Abstract
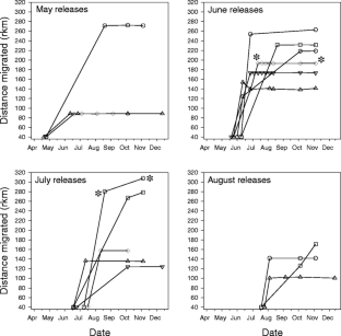
We describe the migration distances and timing of the adult Pacific lamprey, Entosphenus tridentatus, in the Willamette River Basin (Oregon, U.S.A.). We conducted aerial surveys to track radio-tagged fish upstream of a major waterfall and hydropower complex en route to spawning areas. We detected 24 out of the 43 fish that passed the waterfall-hydropower complex. Of the detected fish, 17 were detected multiple times. Their maximum migration distance upstream in the mainstem Willamette approximated a normal distribution. The maximum distance migrated upstream did not significantly correlate with total body length (r = −0.186, P = 0.385) or date that the fish passed Willamette Falls (r = −0.118, P = 0.582). Fish migrated primarily during the spring to early summer period before stopping during the summer, when peak river temperatures (≥20°C). However, at least three fish continued to migrate upstream after September. Behavior ranged from relatively slow migration, followed by holding; to rapid migration, followed by slow migration further up in the basin. This study provides a basis for informing more detailed research on Pacific lamprey in the future.







Similar content being viewed by others

References
Binder TR, McLaughlin RL, McDonald DG (2010) Relative importance of water temperature, water level, and lunar cycle to migratory activity in spawning-phase sea lampreys in Lake Ontario. Trans Am Fish Soc 139:700–712
Clemens BJ, Binder TR, Docker MF, Moser ML, Sower SA (2010) Similarities, differences, and unknowns in biology and management of three parasitic lampreys of North America. Fisheries 35:580–594
Close DA, Fitzpatrick M, Li H, Parker B, Hatch D, James G (1995) Status report of the Pacific lamprey (Lampetra tridentata) in the Columbia River Basin. Technical Report to Bonneville Power Administration DOE/BP-39067-1
Close DA, Fitzpatrick FS, Li HW (2002) The ecological and cultural importance of a species at risk of extinction, Pacific lamprey. Fisheries 27:19–25
Cochnauer T, Claire CW (2009) Draft management plan for Pacific lamprey. BPA Report Project 2000-028-00 Document ID P114705
CRITFC (Columbia River Intertribal Fish Commission) (2008) Tribal Pacific lamprey restoration plan for the Columbia River Basin. Formal Draft by Nez Perce, Umatilla, Yakama, and Warm Springs Tribes, May 18 2008. 68 pp
Hardisty MW, Potter IC (1971) The general biology of adult lampreys. In: Hardisty MW, Potter IC (eds) The biology of lampreys, vol 1. Academic, New York, pp 127–206
Jelks HL, Walsh SJ, Burkhead NM, Contreras-Balderas S, Díaz-Pardo E, Hendrickson DA, Lyons J, Mandrak NE, McCormick F, Nelson JS, Platania SP, Porter BA, Renaud CB, Schmitter-Soto JJ, Taylor EB, Warren ML Jr (2008) Conservation status of imperiled North American freshwater and diadromous fishes. Fisheries 33:372–407
Keefer ML, Moser ML, Boggs CT, Daigle WR, Peery CA (2009) Variability in migration timing of adult Pacific lamprey (Lampetra tridentata) in the Columbia River, U.S.A. Environ Biol Fish 85:253–264
Kostow K (2002) Oregon lampreys: natural history status and problem analysis. Oregon Department of Fish and Wildlife, Portland, Oregon. (Available: http://nrimp.dfw.state.or.us/crl/default.aspx?pn=InformationReports)
Mesa MG, Magie RJ, Copeland ES (2010) Passage and behavior of radio-tagged adult Pacific lamprey (Entosphenus tridentatus) at the Willamette Falls Project, Oregon. Northwest Sci 84:233–242
Moyle PB, Brown LR, Chase SD, Quiñones RM (2009) Status and conservation of lampreys in California. In: Brown L, Chase S, Mesa M, Beamish R, Moyle P (eds) Biology, management, and conservation of lampreys in North America. American Fisheries Society, Bethesda, pp 279–292
ODFW (Oregon Department of Fish and Wildlife) (2006) Oregon Native Fish Status Report. Salem, OR (Available: http://www.dfw.state.or.us/fish/ONFSR/)
Petersen Lewis RS (2009) Yurok and Karuk traditional ecological knowledge: insights into Pacific lamprey populations of the lower Klamath Basin. In: Brown L, Chase S, Mesa M, Beamish R, Moyle P (eds) Biology, management, and conservation of lampreys in North America. American Fisheries Society, Bethesda, pp 1–40
Renaud CB (1997) Conservation status of Northern Hemisphere lamprey (Petromyzontidae). J Appl Ichthyol 13:143–148
Robinson TC, Bayer JM (2005) Upstream migration of Pacific lampreys in the John Day River, Oregon: behavior, timing, and habitat use. Northwest Sci 79:106–119
Stanford JA, Hauer FR, Gregory SV, Snyder EB (2005) Columbia River Basin. In: Benke AC, Cushing CE (eds) Rivers of North America. Elsevier, Amsterdam, pp 591–654
USFWS (U.S. Fish and Wildlife Service) (2004) Endangered and threatened wildlife and plants; 90-day finding on a petition to list three species of lampreys as threatened or endangered. Fed Regist 69:77158–77167
Acknowledgments
This project was funded by the Bureau of Reclamation. We are grateful to personnel from the Columbia River Inter-Tribal Fish Commission for suggesting the idea for this project and providing assistance with tracking. D. Hatch, D. Ward, C. Robinson, and J. Brunzell provided helpful recommendations on tracking. H. Li assisted with administrative oversight. Oregon State University, U.S. Geological Survey, and U.S. Fish and Wildlife Service also provided assistance with tracking. Y. Di provided statistical consultation. S. Sower, D. Noakes and D. Markle provided helpful comments on an early draft of this paper. Thanks to R. Lampman for making Fig. 1. Two anonymous reviewers provided helpful comments. The Oregon Cooperative Fish and Wildlife Research Unit is funded jointly by the U.S. Geological Survey, Oregon Department of Fish and Wildlife and Oregon State University. Any use of trade names is for descriptive purposes only and does not imply endorsement by the U.S. Government.
Author information
Authors and Affiliations
Corresponding author
Rights and permissions
About this article
Cite this article
Clemens, B.J., Mesa, M.G., Magie, R.J. et al. Pre-spawning migration of adult Pacific lamprey, Entosphenus tridentatus, in the Willamette River, Oregon, U.S.A.. Environ Biol Fish 93, 245–254 (2012). https://doi.org/10.1007/s10641-011-9910-3
Received:
Accepted:
Published:
Issue Date:
DOI: https://doi.org/10.1007/s10641-011-9910-3

