Abstract
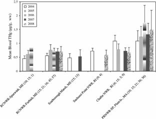
Environmental mercury exposure of birds through atmospheric deposition and watershed point-source contamination is an issue of increasing concern globally. The saltmarsh sparrow (Ammodramus caudacutus) is of high conservation concern throughout its range and the potential threat of mercury exposure adds to other anthropogenic stressors, including sea level rise. To assess methylmercury exposure we sampled blood of the northern nominal subspecies of saltmarsh sparrows (A. c. caudacutus) nesting in 21 tidal marshes throughout most of the species’ breeding range. Blood of tree swallows (Tachycineta bicolor) was sampled concurrently at three of these sites to provide a comparison with a well-studied songbird that is a model species in ecotoxicology. Arithmetic means (±1 SD) ranged from 0.24 ± 0.06 μg g−1 wet weight (ww) in Connecticut to 1.80 ± 0.14 μg g−1 ww in Massachusetts, differing significantly among sites. Comparison to tree swallows indicates that mercury exposure is significantly higher in saltmarsh sparrows, making them a more appropriate bioindicator for assessing risk to methylmercury toxicity in tidal marsh ecosystems.
Access this article
We’re sorry, something doesn't seem to be working properly.
Please try refreshing the page. If that doesn't work, please contact support so we can address the problem.



References
Altman DG (1991) Practical statistics for medical research. Chapman and Hall, London
Basu N, Stamler C, Loua K, Chan H (2005a) An interspecies comparison of mercury inhibition on muscarinic acetylcholine receptor binding in the cerebral cortex and cerebellum. Toxicol Appl Pharmachol 205:71–76
Basu N, Klenavic K, Gamberg M, O’Brien M, Evans D, Scheuhammer A, Chan H (2005b) Effects of mercury on neurochemical receptor-binding characteristics in wild mink. Environ Toxicol Chem 24(6):1444–1450
Bates D, Maechler M (2009) lme4: Linear mixed-effects models using S4 classes. R package version 0.999375-32. http://CRAN.R-project.org/package=lme4
Benoit JM, Gilmour C, Heyes A, Mason RP, Miller C (2003) Geochemical and biological controls over methylmercury production and degradation in aquatic systems. In: Braids C (ed) Biogeochemistry of environmentally important trace elements. ACS Symposium Series no. 835. American Chemical Society, Washington DC, pp 262–297
Bishop CA, Koster MD, Chek AA (1995) Chlorinated hydrocarbons and mercury in sediments, Red-winged Blackbirds (Agelaius phoeniceus) and Tree Swallows (Tachycineta bicolor) from wetlands in the Great lakes-St. Lawrence River Basin. Environ Toxicol Chem 14:491–501
Blancher PJ, McNicol DK (1991) Tree Swallow diet in relation to wetland acidity. Can J Zool 69:2629–2637
Brasso R, Cristol DA (2008) Effects of mercury exposure on the reproductive success of Tree Swallows (Tachycineta bicolor). Ecotoxicology 17:133–141
Burgess N, Meyer M (2008) Methylmercury exposure associated with reduced productivity in common loons. Ecotoxicology 17:83–91
Cristol DA, Brasso RL, Condon AM, Fovargue RE, Friedman SL, Hallinger KK, Monroe AP, White AE (2008) The Movement of aquatic mercury through terrestrial food webs. Science 320:335
Custer CM, Custer TW, Allen PD, Stromborg KL, Melancon MJ (1998) Reproduction and environmental contamination in tree swallows nesting in the Fox River drainage and Green Bay, Wisconsin. Environ Toxicol Chem 17:1786–1798
Custer CM, Custer TW, Hill EF (2007) Mercury exposure and effects on cavity-nesting birds from the Carson River, Nevada. Arch Environ Contam Toxicol 52:129–136
Dettmers R, Rosenberg KV (2000) Partners in Flight landbird conservation plan, physiographic area 9: Southern New England. American Bird Conservancy, Arlington
Driscoll CT, Han YJ, Chen CY, Evers DC, Lambert KF, Holsen TM, Kamman NC, Munson R (2007) Mercury contamination in remote forest and aquatic ecosystems in the northeastern U.S.: sources, transformations and management options. Bioscience 57:17–28
Edmonds ST, Evers DC, Cristol DA, Mettke-Hofmann C, Powell LL, McGann AJ, Armiger JW, Lane OP, Tessler DF, Newell P, Heyden K, O’Driscoll NJ (2010) Geographic and seasonal variation in mercury exposure of the declining Rusty Blackbird. Condor 112(4):789–799
Elwood JW, Hildebrand SG, Beauchamp JJ (1976) Contribution of gut contents to the concentration and body burden of elements in Tipula spp. from a spring fed stream. J Fish Res Board Can 33:1930–1938
Evers DC, Clair TA (2005) Biogeographical patterns of environmental mercury in northeastern North America. Ecotoxicology 14:1–2
Evers DC, Burgess NM, Champoux L, Hoskins B, Major A, Goodale W, Taylor R, Daigle T (2005) Patterns and interpretation of mercury exposure in freshwater avian communities in Northeastern North America. Ecotoxicology 14:193–222
Evers DC, Ha Y, Driscoll CT, Kamman NC, Goodale MW, Lambert KF, Holsten TM, Chen CY, Clair TA, Butler T (2007) Biological mercury hotspots in the Northeastern United States and Southeastern Canada. Bioscience 57:29–43
Evers DC, Savoy LJ, DeSorbo CR, Yates DE, Hanson W, Taylor KM, Siegel LS, Cooley JH Jr, Bank MS, Major A, Munney K, Mower BF, Vogel HS, Schoch N, Pokras M, Goodale MW, Fair J (2008) Adverse effects from environmental mercury loads on breeding common loons. Ecotoxicology 17:69–81
Faraway JJ (2006) Extending the linear model with R. Chapman Hall/CRC Press, Boca Raton
George BM, Batzer DP (2008) Spatial and temporal variations of mercury levels in Okefenokee invertebrates: Southeast Georgia. Environ Pollut 152(2):484–490
Gerrard PM, St. Louis VL (2001) The effects of experimental Reservoir creation on the bioaccumulation of methylmercury and reproductive success of tree swallows (Tachycineta bicolor). Environ Sci Technol 35:1329–1338
Gjerdrum C, Elphick CS, Rubega M (2005) Nest site selection and nesting success in saltmarsh breeding sparrows: the importance of nest habitat, timing, and study site differences. Condor 107:849–862
Golden NH, Rattner BA (2003) Ranking terrestrial vertebrate species for utility in biomonitoring and vulnerability to environmental contaminants. Rev Environ Contam Toxicol 176:67–136
Greenlaw JS, Rising JD (1994) Sharp-tailed Sparrow (Ammodramus caudacutus). In: Poole, A, Gill F (eds) The Birds of North America, No. 112. The Academy of Natural Sciences, Philadelphia
Greenlaw JS, Woolfenden GE (2007) Wintering distributions and migration of Saltmarsh and Nelson’s Sharp-tailed sparrows. Wilson J Ornithol 119:361–377
Grigal DF (2002) Inputs and outputs of mercury from terrestrial watersheds: a review. J Environ Rev 10:1–39
Hallinger KK, Cornell KL, Brasso RL, Cristol DA (2011) Mercury exposure and survival in free-living tree swallows (Tachycineta bicolor). Ecotoxicology 20:39–46
Heinz G, Hoffman D, Klimstra J, Stebbins K, Kondrad S, Erwin C (2009) Species differences in the sensitivity of avian embryos to methylmercury. Arch Environ Contam Toxicol 56(1):129–138
Hildebrand SG, Strand RH, Huckabee JW (1980) Mercury accumulation in fish and invertebrates of the North Fork Holston River, Virginia and Tennessee. J Environ Qual 9:393–400
Hurlbert SH, Lombardi CM (2009) Final collapse of the Neyman-Pearson decision theoretic framework and rise of the neo-Fisherian. Ann Zool Fennici 46:311–349
IUCN (2009) IUCN Red List of Threatened Species. Version 2009.1 www.iucnredlist.org. Downloaded on 17 September 2009
Lane OP, Major A, O’Brien K, Pau N, Evers DC (2008) Methylmercury availability in New England estuaries as indicated by Saltmarsh Sharp-tailed Sparrow, 2004–2007. USFWS Interim Report BRI 2008–11. BioDiversity Research Institute, Gorham, ME
McCarty JP (2001) Use of tree swallows in studies of environmental stress. Rev Toxicol 4:61–104
Mengelkoch JM, Niemi GJ, Regal RR (2004) Diet of the nestling tree swallow. Condor 106(2):423–429
Merriam TL (1979) Feeding ecology and food overlap of two sympatric marsh-inhabiting sparrows (Aves: Ammospiza). Master of Science thesis. Long Island University, New York
Nicholls RJ (2004) Coastal flooding and wetland loss in the 21st century: changes under the SRES climate and socio-economic scenarios. Global Environ Change 14:69–86
Post W, Greenlaw JS (2006) Nestling diets of coexisting salt marsh sparrows: opportunism in a food-rich environment. Estuaries Coasts 29(5):765–775
Quinney TE, Ankney CD (1985) Prey size selection by tree swallows. Auk 102:245–250
Rich TD, Beardmore CJ, Berlanga H, Blancher PJ, Bradstreet MS, Butcher GS, Demarest DW, Dunn EH, Hunter WC, Iñigo-Elias EE, Kennedy JA, Martell AM, Panjabi AO, Pashley DN, Rosenberg KV, Rustay CM, Wendt JS, Will TC (2004) Partners in Flight North American landbird conservation plan. Cornell Laboratory of Ornithology, Ithaca
Rimmer CC, McFarland KP, Evers DC, Miller EK, Aubrey Y, Busby D, Taylor RJ (2005) Mercury concentrations in Bicknell’s thrush and other insectivorous passerines in montane forests of northeastern North America. Ecotoxicology 14:223–240
Rimmer CC, Miller EK, McFarland KP, Taylor RJ, Faccio SD (2010) Mercury bioaccumulation and trophic transfer in the terrestrial food web of a montane forest. Ecotoxicology 19(4):697–701
Sarica J, Amyca M, Bey J, Hare L (2005) Fate of mercury accumulated by blowflies feeding on fish carcasses. Environ Toxicol Chem 24(3):526–529
Scheuhammer AM (1987) The chronic toxicity of aluminium, cadmium, mercury, and lead in birds: a review. Environ Pollut 46:263–295
Schwarzbach SE, Albertson JD, Thomas CM (2006) Effects of predation, flooding, and contamination on reproductive success of California Clapper Rails (Rallus longirostrisobsoletus) in San Francisco Bay. Auk 123(1):45–60
Shriver WG, Evers DC, Hodgman TP, MacCulloch BJ, Taylor RJ (2006) Mercury in sharp-tailed sparrows breeding in coastal wetlands. Environ Bioindicators 1:1–7
Shriver G, Vickery PD, Hodgman TP, Gibbs J (2007) Flood tides affect breeding ecology of two sympatric sharp-tailed sparrows. Auk 124(2):552–560
St. Louis VL, Breebaart L, Barlow JC (1993) Metal accumulation and metallothionein concentrations in tree swallow nestlings near acidified lakes. Environ Toxicol Chem 12:1203–1207
R Development Core Team (2009) R: a language and environment for statistical computing. R Foundation for Statistical Computing, Vienna, Austria. ISBN 3-900051-07-0, URL http://www.R-project.org
US Fish and Wildlife Service (2002) Birds of conservation concern. Division of Migratory Bird Management, Arlington
Warner SE, Shriver WG, Pepper MA, Taylor RJ (2010) Mercury concentrations in tidal marsh sparrows and their use as bioindicators in Delaware Bay, USA. Environ Monit Assess 171:671–679
Winder VL, Emslie SD (2011) Mercury in breeding and wintering Nelson’s Sparrow (Ammodramus nelsoni). Ecotoxicology 20(1):218–225
Wolfe MF, Schwarzbach S, Sulaiman RA (1998) Effects of mercury on wildlife: a comprehensive review. Environ Toxicol Chem 17(2):146–160
Acknowledgments
Funding for this project was provided by US Fish and Wildlife Service, Maine Department of Inland Fisheries and Wildlife and Maine Department of Environmental Protection. We are grateful to the staff of Rachel Carson and Parker River NWRs for their logistical support and help in the field. We thank Greg Shriver for his expert technical advice. Thanks to Steve Mierzykowski for help in the field and with the project. We thank the following individuals for their help and support: Sam Edmonds from Biodiversity Research Institute, Jen Walsh at the University of New Hampshire for field assistance; Sara Williams at Stewart B. McKinney NWR and Suzanne Paton at Ninigret NWR; the staff of Wertheim NWR, Mike Farina and the staff of the Marine Nature Study Area in Hempstead, Long Island and numerous interns from all the refuges for their enthusiastic assistance in the field, Carina Gjerdrum and Chris Elphick from University of CT for providing sparrow blood from Hammock River site in CT; and all the volunteers who came out to help catch birds, especially Frank Dehler for his many hours of assistance and valuable help.
Author information
Authors and Affiliations
Corresponding author
Additional information
The findings and conclusions in this article are those of the authors and do not necessarily represent the views of the U.S. Fish and Wildlife Service.
Appendix
Appendix
See Table 2.
Rights and permissions
About this article
Cite this article
Lane, O.P., O’Brien, K.M., Evers, D.C. et al. Mercury in breeding saltmarsh sparrows (Ammodramus caudacutus caudacutus). Ecotoxicology 20, 1984–1991 (2011). https://doi.org/10.1007/s10646-011-0740-z
Accepted:
Published:
Issue Date:
DOI: https://doi.org/10.1007/s10646-011-0740-z