliant rodenticides to nontarget wildlife—Background paper for scientific advisory panel on notice of intent to cancel non-RMD compliant rodenticide products. http://www.regulations.gov/#!documentDetail;D=EPA-HQ-OPP-2011-0718-0006. Accessed 12 Sept 2014
US Environmental Protection Agency (2011b) Benchmark Dose Software (BMDS) Version 2.2 R65 [Build: 04/13/2011]. National Center for Environmental Assessment. http://www.epa.gov/NCEA/bmds/index.html. Accessed 12 Sept 2014
US Environmental Protection Agency (2012) Risk mitigation decision for ten rodenticides. http://www.epa.gov/pesticides/reregistration/rodenticides/finalriskdecision.htm Accessed 15 July 2011
US Environmental Protection Agency (USEPA) (2000) Assigning values to non-detected/non-quantified pesticide residues in human health food exposure assessments. http://www.epa.gov/oppfead1/trac/science/trac3b012.pdf. Accessed 12 Sept 2014
US Fish and Wildlife Service (USFWS) (2012) Final biological option for Rozol use on black-tailed prairie dogs registered under Section 3 of the Federal Insecticide, Fungicide and Rodenticide Act. http://www.epa.gov/espp/2012/borozol-final.pdf. Accessed 12 Sept 2014
Vandenbroucke V, Bousquet-Melou A, De Backer P, Croubels S (2008) Pharmacokinetics of eight anticoagulant rodenticides in mice after single oral administration. J Vet Pharmacol Ther 31:437–445
Vein J, Vey D, Fourel I, Berny P (2013) Bioaccumulation of chlorophacinone in strains of rats resistant to anticoagulants. Pest Manage Sci 69:397–402
Vyas NB, Rattner BA (2012) Critique on the use of the standardized avian acute oral toxicity test for first generation anticoagulant rodenticides. Human Ecol Risk Assess 18:1069–1077
Vyas NB, Hulse CS, Meteyer CU, Rice CP (2013) Evidence of songbird intoxication from Rozol® application at a black-tailed prairie dog colony. J Fish Wildl Manage 4:97–103
Wing L, Wing AH (1939) Food consumption of a sparrow hawk. Condor 41:168–170
Acknowledgments
The authors acknowledge W.C. Bauer, D.A. Goldade, J. Green, P.F.P. Henry, C.S. Hulse, N.K. Karouna-Renier, M.M. Maxey, and D.T. Sprague for assistance with the conduct of this study, and thank N.B. Vyas for reviewing a draft of this manuscript. A preliminary report describing dietary-based toxicity reference values for chlorophacinone was presented at the 26th Vertebrate Pest Conference and is described in the proceedings of that meeting. This work was supported by the U.S. Department of Agriculture, U.S. Geological Survey and a grant from the California Department of Food and Agriculture Vertebrate Pest Control Research Advisory Committee (agreement 11-0430-SA). Any use of trade, product or firm names is for descriptive purposes only and does not imply endorsement by the U.S. Government.
Conflict of interest
The authors declare that they have no conflict of interest.
Author information
Authors and Affiliations
Corresponding author
Electronic supplementary material
Below is the link to the electronic supplementary material.
Rights and permissions
About this article
Cite this article
Rattner, B.A., Horak, K.E., Lazarus, R.S. et al. Toxicity reference values for chlorophacinone and their application for assessing anticoagulant rodenticide risk to raptors. Ecotoxicology 24, 720–734 (2015). https://doi.org/10.1007/s10646-015-1418-8
Accepted:
Published:
Issue Date:
DOI: https://doi.org/10.1007/s10646-015-1418-8

