Abstract
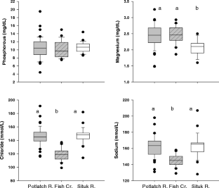
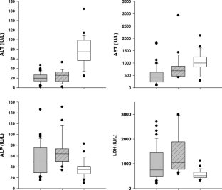
The physiological status of migrating steelhead kelts (Oncorhynchus mykiss) from the Situk River, Alaska, and two tributaries of the Clearwater River, Idaho, was evaluated to explore potential differences in post-spawning survival related to energy reserves. Blood plasma samples were analyzed for metrics related to nutritional and osmotic status, and samples of white muscle tissue collected from recent mortalities at weirs were analyzed for proximate constituents. Female kelts from the Situk River had significantly higher plasma cholesterol, triglycerides, glucose and calcium concentrations, all of which suggested higher lipid and energy stores. Additional support for energy limitation in kelts was provided by evaluating the presence of detectable proteins in the plasma. Most all kelts sampled from the Situk River populations had detectable plasma proteins, in contrast to kelts sampled from the Clearwater River tributary populations where 27 % of kelts from one tributary, and 68 % of the second tributary were below the limits of detection. We found proximate constituents of kelt mortalities were similar between the Situk and Clearwater River populations, and the lipid fraction of white muscle averaged 0.1 and 0.2 %. Our findings lend support to the hypothesis that energetic limitations likely affect post-spawn survival in the Clearwater River kelts.





Similar content being viewed by others
Explore related subjects
Discover the latest articles and news from researchers in related subjects, suggested using machine learning.References
Akinrotimi OA, Gabriel UU, Orokotan OO (2013) Changes in enzymes activities of Clarias gariepinus brood fish exposed to anesthetics metomidate. Applied Ecology and Environmental Sciences 1:37–40
Andreasen P (1985) Free and total calcium concentrations in the blood of rainbow trout (Salmo gairdneri) during stress conditions. J Exp Biol 118:111–120
Association of Official Analytical Chemists (2000) Official methods of analysis. AOAC, Gaithersburg, Maryland
Ballantyne JS, Mecure F, Gerrits MF, Van Der Kraak G, McKinley S, Martens DW, Hinch SG, Diewert RE (1996) Plasma nonesterified fatty acid profiles in male and female sockeye salmon, Oncorhynchus nerka, during the spawning migration. Can J Fish Aquat Sci 53:1418–1426
Barton BA, Schreck CB, Fowler LG (1988) Fasting and diet content affect stress-induced changes in plasma glucose and cortisol in juvenile Chinook salmon. The Progressive Fish Culturist 50(1):16–22
Belding DL (1934) The cause of the high mortality in the Atlantic salmon after spawning. Trans Am Fish Soc 64(1):219–224
Boel M, Aarestrup K, Baktoft H, Larsen T, Madsen SS, Malte H, Skov C, Svendsen JC, Koed A (2014) The physiological basis of the migration continuum in brown trout (Salmo trutta). Physiol Biochem Zool 87:334–345
Bowersox B, Banks R, Crawford E (2011) Potlatch river steelhead monitoring and evaluation project. Annual Report 2009. Idaho Department of Fish and Game, Report 11–103. Boise, Idaho
Brannon EL, Powell MS, Quinn TP, Talbot A (2004) Population structure of Columbia River basin Chinook salmon and steelhead trout. Rev Fish Sci 12:99–232
Buelow J, Moffitt CM (2014) Physiological indices of seawater readiness in postspawning steelhead kelts. Ecol Freshw Fish 24:112–122
Burgner RL, Light JT, Margolis L, Okazaki T, Tautz A, Ito S (1992) Distribution and origins of steelhead trout (Oncorhynchus mykiss) in offshore waters of the North Pacific oceans. International North Pacific Fisheries Commission Bulletin 51:1–92
Busby PJ, Wainwright TC, Bryant GJ, Lierheimer LJ, Waples RS, Waknitz FW, Lagomarsino IV (1996) Status review of west coast steelhead from Washington, Idaho, Oregon, and California. NOAA Technical Memorandum NMFS-NWFSC-27. Northwest Fisheries Science Center, Seattle. Available: http://www.nwr.noaa.gov. (September 2004)
Congleton JL, Wagner T (2006) Blood-chemistry indicators of nutritional status in juvenile salmonids. J Fish Biol 69:473–490
Copeland T, Roberts RV, Oldemeyer BN, Apperson KA (2013) Idaho Steelhead monitoring and evaluation studies. Annual progress report. January 1, 2012—December 31, 2012. IDFG Report Number 13–07. Boise, Idaho
Fleming IA (1998) Pattern and variability in the breeding system of Atlantic salmon (Salmo salar), with comparisons to other salmonids. Can J Fish Aquat Sci 55(Supplement 1):59–76
Fletcher GL, Watts EG, King MJ (1975) Copper, zinc, and total protein levels in the plasma of sockeye salmon (Oncorhynchus nerka) during their spawning migration. Journal of Fisheries Research Board of Canada 32:78–82
Gephard S, McMenemy J (2004) An overview of the program to restore Atlantic salmon and other diadromous fishes to the Connecticut Rover with notes on the current status of these species in the river. American Fisheries Society Monograph 9:287–317
Glebe BD, Leggett WC (1981) Latitudinal differences in energy allocation and use during freshwater migrations in American Shad (Alosa sapidissima) and their life history consequences. Canadian Journal of Fisheries and Aquatic Science 38:806–820
Hanson KC, Gale WL, Simpson WG, Kennedy BM, Ostrand KG (2011) Physiological characterization of hatchery origin juvenile steelhead (Oncorhynchus mykiss) adopting divergent life-history strategies. Journal of Fish and Wildlife Management 2(1):61–71
Hasler CT, Donaldson MR, Sunder RPB, Guimond E, Patterson DA, Mossop B, Hinch SG, Cooke SJ (2011) Osmoregulatory, metabolic, and nutritional condition of summer-run male Chinook salmon in relation to their fate and migratory behavior in a regulated river. Endanger Species Res 14:79–89
Hatch DR, Fast DE, Bosch WJ, Blodgett JW, Whiteaker JM, Branstetter R, Pierce AL (2013) Survival and traits of reconditioned kelt steelhead Oncorhynchus mykiss in the Yakima River, Washington. N Am J Fish Manag 33:615–625
Hayes SA, Hanson CV, Pearse DE, Bond MH, Garza JC, MacFarlane RB (2012) Should I stay or should I go? The influence of genetic origin on emigration behavior and physiology of resident and anadromous juvenile Oncorhynchus mykiss, North American Journal of Fisheries Management 32:772–780
Hendry AP, Berg OK (1999) Secondary sexual characters, energy use, senescence, and the cost of reproduction in Sockeye salmon. Can J Zool 77:1663–1675
Hendry AP, Dittman AH, Hardy RW (2000) Proximate composition, reproductive development, and a test for trade-offs in captive Sockeye salmon. Trans Am Fish Soc 129:1082–1095
Hutton KE (1967) Characteristics of the blood of adult pink salmon at three stages of maturity. Fish Bull 66(2):195–202
Jobling M, Johansen SJS, Foshaug H, Burkow IC, JØrgensen EH (1998) Lipid dynamics in anadromous Arctic Charr, Salvelinus alpinus (L.): seasonal variations in lipid storage depots and lipid class composition. Fish Physiol Biochem 18:225–240
Kadri S, Metcalfe NB, Huntingford FA, Thorpe JE (1995) What controls the onset of anorexia in maturing adult female Atlantic salmon? Funct Ecol 9:790–797
Keefer ML, Wertheimer RH, Evans AF, Boggs CT, Peery CA (2008) Iteroparity in Columbia River summer-run steelhead (Oncorhynchus mykiss): implications for conservation. Can J Fish Aquat Sci 65:2592–2605
Kennedy BM, Gale WL, Ostrand KG (2007) Relationship between smolt gill Na+, K + ATPase activity and migration timing to avian predation risk of steelhead trout (Oncorhynchus mykiss) in a large estuary. Can J Fish Aquat Sci 64:1506–1516
Kiessling A, Lindahl-Kiessling K, Kiessling KH (2004) Energy utilization and metabolism in spawning migrating Early Stuart Sockeye salmon (Oncorhynchus nerka): the migratory paradox. Canadian Journal of Aquatic Sciences 61:452–465
Lahnsteiner F, Mansur N (2012) The effect of temperature on sperm motility and enzymatic activity in brown trout Salmo trutta, burbot Lota, and grayling Thyllamus. J Fish Biol 81:197–209
Lemaire P, Drai P, Mathieu A, Lemaire S, Carriere S, Giudicelli J, Lafaurie M (1991) Changes with different diets in plasma enzymes (GOT, GPT, LDH, ALP) and plasma lipids (cholesterol, triglycerides) of sea-bass (Dicentrarchus labrax). Aquaculture 93:63–75
Leonard NJ, Fritsch MA, Ruff JD, Fazio JF, Harrison J, Grover T (2015) The challenge of managing the Columbia River Basin for energy and fish. Fish Manag Ecol 22:88–98
Lohr SC, Bryant MD (1999) Biological characteristics and population status of steelhead (Oncorhynchus mykiss) in Southeast Alaska. Technical Report PNW-GTR-407 U.S. Department of Agriculture, Forest Service, Pacific Northwest Research Station, p. 29
Marston BH, Johnson RE, Power S (2012) Steelhead studies from the Situk River in Southeast Alaska 2002–2008. Alaska Department of Fish and Game, Fishery data Series No. 12–40, Anchorage, Alaska
Mesa MG, Magie CD (2006) Evaluation of energy expenditure in adult spring Chinook salmon migrating upstream in the Columbia River basin: An assessment based on sequential proximate analysis. River Res Appl 22:1085–1095
Nagler JJ, Cavileer TD, Verducci JS, Schultz IR, Hook SE, Hayton WL (2012) Estrogen receptor mRNA expression patterns in the liver and ovary of female rainbow trout over a complete reproductive cycle. Gen Comp Endocrinol 178:556–561
Null RE, Niemela KS, Hamelberg SF (2013) Post-spawn migrations of hatchery-origin Oncorhynchus mykiss kelts in the Central Valley of California. Environ Biol Fish 96:341–353
Patton S, Crozier GF, Benson AA (1970) Serum lipids and the death of spawning Pacific salmon. Nature 225:754–755
Penney ZP, Moffitt CM (2014a) Proximate composition and energy density of stream-maturing adult steelhead during upstream migration, sexual maturity, and kelt emigration. Transaction of the American Fisheries Society 143:399–413
Penney ZP, Moffitt CM (2014b) Histological assessment of organs in sexually mature and post-spawning steelhead trout and insights into iteroparity. Rev Fish Biol Fish 24:781–801
Penney ZP, Moffitt CM (2014c) Fatty acid profiles of white muscle and liver tissue in stream-maturing steelhead during early migration and kelt emigration. J Fish Biol 86(1):105–120
Quinn TP, Myers KW (2004) Anadromy and the marine migrations of Pacific salmon and trout: Rounsefell revisited. Rev Fish Biol Fish 14:421–442
Raby GD, Cooke SJ, Cooke KV, McConnachie SH, Donaldson MR, Hinch SG, Whitney CK, Drenner SM, Patterson DA, Clark TD, Farrell AP (2013) Resilience of pink salmon and chum salmon to simulated fisheries capture stress incurred upon arrival at spawning grounds. Trans Am Fish Soc 142:524–539
Šegvić-Bubić T, Boban J, Grubišić L, Trumbić Z, Radman M, Perćić M, Čož-Rakovac R (2013) Effects of propolis enriched diet on growth performance and plasma biochemical parameters of juvenile European sea bass (Dicentrarchus labrax L.) under acute low-temperature stress. Aquac Nutr 19:877–885
Shahsavani D, Mohri M, Kanani HG (2010) Determination of normal values of some blood serum enzymes in Acipenser stellatus Pallas. Fish Physiol Biochem 36:39–43
Simpkins DG, Hubert WA, Rio CM, Rule DC (2003) Interacting effects of water temperature and swimming activity on body composition and mortality of fasted juvenile rainbow trout. Can J Zool 81:1641–1649
Tocher DR (2003) Metabolism and functions of lipids and fatty acids in teleost fish. Rev Fish Sci 11:107–184
Triplett E, Calaprice JR (1974) Changes in plasma constituents during spawning migration of Pacific salmons. Journal of Fisheries Research Board of Canada 31:11–14
Wagner T, Congleton JL (2004) Blood chemistry correlates of nutritional condition, tissue damage, and stress in migrating juvenile Chinook salmon (Oncorhynchus tshawytscha). Canadian Journal of Fisheries and Aquatic Science 61:1066–1074
Woodward CC, Strange RJ (1987) Physiological stress responses in wild and hatchery-reared rainbow trout. Trans Am Fish Soc 116:574–579
Acknowledgments
Funding for this study was provided by the Columbia River Inter-Tribal Fish Commission through the Columbia Basin Fish Accords partnership with the Bonneville Power Administration (under Project 2007-401-00; Doug Hatch, project manager). Additional support for synthesis was provided by the United States Geological Survey. We are grateful to Brett Bowersox and Tim Copeland and their Idaho Department of Fish and Game staff for assistance with sampling at Clearwater River weirs. We are grateful to the Alaska Department of Fish and Game, especially the Situk weir crew and Bob Chadwick for assistance and collaboration for sampling. At the University of Idaho Carol Hoffman, Boling Sun, Andy Pape, Kala Hamilton, and Will Schrader provided field and laboratory assistance, and Chris Williams provided advice regarding statistical analysis. We are also grateful to Todd Seamons and two anonymous reviewers for insight and critique of earlier drafts this manuscript. All procedures performed in studies involving animals were in accordance with the ethical standards of University of Idaho Animal Care and Use Committee protocol # 2009-10. Any use of trade, firm, or product names is for descriptive purposes only and does not imply endorsement by the U.S. Government.
Author information
Authors and Affiliations
Corresponding author
Rights and permissions
About this article
Cite this article
Penney, Z.L., Moffitt, C.M., Jones, B. et al. Physiological comparisons of steelhead kelts emigrating from the Situk River, AK and Clearwater River, ID. Environ Biol Fish 99, 487–498 (2016). https://doi.org/10.1007/s10641-016-0493-x
Received:
Accepted:
Published:
Issue Date:
DOI: https://doi.org/10.1007/s10641-016-0493-x


