Skip to main content

Impact of neutrophil-to-lymphocyte ratio in patients with EGFR-mutant NSCLC treated with tyrosine kinase inhibitors

Summary

Background Exon 19 deletion and L858R point mutation in exon 21 of the epidermal growth factor receptor (EGFR) are the most commonly encountered mutations in patients with non-small cell lung cancer (NSCLC) and predict better clinical outcomes following treatment with EGFR-tyrosine kinase inhibitors (TKIs). The inflammatory indicator neutrophil-to-lymphocyte ratio (NLR) in peripheral blood serves as a predictive factor for NSCLC patients treated with chemotherapy. Here, we aimed to evaluate the correlation between NLR and clinical efficacy of EGFR-TKIs in NSCLC patients harboring EGFR mutations. Methods We retrospectively collected information of 205 patients with advanced NSCLC harboring exon 19 deletion or L858R point mutation and receiving gefitinib or erlotinib. The clinical outcomes in the NSCLC patients were evaluated based on NLR level before EGFR-TKI therapy. Results The optimal cut-off value for NLR was 3.55. The response rates in the low-NLR and high-NLR groups were 69.2% and 51.5%, respectively. The median progression-free survival (PFS) in the low-NLR and high-NLR groups were 15.7 months and 6.7 months, respectively. The median overall survival (OS) in the low-NLR and high-NLR groups were 37.6 months and 19.2 months, respectively. The multivariate analysis identified performance status (PS), NLR, stage, and smoking status as independent predictors of PFS. Moreover, the PS and NLR were identified as independent predictors of OS. Conclusions NLR was a significant predictor of clinical efficacy and OS in NSCLC patients harboring EGFR mutations treated with gefitinib or erlotinib.

This is a preview of subscription content, access via your institution.

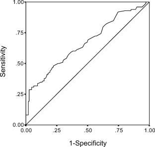
Fig. 1
Fig. 2
Fig. 3
Fig. 4
Fig. 5

References

  1. Fitzmaurice C, Allen C, Global Burden of Disease Cancer Collaboration et al (2017) Global, regional, and National Cancer Incidence, mortality, years of life lost, years lived with disability, and disability-adjusted life-years for 32 Cancer groups, 1990 to 2015: a systematic analysis for the global burden of disease study. JAMA Oncol 3:524–548

    Article  Google Scholar 

  2. Siegel R, DeSantis C, Virgo K, Stein K, Mariotto A, Smith T, Cooper D, Gansler T, Lerro C, Fedewa S, Lin C, Leach C, Cannady RS, Cho H, Scoppa S, Hachey M, Kirch R, Jemal A, Ward E (2012) Cancer treatment and survivorship statistics, 2012. CA Cancer J Clin 62:220–241

    Article  Google Scholar 

  3. Bria E, Milella M, Cuppone F, Novello S, Ceribelli A, Vaccaro V, Sperduti I, Gelibter A, Scagliotti GV, Cognetti F, Giannarelli D (2011) Outcome of advanced NSCLC patients harboring sensitizing EGFR mutations randomized to EGFR tyrosine kinase inhibitors or chemotherapy as first-line treatment: a meta analysis. Ann Oncol 22:2277–2285

    CAS  Article  Google Scholar 

  4. Petrelli F, Borgonovo K, Cabiddu M, Barni S (2012) Efficacy of EGFR tyrosine kinase inhibitors in patients with EGFR-mutated non–small-cell lung cancer: a meta-analysis of 13 randomized trials. Clin Lung Cancer 13:107–114

    CAS  Article  Google Scholar 

  5. Paez JG, Jänne PA, Lee JC, Tracy S, Greulich H, Gabriel S, Herman P, Kaye FJ, Lindeman N, Boggon TJ, Naoki K, Sasaki H, Fujii Y, Eck MJ, Sellers WR, Johnson BE, Meyerson M (2004) EGFR mutations in lung cancer: correlation with clinical response to gefitinib therapy. Science 304:1497–1500

    CAS  Article  Google Scholar 

  6. Miyawaki M, Naoki K, Yoda S, Nakayama S, Satomi R, Sato T, Ikemura S, Ohgino K, Ishioka K, Arai D, Namkoong H, Otsuka K, Miyazaki M, Tani T, Kuroda A, Nishino M, Yasuda H, Kawada I, Koh H, Nakamura M, Terashima T, Sakamaki F, Sayama K, Betsuyaku T, Soejima K (2017) Erlotinib as second- or third-line treatment in elderly patients with advanced non-small cell lung cancer: Keio Lung Oncology Group Study 001 (KLOG001). Mol Clin Oncol 6:409–414

    CAS  Article  Google Scholar 

  7. Ramalingam SS, Vansteenkiste J, Planchard D, Cho BC, Gray JE, Ohe Y, Zhou C, Reungwetwattana T, Cheng Y, Chewaskulyong B, Shah R, Cobo M, Lee KH, Cheema P, Tiseo M, John T, Lin MC, Imamura F, Kurata T, Todd A, Hodge R, Saggese M, Rukazenkov Y, Soria JC, FLAURA Investigators (2020) Overall survival with Osimertinib in untreated, EGFR-mutated advanced NSCLC. N Engl J Med 382:41–50

    CAS  Article  Google Scholar 

  8. Wang J, Wang B, Chu H, Yao Y (2016) Intrinsic resistance to EGFR tyrosine kinase inhibitors in advanced non-small-cell lung cancer with activating EGFR mutations. Onco Targets Ther 9:3711–3726

    CAS  Article  Google Scholar 

  9. Igawa S, Sasaki J, Otani S, Ishihara M, Takakura A, Katagiri M, Masuda N (2015) Impact of smoking history on the efficacy of gefitinib in patients with non-small cell lung Cancer harboring activating epidermal growth factor receptor mutations. Oncology 89:275–280

    CAS  Article  Google Scholar 

  10. Nishinarita N, Igawa S, Kasajima M, Kusuhara S, Harada S, Okuma Y, Sugita K, Ozawa T, Fukui T, Mitsufuji H, Yokoba M, Katagiri M, Kubota M, Sasaki J, Naoki K (2018) Smoking history as a predictor of epidermal growth factor receptor tyrosine kinase inhibitors in patients with non-small cell lung Cancer harboring EGFR mutations. Oncology 95:109–115

    CAS  Article  Google Scholar 

  11. Hirahara N, Matsubara T, Mizota Y, Ishibashi S, Tajima Y (2016) Prognostic value of preoperative inflammatory response biomarkers in patients with esophageal cancer who undergo a curative thoracoscopic esophagectomy. BMC Surg 16:66

    Article  Google Scholar 

  12. Kang KH, Efird JT, Sharma N, Yang M, Dowlati A, Linden P, Machtay M, Biswas T (2017) Prognostic potential of neutrophil-to-lymphocyte ratio and lymphocyte nadir in stage III non-small-cell lung cancer. Future Oncol 13:1405–1414

    CAS  Article  Google Scholar 

  13. Guo D, Han A, Jing W, Chen D, Jin F, Li M, Kong L, Yu J (2018) Preoperative to postoperative change in neutrophil-to-lymphocyte ratio predict survival in colorectal cancer patients. Future Oncol 14:1187–1196

    CAS  Article  Google Scholar 

  14. Fukui T, Okuma Y, Nakahara Y et al (2019) Activity of nivolumab and utility of neutrophil-to-lymphocyte ratio as a predictive biomarker for advanced non-small-cell lung cancer: a prospective observational study. Clin Lung Cancer 20(3):208–214.e2

    CAS  Article  Google Scholar 

  15. Zhang Y, Feng YC, Zhu HG, Xiong TC, Hou YS, Song J, Jiang W, Zhu CJ (2018) The peripheral blood neutrophil-to-lymphocyte ratio is a prognostic predictor for survival of EGFR-mutant nonsmall cell lung cancer patients treated with EGFR-TKIs. Medicine (Baltimore) 97:e11648. https://doi.org/10.1097/MD.0000000000011648

    CAS  Article  Google Scholar 

  16. Lin GN, Peng JW, Liu PP, Liu DY, Xiao JJ, Chen XQ (2017) Elevated neutrophil-to-lymphocyte ratio predicts poor outcome in patients with advanced non-small-cell lung cancer receiving first-line gefitinib or erlotinib treatment. Asia Pac J Clin Oncol 13:e189–e194

    Article  Google Scholar 

  17. Meriggi F, Codignola C, Beretta GD, Ceresoli GL, Caprioli A, Scartozzi M, Fraccon AP, Prochilo T, Ogliosi C, Zaniboni A (2017) Significance of neutrophil-to-lymphocyte ratio in Western advanced EGFR-mutated non-small cell lung cancer receiving a targeted therapy. Tumori 103:443–448

    CAS  Article  Google Scholar 

  18. Ding PN, Roberts TL, Chua W, Becker TM, Descallar J, Yip PY, Bray V (2017) Clinical outcomes in patients with advanced epidermal growth factor receptor-mutated non-small-cell lung cancer in South Western Sydney local Health District. Intern Med J 47:1405–1411

    CAS  Article  Google Scholar 

  19. Minami S, Ogata Y, Ihara S, Yamamoto S, Komuta K (2017) Neutrophil-to-lymphocyte ratio predicts overall survival of advanced non-small cell lung cancer harboring mutant epidermal growth factor receptor. World J Oncol 8:180–187

    CAS  Article  Google Scholar 

  20. Phan TT, Ho TT, Nguyen HT, Nguyen HT, Tran TB, Nguyen ST (2018) The prognostic impact of neutrophil to lymphocyte ratio in advanced non-small cell lung cancer patients treated with EGFR TKI. Int J Gen Med 11:423–430

    CAS  Article  Google Scholar 

  21. Aguiar-Bujanda D, Dueñas-Comino A, Saura-Grau S et al (2018) Neutrophil to lymphocyte ratio as a prognostic factor in European patients with epidermal growth factor receptor-mutant non-small cell lung cancer treated with tyrosine kinase inhibitors. Oncol Res Treat 41:755–760

    CAS  Article  Google Scholar 

  22. Deng C, Zhang N, Wang Y, Jiang S, Lu M, Huang Y, Ma J, Hu C, Hou T (2019) High systemic immune-inflammation index predicts poor prognosis in advanced lung adenocarcinoma patients treated with EGFR-TKIs. Medicine (Baltimore) 98:e16875. https://doi.org/10.1097/MD.0000000000016875

    CAS  Article  Google Scholar 

  23. Colotta F, Allavena P, Sica A, Garlanda C, Mantovani A (2009) Cancer-related inflammation, the seventh hallmark of cancer: links to genetic instability. Carcinogenesis 30:1073–1081

    CAS  Article  Google Scholar 

  24. Mantovani A, Allavena P, Sica A, Balkwill F (2008) Cancer-related inflammation. Nature 454:436–444

    CAS  Article  Google Scholar 

  25. Pinato DJ, Mauri FA, Ramakrishnan R, Wahab L, Lloyd T, Sharma R (2012) Inflammation-based prognostic indices in malignant pleural mesothelioma. J Thorac Oncol 7:587–594

    CAS  Article  Google Scholar 

  26. Balkwill F, Mantovani A (2001) Inflammation and cancer: back to Virchow? Lancet 357:539–545

    CAS  Article  Google Scholar 

  27. Klemm F, Joyce JA (2015) Microenvironmental regulation of therapeutic response in cancer. Trends Cell Biol 25:198–213

    Article  Google Scholar 

  28. Aerts JG, Hegmans JP (2013) Tumor-specific cytotoxic T cells are crucial for efficacy of immunomodulatory antibodies in patients with lung cancer. Cancer Res 73:2381–2388

    CAS  Article  Google Scholar 

  29. Sharma P, Allison JP (2015) The future of immune checkpoint therapy. Science 348:56–61

    CAS  Article  Google Scholar 

  30. Jia Y, Li X, Jiang T, Zhao S, Zhao C, Zhang L, Liu X, Shi J, Qiao M, Luo J, Liu S, Han R, Su C, Ren S, Zhou C (2019) EGFR-targeted therapy alters the tumor microenvironment in EGFR-driven lung tumors: implications for combination therapies. Int J Cancer 145:1432–1444

    CAS  Article  Google Scholar 

Download references

Acknowledgements

We would like to thank the patients and their families for the participation. We also thank the staff members of the Department of Respiratory Medicine, Kitasato University School of Medicine, for their suggestions and assistance.

Author information

Affiliations

Authors

Corresponding author

Correspondence to Satoshi Igawa.

Ethics declarations

Conflict of interest

The authors declare that they have no conflict of interest.

Ethical approval

All procedures performed in studies involving human participants were in accordance with the ethical standards of the institutional and/or national research committee and with the 1964 Helsinki declaration and its later amendments or comparable ethical standards.

Informed consent

Informed consent was obtained from all individual participants included in the study.

Additional information

Publisher’s note

Springer Nature remains neutral with regard to jurisdictional claims in published maps and institutional affiliations.

Rights and permissions

Reprints and Permissions

About this article

Verify currency and authenticity via CrossMark

Cite this article

Ono, T., Igawa, S., Kurahayashi, S. et al. Impact of neutrophil-to-lymphocyte ratio in patients with EGFR-mutant NSCLC treated with tyrosine kinase inhibitors. Invest New Drugs 38, 885–893 (2020). https://doi.org/10.1007/s10637-020-00919-0

Download citation

  • Received:

  • Accepted:

  • Published:

  • Issue Date:

  • DOI: https://doi.org/10.1007/s10637-020-00919-0

Keywords

  • Neutrophil-to-lymphocyte ratio
  • Non-small cell lung cancer
  • Gefitinib
  • Erlotinib
  • Predictive factor
  • Prognostic factor