Skip to main content

Nano-CuO and interaction with nano-ZnO or soil bacterium provide evidence for the interference of nanoparticles in metal nutrition of plants

Abstract

The expansion of nanotechnology raises concerns about the consequences of nanomaterials in plants. Here, the effects of nanoparticles (NPs; 100–500 mg/kg) on processes related to micronutrient accumulation were evaluated in bean (Phaseolus vulgaris) exposed to CuO NPs, a mixture of CuO and ZnO (CuO:ZnO) NPs, and in CuO NP-exposed plants colonized by a root bacterium, Pseudomonas chlororaphis O6 (PcO6) in a sand matrix for 7 days. Depending on exposure levels, the inhibition of growth by CuO NPs was more apparent in roots (10–66 %) than shoots (9–25 %). In contrast, CuO:ZnO NPs or root colonization with PcO6 partially mitigated growth inhibition. At 500 mg/kg exposure, CuO NPs increased soluble Cu in the growth matrix by 23-fold, relative to the control, while CuO:ZnO NPs increased soluble Cu (26-fold), Zn (127-fold) and Ca (4.5-fold), but reduced levels of Fe (0.8-fold) and Mn (0.75-fold). Shoot accumulations of Cu (3.8-fold) and Na (1-fold) increased, while those of Fe (0.4-fold), Mn (0.2-fold), Zn (0.5-fold) and Ca (0.5-fold) were reduced with CuO NP (500 mg/kg) exposure. CuO:ZnO NPs also increased shoot Cu, Zn and Na levels, while decreasing that of Fe, Mn, Ca and Mg. Root colonization reduced shoot uptake of Cu and Na, 15 and 24 %, respectively. CuO NPs inhibited ferric reductase (up to 49 %) but stimulated cupric (up to 273 %) reductase activity; while CuO:ZnO NPs or root colonization by PcO6 altered levels of ferric, but not copper reductase activity, relative to CuO NPs. Cu ions at the level released from the NPs did not duplicate these effects. Our findings demonstrate that in addition to the apparent phytotoxic effects of NPs, NP exposure may also have subtle impacts on secondary processes such as metal nutrition.

This is a preview of subscription content, access via your institution.

Fig. 1
Fig. 2
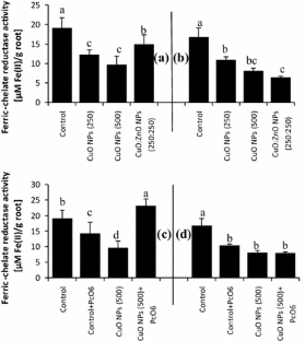
Fig. 3
Fig. 4
Fig. 5

References

  • Adhikari T, Kundu S, Biswas AK, Tarafdar JC, Rao AS (2012) Effect of copper oxide nano particle on seed germination of selected crops. J Agric Sci Technol A2:815–823

    Google Scholar 

  • Atha DH, Wang H, Petersen EJ, Cleveland D, Holbrook RD, Jaruga P, Dizdaroglu M, Xing B, Nelson BC (2012) Copper oxide nanoparticle mediated DNA damage in terrestrial plant models. Environ Sci Technol 46:1819–1827

    CAS  Article  Google Scholar 

  • Barton LL, Johnson GV, O’nan AG, Wagener BM (2000) Inhibition of ferric chelate reductase in alfalfa roots by cobalt, nickel, chromium and copper. J Plant Nutr 23:1833–1845

    CAS  Article  Google Scholar 

  • Bian SW, Mudunkotuwa IA, Rupasinghe T, Grassian VH (2011) Aggregation and dissolution of 4 nm ZnO nanoparticles in aqueous environments: influence of pH, ionic strength, size, and adsorption of humic acid. Langmuir 27:6059–6068

    CAS  Article  Google Scholar 

  • Boycheva SV, Babalakova NK (2006) Reactions of root plasma membrane redox activities in iron-deficient cucumber plants after application of ionic and chelated copper. Acta Biol Szegediensis 50:49–54

    Google Scholar 

  • Calder AJ, Dimkpa CO, McLean JE, Britt DW, Johnson W, Anderson AJ (2012) Soil components mitigate the antimicrobial effects of silver nanoparticles towards a beneficial soil bacterium, Pseudomonas chlororaphis O6. Sci Total Environ 429:215–222

    CAS  Article  Google Scholar 

  • Cherny RA, Barnham KJ, Lynch T, Volitaki I, Li QX, McLean CA, Multhaup G, Beyreuther K, Tanzi RE, Masters CL, Bush AI (2000) Chelation and intercalation, Complementary properties in a compound for the treatment of Alzheimer’s disease. J Struct Biol 130:209–216

    CAS  Article  Google Scholar 

  • Collin B, Doelsch E, Keller C, Cazevieille P, Tella M, Chaurand P, Panfili F, Hazemann J-L, Meunier J-D (2014) Evidence of sulfur-bound reduced copper in bamboo exposed to high silicon and copper concentrations. Environ Pollut 187:22–30

    CAS  Article  Google Scholar 

  • Dimkpa CO (2014) Can nanotechnology deliver the promised benefits without negatively impacting soil microbial life? J Basic Microbiol 54:889–904

  • Dimkpa CO, Calder A, Britt DW, McLean JE, Anderson AJ (2011) Responses of a soil bacterium, Pseudomonas chlororaphis O6 to commercial metal oxide nanoparticles compared with their metal ions. Environ Pollut 159:1749–1756

    CAS  Article  Google Scholar 

  • Dimkpa CO, McLean JE, Britt DW, Anderson AJ (2012a) Bioactivity and biomodification of Ag, ZnO and CuO nanoparticles with relevance to plant performance in agriculture. Ind Biotechnol 8:344–357

    CAS  Article  Google Scholar 

  • Dimkpa CO, McLean JE, Latta DE, Manangón E, Britt DW, Johnson WP, Boyanov MI, Anderson AJ (2012b) CuO and ZnO nanoparticles, phytotoxicity, metal speciation and induction of oxidative stress in sand-grown wheat. J Nanopart Res 14:1125

    Article  Google Scholar 

  • Dimkpa CO, Latta DE, McLean JE, Britt DW, Boyanov MI, Anderson AJ (2013) Fate of CuO and ZnO nano and micro particles in the plant environment. Environ Sci Technol 47:4734–4742

    CAS  Article  Google Scholar 

  • Dimkpa CO, Hansen T, Stewart J, McLean JE, Britt DW, Anderson AJ (2014) ZnO nanoparticles and root colonization by a beneficial pseudomonad influence essential metal responses in bean (Phaseolus vulgaris). Nanotoxicology. doi:10.3109/17435390.2014.900583

  • Feng Y, Cui X, He S, Dong G, Chen M, Wang J, Lin X (2013) The role of metal nanoparticles in influencing arbuscular mycorrhizal fungi effects on plant growth. Environ Sci Technol 47:9496–9504

    CAS  Article  Google Scholar 

  • Gajjar P, Pettee B, Britt DW, Huang W, Johnson WP, Anderson AJ (2009) Antimicrobial activities of commercial nanoparticles against an environmental soil microbe, Pseudomonas putida KT2440. J Biol Eng 3:9

    Article  Google Scholar 

  • Giannousi K, Avramidis I, Dendrinou-Samara C (2013) Synthesis, characterization and evaluation of copper based nanoparticles as agrochemicals against Phytophthora infestans. R Soc Chem Adv 3:21743

    CAS  Google Scholar 

  • Gogos A, Knauer K, Bucheli TD (2012) Nanomaterials in plant protection and fertilization, current state, foreseen applications, and research priorities. J Agric Food Chem 60:9781–9792

    CAS  Article  Google Scholar 

  • Impa SM, Morete MJ, Ismail AM, Schulin R, Johnson-Beebout SE (2013) Zn uptake, translocation and grain Zn loading in rice (Oryza sativa L.) genotypes selected for Zn deficiency tolerance and high grain Zn. J Exp Bot 64:2739–2751

    CAS  Article  Google Scholar 

  • Johnson GV, Barton LL (2007) Inhibition of iron deficiency stress response in cucumber by rare earth elements. Plant Physiol Biochem 45:302–308

    CAS  Article  Google Scholar 

  • Ju-Nam Y, Lead JR (2008) Manufactured nanoparticles: an overview of their chemistry, interactions and potential environmental implications. Sci Total Environ 400:396–414

    CAS  Article  Google Scholar 

  • Keller AA, Wang H, Zhou D, Lenihan HS, Cherr G, Cardinale BJ, Miller R, Ji Z (2010) Stability and aggregation of metal oxide nanoparticles in natural aqueous matrices. Environ Sci Technol 44:1962–1967

    CAS  Article  Google Scholar 

  • Kim SA, Guerinot ML (2007) Mining iron, iron uptake and transport in plants. FEB Lett 581:2273–2280

    CAS  Article  Google Scholar 

  • Kim S, Lee S, Lee I (2012) Alteration of phytotoxicity and oxidant stress potential by metal oxide nanoparticles in Cucumis sativus. Water Air Soil Pollut 223:2799–2806

    CAS  Article  Google Scholar 

  • Lee S, Chung H, Kim S, Lee I (2013) The genotoxic effect of ZnO and CuO nanoparticles on early growth of buckwheat, Fagopyrum esculentum. Water Air Soil Pollut 224:1668

    Article  Google Scholar 

  • Lei X, CeHui M, XiHong L, XiaoLian W, YanWen L, XianPei H, XiangLong Q, Yan H (2011) Toxicity of copper oxide nanoparticles to the seed germination of Chinese cabbage. J Agro-Environ Sci 30:1830–1835

    Google Scholar 

  • Loper JE, Hassan KA, Mavrodi DV, Davis EW, Lim CK, Shaffer BT, Elbourne LD, Stockwell VO, Hartney SL et al (2012) Comparative genomics of plant-associated Pseudomonas spp, insights into diversity and inheritance of traits involved in multitrophic interactions. PLoS Genet 8:e1002784

    CAS  Article  Google Scholar 

  • Lucena C, Waters BM, Romera FJ, García MJ, Morales M, Alcántara E, Pérez-Vicente R (2006) Ethylene could influence ferric reductase, iron transporter, and H+-ATPase gene expression by affecting FER (or FER-like) gene activity. J Exp Bot 57:4145–4154

    CAS  Article  Google Scholar 

  • Martineau N, McLean JE, Dimkpa CO, Britt DW, Anderson AJ (2014) Components from wheat roots modify the bioactivity of ZnO and CuO NPs in a soil bacterium. Environ Pollut 187:65–72

    CAS  Article  Google Scholar 

  • Meshram SP, Adhyapak PV, Mulik UP, Amalnerkar DP (2012) Facile synthesis of CuO nanomorphs and their morphology dependent sunlight driven photocatalytic properties. Chem Eng J 204:158–168

    Article  Google Scholar 

  • Mukherjee I, Campbell NH, Ash JH, Connolly EL (2006) Expression profiling of the Arabidopsis ferric chelate reductase (FRO) gene family reveals differential regulation by iron and copper. Planta 223:1178–1190

    CAS  Article  Google Scholar 

  • Mukherjee A, Peralta-Videa JR, Bandyopadhyay S, Rico CM, Zhao L, Gardea-Torresdey JL (2014) Physiological effects of nanoparticulate ZnO in green peas (Pisum sativum L) cultivated in soil. Metallomics 6:132–138

    CAS  Article  Google Scholar 

  • Pandey AC, Sanjay SS, Yadav RS (2010) Application of ZnO nanoparticles in influencing the growth rate of Cicer arietinum. J Exp Nanosci 5:488–497

    CAS  Article  Google Scholar 

  • Priester JH, Ge Y, Mielke RE, Horst AM, Moritz SC, Espinosa K, Gelb J, Walker SL, Nisbet RM, An YJ, Schimel JP, Palmer RG, Hernandez-Viezcas JA, Zhao L, Gardea-Torresdey JL, Holden PA (2012) Soybean susceptibility to manufactured nanomaterials with evidence for food quality and soil fertility interruption. Proc Natl Acad Sci USA 109:2451–2456

    Article  Google Scholar 

  • Robinson NJ, Proctor CM, Connolly EL, Guerinot ML (1999) A ferric-chelate reductase for iron uptake from soils. Nature 397:694–697

    CAS  Article  Google Scholar 

  • Ryan BM, Kirby JK, Degryse F, Harris H, McLaughlin MJ, Scheiderich K (2013) Copper speciation and isotope fractionation in plants, uptake and translocation mechanisms. New Phytol 199:367–368

    CAS  Article  Google Scholar 

  • Shaw AK, Hossain Z (2013) Impact of nano-CuO stress on rice (Oryza sativa L) seedlings. Chemosphere 93:906–915

    CAS  Article  Google Scholar 

  • Shaw AK, Ghosh S, Kalaji HM, Bosa K, Brestic M, Zivcak M, Hossain Z (2014) Nano-CuO stress induced modulation of antioxidative defense and photosynthetic performance of Syrian barley (Hordeum vulgare L.). Environ Exp Bot 102:37–47

    CAS  Article  Google Scholar 

  • Sinclair SA, Krämer U (2012) The zinc homeostasis network of land plants. Biochim Biophys Acta 1823:1553–1567

    CAS  Article  Google Scholar 

  • Wang Z, Xie X, Zhao J, Liu X, Feng W, White JC, Xing B (2012) Xylem- and phloem-based transport of CuO nanoparticles in maize (Zea mays L). Environ Sci Technol 46:4434–4441

    CAS  Article  Google Scholar 

  • Wang P, Menzies NW, Lombi E, McKenna BA, Johannessen B, Glover CJ, Kappen P, Kopittke PM (2013) Fate of ZnO nanoparticles in soils and cowpea (Vigna unguiculata). Environ Sci Technol 47:13822–13830

    CAS  Article  Google Scholar 

  • Welch RM, Norvell WA, Schaefer SC, Shaff JE, Kochian LV (1993) Induction of iron(III) and copper(II) reduction in pea (Pisum-sativum L) roots by Fe and Cu status—does the root-cell plasmalemma Fe(III)-chelate reductase perform a general role in regulating cation uptake? Planta 190:555–561

    CAS  Article  Google Scholar 

  • Yi Y, Guerinot ML (1996) Genetic evidence that induction of root Fe(III) chelate reductase activity is necessary for iron uptake under iron deficiency. Plant J 10:835–844

    CAS  Article  Google Scholar 

  • Yruela I (2009) Copper in plants, acquisition, transport and interactions. Funct Plant Biol 36:409–430

    CAS  Article  Google Scholar 

  • Zhu J, Li D, Chen H, Yang X, Lu L, Wang X (2004) Highly dispersed CuO nanoparticles prepared by a novel quick-precipitation method. Mater Lett 58:3324–3327

    CAS  Article  Google Scholar 

Download references

Acknowledgments

This work was supported by the United States Department of Agriculture (USDA-CSREES Grant 2011-03581), the Utah Water Research Laboratory, and the Agricultural Experiment Station (AES) Utah State University, and approved as journal paper number 8634. We thank Trevor Hansen and Jacob Stewart for help with growing and measuring plants

Conflict of interest

The authors declare no conflict of interest.

Author information

Affiliations

Authors

Corresponding author

Correspondence to Christian O. Dimkpa.

Electronic supplementary material

Below is the link to the electronic supplementary material.

10646_2014_1364_MOESM1_ESM.docx

Soluble levels of metals in growth matrix of bean exposed to CuO NPs with and without bacterial inoculation.(DOCX 17 kb)

Rights and permissions

Reprints and Permissions

About this article

Verify currency and authenticity via CrossMark

Cite this article

Dimkpa, C.O., McLean, J.E., Britt, D.W. et al. Nano-CuO and interaction with nano-ZnO or soil bacterium provide evidence for the interference of nanoparticles in metal nutrition of plants. Ecotoxicology 24, 119–129 (2015). https://doi.org/10.1007/s10646-014-1364-x

Download citation

  • Accepted:

  • Published:

  • Issue Date:

  • DOI: https://doi.org/10.1007/s10646-014-1364-x

Keywords

  • Metal oxide nanoparticles
  • Plant nutrition
  • Soil bacteria
  • Solubility
  • Bioaccumulation
  • Reductase