Abstract
The assessment of toxic effects at biologically and ecologically relevant scales is an important challenge in ecosystem protection. Indeed, stressors may impact populations at much longer term than the usual timescale of toxicity tests. It is therefore important to study the evolutionary response of a population under chronic stress. We performed a 16-generation study to assess the evolution of two populations of the ubiquitous nematode Caenorhabditis elegans in control conditions or exposed to 1.1 mM of uranium. Several generations were selected to assess growth, reproduction, survival, and dose–responses relationships, through exposure to a range of concentrations (from 0 to 1.2 mM U) with all endpoints measured daily. Our experiment showed an adaptation of individuals to experimental conditions (increase of maximal length and decrease of fecundity) for both populations. We also observed an increase of adverse effects (reduction of growth and fertility) as a function of uranium concentration. We pointed out the emergence of population differentiation for reproduction traits. In contrast, no differentiation was observed on growth traits. Our results confirm the importance of assessing environmental risk related to pollutant through multi-generational studies.





Similar content being viewed by others
References
Altun ZF, Hall DH (2009) Introduction. In: WormAtlas. WormAtlas, Pittsburgh. doi:10.3908/wormatlas.1.1
Araiz C, Château MT, Descamps S, Galas S (2008) Quantitative genomics in Caenorhabditis elegans: identification strategies for new human therapeutic targets and molecular mechanisms. IRBM 29(5):289–296. doi:10.1016/j.rbmret.2008.04.001
Augustine S, Gagnaire B, Adam-Guillermin C, Kooijman SALM (2012) Effects of uranium on the metabolism of zebrafish, Danio rerio. Aquat Toxicol 118:9–26. doi:10.1016/j.aquatox.2012.02.029
Barkleit A, Moll H, Bernhard G (2008) Interaction of uranium(VI) with lipopolysaccharide. Dalton Trans 21:2879–2886. doi:10.1039/b715669c
Beaudouin R, Dias V, Bonzom J, Péry A (2012) Individual-based model of Chironomus riparius population dynamics over several generations to explore adaptation following exposure to uranium-spiked sediments. Ecotoxicology 21:1225–1239. doi:10.1007/s10646012-0877-4,10.1007/s10646-012-0877-4
Bickham J (2011) The four cornerstones of evolutionary toxicology. Ecotoxicology 20:497–502. doi:10.1007/s10646-011-0636-y
Billoir E, Péry ARR, Charles S (2007) Integrating the lethal and sublethal effects of toxic compounds into the population dynamics of Daphnia magna: a combination of the DEBtox and matrix population models. Ecol Model 203(3–4):204–214
Billoir E, Delignette-Muller ML, Péry ARR, Charles S (2008a) A bayesian approach to analyzing ecotoxicological data. Environ Sci Technol 42(23):8978–8984. doi:10.1021/es801418x
Billoir E, Delignette-Muller M-L, Péry ARR, Geffard O, Charles S (2008b) Statistical cautions when estimating DEBtox parameters. J Theor Biol 254(1):55–64
Boyd W, Cole R, Anderson G, Williams P (2003) The effects of metals and food availability on the behavior of Caenorhabditis elegans. Environ Toxicol Chem 22(12):3049–3055. doi:10.1897/02-565
Brenner S (1974) Genetics of Caenorhabditis elegans. Genetics 77(1):71–94
Byerly L, Cassada RC, Russell RL (1976) The life cycle of the nematode Caenorhabditis elegans : I. Wild-type growth and reproduction. Dev Biol 51(1):23–33
Coutellec MA, Barata C (2011) An introduction to evolutionary processes in ecotoxicology. Ecotoxicology 20(3):493–496. doi:10.1007/s10646-011-0637-x
Coutellec MA, Collinet M, Caquet T (2011) Parental exposure to pesticides and progeny reaction norm to a biotic stress gradient in the freshwater snail Lymnaea stagnalis. Ecotoxicology 20:524–534. doi:10.1007/s10646-011-0611-7
Dutilleul M, Lemaire L, Lecomte C, Réale D, Galas S, Bonzom JM (2013) Rapid phenotypic changes in Caenorhabditis elegans under uranium exposure. Manuscript accepted in Ecotoxicology
Forbes VE, Calow P (1999) Is the per capita rate of increase a good measure of population-level effects in ecotoxicology? Environ Toxicol Chem 18(7):1544–1556
Forbes VE, Calow P (2002) Population growth rate as a basis for ecological risk assessment of toxic chemicals. Phil Trans R Soc B 357(1425):1299–1306
Gagliano M, McCormick MI (2007) Maternal condition influences phenotypic selection on offspring. J Anim Ecol 76(1):174–182
Giovanetti A, Fesenko S, Cozzella ML, Asencio LD, Sansone U (2010) Bioaccumulation and biological effects in the earthworm Eisenia fetida exposed to natural and depleted uranium. J Environ Radioact 101(6):509–516. doi:10.1016/j.jenvrad.2010.03.003
Harada H, Kurauchi M, Hayashi R, Eki T (2007) Shortened lifespan of nematode Caenorhabditis elegans after prolonged exposure to heavy metals and detergents. Ecotox Environ Safe 66:378–383. doi:10.1016/j.ecoenv.2006.02.017
Hendry AP, Gonzalez A (2008) Whither adaptation? Biol Philos 23:673–699. doi:10.1007/s10539-008-9126-x
Hoffmann AA, Merilä J (1999) Heritable variation and evolution under favourable and unfavourable conditions. Trends Ecol Evol 14(3):96–101. doi:10.1016/S0169-5347(99)01595-5
Jansen M, Coors A, Stoks R, de Meester L (2011a) Evolutionary ecotoxicology of pesticide resistance: a case study in Daphnia. Ecotoxicology 20:543–551
Jansen M, Stoks R, Coors A, van Doorslaer W, de Meester L (2011b) Collateral damage: rapid exposure-induced evolution of pesticide resistance leads to increased susceptibility to parasites. Evolution 65(9):2681–2691
Jiang GCT, Hughes S, Sturzenbaum SR, Evje L, Syversen T, Aschner M (2009) Caenorhabditis elegans metallothioneins protect against toxicity induced by depleted uranium. Toxicol Sci 111(2):345–354. doi:10.1093/toxsci/kfp161
Klerks P, Levinton J (1989) Rapid evolution of metal resistance in a benthic oligochaete inhabiting a metal-polluted site. Biol Bull 176(2):135–141
Lenormand T, Bourguet D, Guillemaud T, Raymond M (1999) Tracking the evolution of insecticide resistance in the mosquito Culex pipiens. Nature 400(6747):861–864
Lopes P, Sucena E, Santos M, Magalhães S (2008) Rapid experimental evolution of pesticide resistance in C. elegans entails no costs and affects the mating system. PLoS One 3(11):e3741. doi:10.1371/journal.pone.0003741
Lutke L, Moll H, Bernhard G (2012) Insights into the uranium(vi) speciation with Pseudomonas fluorescens on a molecular level. Dalton Trans 41(13):370–378. doi:10.1039/C2DT31080E
Massarin S, Beaudouin R, Zeman F, Floriani M, Gilbin R, Alonzo F, Pery ARR (2011) Biology-based modeling to analyze uranium toxicity data on Daphnia magna in a multigeneration study. Environ Sci Technol 45(9):4151–4158. doi:10.1021/es104082e
Maupas E (1900) Modes et formes de reproduction des nématodes. Arch Zool Exp Gen 8:463–624
Misson J, Henner P, Morello M, Floriani M, Wu TD, Guerquin-Kern JL, Février L (2009) Use of phosphate to avoid uranium toxicity in Arabidopsis thaliana leads to alterations of morphological and physiological responses regulated by phosphate availability. Environ Exp Bot 67(2):353–362. doi:10.1016/j.envexpbot.2009.09.001
Mkandawire M, Vogel K, Taubert B, Dudel EG (2007) Phosphate regulates uranium(VI) toxicity to Lemna gibba L. G3. Environ Toxicol 22(1):9–16. doi:10.1002/tox.20228
Morran LT, Cappy BJ, Anderson JL, Phillips PC (2009a) Sexual partners for the stressed: facultative outcrossing in the self-fertilizing nematode Caenorhabditis elegans. Evolution 63(6):1473–1482. doi:10.1111/j.1558-5646.2009.00652.x
Morran LT, Parmenter MD, Phillips PC (2009b) Mutation load and rapid adaptation favour outcrossing over self-fertilization. Nature 462(7271):350–352. doi:10.1038/nature08496
Mousseau TA, Fox CW (1998) The adaptive significance of maternal effects. Trends Ecol Evol 13(10):403–407
Muscatello J, Liber K (2009) Accumulation and chronic toxicity of uranium over different life stages of the aquatic invertebrate Chironomus tentans. Arch Environ Contam Toxicol 57:531–539. doi:10.1007/s00244-009-9283-1
Muyssen BT, Janssen CR (2004) Multi-generation cadmium acclimation and tolerance in Daphnia magna Straus. Environ Pollut 130(3):309–316. doi:10.1016/j.envpol.2004.01.003
R Core Team (2012) R: a language and environment for statistical computing. R Foundation for Statistical Computing, Vienna. http://www.R-project.org/. ISBN 3-900051-07-0
Räsänen K, Kruuk LEB (2007) Maternal effects and evolution at ecological time-scales. Funct Ecol 21(3):408–421. doi:10.1111/j.1365-2435.2007.01246.x
Rasband W (2012) ImageJ, U.S. National Institutes of Health, Bethesda. http://imagej.nih.gov/ij/
Ribera D, Labrot F, Tisnerat G, Narbonne JF (1996) Uranium in the environment: occurrence, transfer, and biological effects. Rev Environ Contam Toxicol 146:53–89
Ritz C, Streibig JC (2005) Bioassay analysis using R. J Stat Softw 12:1–12
Salice CJ, Anderson TA, Roesijadi G (2010) Adaptive responses and latent costs of multigeneration cadmium exposure in parasite resistant and susceptible strains of a freshwater snail. Ecotoxicology 19:1466–1475
Scheiner S (1993) Genetics and evolution of phenotypic plasticity. Annu Rev Ecol Syst 24:35–68. doi:10.1146/annurev.ecolsys.24.1.35
Shen L, Xiao J, Ye H, Wang D (2009) Toxicity evaluation in nematode Caenorhabditis elegans after chronic metal exposure. Environ Toxicol Pharmacol 28(1):125–132. doi:10.1016/j.etap.2009.03.009
Sheppard SC, Sheppard MI, Gallerand MO, Sanipelli B (2005) Derivation of ecotoxicity thresholds for uranium. J Environ Radioact 79(1):55–83. doi:10.1016/j.jenvrad.2004.05.015
Sochová I, Hofman J, Holoubek I (2007) Effects of seven organic pollutants on soil nematode Caenorhabditis elegans. Environ Int 33(6):798–804. doi:10.1016/j.envint.2007.03.001
Stiernagle T (2006) Maintenance of C. elegans. In: WormBook (ed) The C. elegans research community. WormBook, Pasadena, p 1–11. doi:/10.1895/wormbook.1.101.1
Sutphin GL, Kaeberlein M (2009) Measuring Caenorhabditis elegans life span on solid media. J Vis Exp 27:1152. doi:10.3791/1152
Swain S, Keusekotten K, Baumeister R, Sturzenbaum S (2004) C. elegans metallothioneins: new insights into the phenotypic effects of cadmium toxicosis. J Mol Biol 341(4):951–959. doi:10.1016/j.jmb.2004.06.050
Swain S, Wren J, Stürzenbaum S, Kille P, Morgan A, Jager T, Jonker M, Hankard P, Svendsen C, Owen J, Hedley B, Blaxter M, Spurgeon D (2010) Linking toxicant physiological mode of action with induced gene expression changes in Caenorhabditis elegans. BMC Syst Biol 4:32. doi:10.1186/1752-0509-4-32
Teotónio H, Carvalho S, Manoel D, Roque M, Chelo I (2012) Evolution of outcrossing in experimental populations of Caenorhabditis elegans. PLoS One 7(4):1–13. doi:10.1371/journal.pone.0035811
UNSCEAR (2000) Report vol 1: sources and effects of ionizing radiation. Tech. rep. United Nations, New-York
Ward TJ, Robinson WE (2005) Evolution of cadmium resistance in Daphnia magna. Environ Toxicol Chem 24(9):2341–2349
Yeates G (1998) Feeding in free-living soil nematodes: A functional approach. In: Wright D (ed) Perry R. The physiology and biochemistry of free-living and plant-parasitic nematodes, CAB INTERNATIONAL, New York, USA, pp 245–269
Zeman FA, Gilbin R, Alonzo F, Lecomte-Pradines C, Garnier-Laplace J, Aliaume C (2008) Effects of waterborne uranium on survival, growth, reproduction and physiological processes of the freshwater cladoceran Daphnia magna. Aquat Toxicol 86(3):370–378. doi:10.1016/j.aquatox.2007.11.018
Acknowledgments
We are especially grateful to Catherine Lecomte for discussions and suggestion on this project, Audrey Sternalski for discussion and punctual help, Virginie Camilleri for technical assistance with the ICP-AES measurements, and Cleo Tebby for linguistic corrections, statistical validation and discussion. We also thank Henrique Teotónio for providing us with his base population and for comments. The authors are also grateful to two anonymous reviewers for their valuable comments and suggestions on the manuscript. This work was part of the Envirhom-Eco research program supported by the french Institute for Radioprotection and Nuclear Safety (IRSN) and the 190 DRC-08-02 program supported by the french Ministry of Ecology.
Conflict of interest
The authors declare that they have no conflict of interest.
Ethical standard
The experiments comply with the current law of the country in which they were performed.
Author information
Authors and Affiliations
Corresponding author
Electronic supplementary material
Below is the link to the electronic supplementary material.
10646_2013_1078_MOESM1_ESM.png
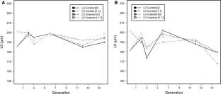
Maximal length (L inf ) for hermaphrodite individuals (µm) as a function of the generation for MGC (Control population) and MGU (Uranium population) exposed to 0 mM U, 0.1 mM U, 0.3 mM U, 0.5 mM U, 0.9 mM U, 1.1 mM U, and 1.2 mM U. Each point represents the L inf value of the model (Eq. 1) fitted using all replicate for each treatment. (PNG 704 kb)
10646_2013_1078_MOESM2_ESM.png
Maximal length (L inf ) for male individuals (µm) as a function of the generation for MGC (Control population) and MGU (Uranium population) exposed to 0 mM U, 0.1 mM U, 0.3 mM U, 0.5 mM U, 0.9 mM U, 1.1 mM U, and 1.2 mM U. Each point represents the L inf value of the model (Eq. 1) fitted using all replicate for each treatment. (PNG 675 kb)
10646_2013_1078_MOESM3_ESM.png
Mean fecundity (± Standard Deviation) as a function of the generation for MGC (Control population) and MGU (Uranium population) exposed to 0 mM U, 0.1 mM U, 0.3 mM U, 0.5 mM U, 0.9 mM U, 1.1 mM U, and 1.2 mM U (PNG 775 kb)
Rights and permissions
About this article
Cite this article
Goussen, B., Parisot, F., Beaudouin, R. et al. Consequences of a multi-generation exposure to uranium on Caenorhabditis elegans life parameters and sensitivity. Ecotoxicology 22, 869–878 (2013). https://doi.org/10.1007/s10646-013-1078-5
Accepted:
Published:
Issue Date:
DOI: https://doi.org/10.1007/s10646-013-1078-5


