Skip to main content

Factors affecting symptom presentation in an early-phase clinical trials clinic patient population

Summary

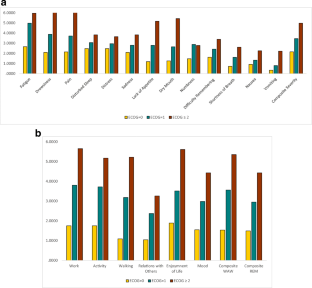
Increasing numbers of oncology therapies are being approved based on early-phase single-arm studies. Yet, little is known regarding the use of patient-reported outcomes in single-arm oncology trials testing novel therapies. We examined patient-reported symptom severity and symptom interference with activity- (WAW: work, general activity, walking) and mood-(REM: relations with others, enjoyment of life, mood) related functioning, and their association with factors known to influence symptom severity reporting, in early-phase clinical trials clinic patients. Patients completed the validated MD Anderson Symptom Inventory, containing 13 severity items and six interference items, each rated on a 0–10 scale (higher scores = worse symptom severity/interference). Performance status (ECOG-PS) and age were ascertained. Multiple linear regression was performed. In 248 phase I patients (51% female, 90% ECOG 0–1, and 74% ≤65 years), 67% of patients had ≥seven concurrent symptoms of any severity level, and 51% of patients described ≥three concurrent symptoms as moderate-to-severe (severity rating ≥ 5). Composite symptom severity, WAW and REM were worse in patients with ECOG-PS ≥ 2 vs. 0–1, and worse in patients with ECOG-PS = 1 than in patients with ECOG-PS = 0. Compared with patients over 65y, adolescent and young adult (AYA) patients (18y-39y) and patients aged 40y to 65y had worse composite symptom severity. As expected, being employed full-time/retired was associated with better symptom profiles in phaseI patients. The variation of symptom burden by performance status and age suggest that these factors need to be considered in the design of early-phase trials, particularly if patient-reported symptoms are used as primary/secondary/exploratory endpoints.

This is a preview of subscription content, access via your institution.

Fig. 1
Fig. 2

References

  1. Basch E, Dueck AC (2016) Patient-reported outcome measurement in drug discovery: a tool to improve accuracy and completeness of efficacy and safety data. Expert Opin Drug Discovery 11(8):753–758. https://doi.org/10.1080/17460441.2016.1193148

    CAS  Article  Google Scholar 

  2. Calvert M, Kyte D, Mercieca-Bebber R, Slade A, Chan AW, King MT, Hunn A, Bottomley A, Regnault A, Chan AW, Ells C, O'Connor D, Revicki D, Patrick D, Altman D, Basch E, Velikova G, Price G, Draper H, Blazeby J, Scott J, Coast J, Norquist J, Brown J, Haywood K, Johnson LL, Campbell L, Frank L, von Hildebrand M, Brundage M, Palmer M, Kluetz P, Stephens R, Golub RM, Mitchell S, Groves T (2018) Guidelines for inclusion of patient-reported outcomes in clinical trial protocols: the SPIRIT-PRO extension. Jama 319(5):483–494. https://doi.org/10.1001/jama.2017.21903

    Article  PubMed  Google Scholar 

  3. Cleeland CS, Zhao F, Chang VT, Sloan JA, O'Mara AM, Gilman PB, Weiss M, Mendoza TR, Lee JW, Fisch MJ (2013) The symptom burden of cancer: evidence for a core set of cancer-related and treatment-related symptoms from the eastern cooperative oncology group symptom outcomes and practice patterns study. Cancer 119(24):4333–4340. https://doi.org/10.1002/cncr.28376

    Article  PubMed  Google Scholar 

  4. Basch E, Deal AM, Kris MG, Scher HI, Hudis CA, Sabbatini P, Rogak L, Bennett AV, Dueck AC, Atkinson TM, Chou JF, Dulko D, Sit L, Barz A, Novotny P, Fruscione M, Sloan JA, Schrag D (2016) Symptom monitoring with patient-reported outcomes during routine cancer treatment: a randomized controlled trial. J Clin Oncol 34(6):557–565. https://doi.org/10.1200/jco.2015.63.0830

    CAS  Article  PubMed  Google Scholar 

  5. Hong DS, Hui D, Bruera E, Janku F, Naing A, Falchook GS, Piha-Paul S, Wheler JJ, Fu S, Tsimberidou AM, Stecher M, Mohanty P, Simard J, Kurzrock R (2014) MABp1, a first-in-class true human antibody targeting interleukin-1alpha in refractory cancers: an open-label, phase 1 dose-escalation and expansion study. Lancet Oncol 15(6):656–666. https://doi.org/10.1016/s1470-2045(14)70155-x

    CAS  Article  PubMed  Google Scholar 

  6. Capuccini J, Macchia G, Farina E, Buwenge M, Genovesi D, Caravatta L, Nguyen NP, Cammelli S, Cilla S, Wondemagegnhu T, Uddin A, Aziz Sumon M, Cellini F, Valentini V, Deodato F, Morganti AG (2018) Short-course regimen of palliative radiotherapy in complicated bone metastases: a phase i-ii study (SHARON project). Clin Exp Metastas 35(7):605–611. https://doi.org/10.1007/s10585-018-9931-9

    Article  Google Scholar 

  7. Cleeland CS, Mendoza TR, Wang XS, Chou C, Harle MT, Morrissey M, Engstrom MC (2000) Assessing symptom distress in cancer patients: the M.D. Anderson symptom inventory. Cancer 89(7):1634–1646

    CAS  Article  Google Scholar 

  8. Shi Q, Mendoza TR, Wang XS, Cleeland CS (2016) Using a symptom-specific instrument to measure patient-reported daily functioning in patients with cancer. Eur J Cancer 67:83–90. https://doi.org/10.1016/j.ejca.2016.07.027

    Article  PubMed  Google Scholar 

  9. Cleeland CS, Sloan JA, Cella D, Chen C, Dueck AC, Janjan NA, Liepa AM, Mallick R, O'Mara A, Pearson JD, Torigoe Y, Wang XS, Williams LA, Woodruff JF (2013) Recommendations for including multiple symptoms as endpoints in cancer clinical trials: a report from the ASCPRO (assessing the symptoms of cancer using patient-reported outcomes) multisymptom task force. Cancer 119(2):411–420. https://doi.org/10.1002/cncr.27744

    Article  PubMed  Google Scholar 

  10. Cleeland CS, Nakamura Y, Mendoza TR, Edwards KR, Douglas J, Serlin RC (1996) Dimensions of the impact of cancer pain in a four country sample: new information from multidimensional scaling. Pain 67(2–3):267–273

    CAS  Article  Google Scholar 

  11. Oken MM, Creech RH, Tormey DC, Horton J, Davis TE, McFadden ET, Carbone PP (1982) Toxicity and response criteria of the eastern cooperative oncology group. Am J Clin Oncol 5(6):649–655

    CAS  Article  Google Scholar 

  12. Department of Health and Human Services, National Cancer Institute, Alliance. LYA (2006) Closing the gap: research and care imperatives for adolescents and young adults with cancer. A report of the Adolescent and Young Adult Oncology Progress Review Group

  13. Census Bureau (2011) Age and sex composition: 2010. Available at: https://www.census.gov/prod/cen2010/briefs/c2010br-03.pdf. Accessed August 2019.

  14. Shi Q, Mendoza TR, Dueck AC, Ma H, Zhang J, Qian Y, Bhowmik D, Cleeland CS (2017) Determination of mild, moderate, and severe pain interference in patients with cancer. Pain 158(6):1108–1112. https://doi.org/10.1097/j.pain.0000000000000890

    Article  PubMed  Google Scholar 

  15. Cohen J (1988) Statistical power analysis for the behavioral sciences, 2nd edn. Lawrence Earlbaum Associates, Hillsdale

    Google Scholar 

  16. Cohen J (1992) A power primer. Psychol Bull 112(1):155–159

  17. Jensen RE, Potosky AL, Moinpour CM, Lobo T, Cella D, Hahn EA, Thissen D, Smith AW, Ahn J, Luta G, Reeve BB (2017) United States population-based estimates of patient-reported outcomes measurement information system symptom and functional status reference values for individuals with cancer. J Clin Oncol 35(17):1913–1920. https://doi.org/10.1200/jco.2016.71.4410

    Article  PubMed  PubMed Central  Google Scholar 

  18. Ferrari A, Barr RD (2017) International evolution in AYA oncology: current status and future expectations. Pediatr Blood Cancer 64(9). https://doi.org/10.1002/pbc.26528

Download references

Acknowledgments

We acknowledge Laura L. Russell from The University of Texas MD Anderson Cancer Center’s Scientific Publications team for her editorial assistance.

Funding

Preparation of this report was funded in part by the Hawn Foundation and RO1CA242565.

Author information

Affiliations

Authors

Corresponding author

Correspondence to Goldy C. George.

Ethics declarations

Conflict of interest

GCG declares that she has no conflict of interest. TRM declares that he has no conflict of interest. ECI declares that she has no conflict of interest. MM declares that she has no conflict of interest. SFA declares that she has no conflict of interest. CSC declares that he has no conflict of interest. SAP reports grants from NIH/NCI during the conduct of the study; other from AbbVie, Inc., Aminex Therapeutics, BioMarin Pharmaceutical, Inc., Boehringer Ingelheim, BristolMyers Squib, Cerulean Pharma Inc., Chugai Pharmaceutical Co., Ltd., Curis, Inc., Five Prime Therapeutics, Genmab A/S, GlaxoSmithKline, Helix BioPharma Corp., Incyte Corp., Jacobio Pharmaceuticals Co., Ltd., Medimmune, LLC., Medivation, Inc., Merck Sharp and Dohme Corp., NewLink Genetics Corporation/Blue Link Pharmaceuticals, Novartis Pharmaceuticals, Pieris Pharmaceuticals, Inc., Pfizer, Principia Biopharma, Inc., Puma Biotechnology, Inc., Rapt Therapeutics, Inc., Seattle Genetics, Taiho Oncology, Tesaro, Inc., TransThera Bio, XuanZhu Biopharma, Amphivena Therapeutics, Inc., outside the submitted work. AT reports research funding: IMMATICS, Parker Institute for Cancer Immunotherapy, Tempus, EMD Serono; Baxalta; Foundation Medicine; ONYX; Bayer; Boston Biomedical; Placon Therapeutics; Karus Therapeutics; Tvardi; OBI Pharma. Consulting or Advisory Role: Tempus, Roche, Covance, Genentech. Dr. Naing reports grants from NCI; EMD Serono; MedImmune; Healios Onc. Nutrition; Atterocor; Amplimmune; ARMO BioSciences; Eli Lilly; Karyopharm Therapeutics; Incyte; Novartis; Regeneron; Merck; BMS; Pfizer, CytomX Therapeutics; Neon Therapeutics; Calithera Biosciences; TopAlliance Biosciences; Kymab; PsiOxus; Immune Deficiency Foundation (Spouse), other from CytomX Therapeutics; Novartis, other from ARMO BioSciences, outside the submitted work. DSH reports grants from Bayer, Lilly, Genentech, LOXO, Pfizer, Amgen, Mirati, Ignyta, Merck, Daichii-Sanko, Eisai, Adaptimmune, Abbvie, Astra-Zeneca, BMS, Genmab, Infinity, Kite, Kyowa, Medimmune, Molecular Template, Novartis, Takeda; personal fees from Mirna, LOXO, Bayer, Baxter, Guidepoint global, Oncoresponse, Janssen, Molecular Match, outside the submitted work.

Ethical approval

All procedures performed in studies involving human participants were in accordance with the ethical standards of the institutional and/or national research committee and with the 1964 Helsinki declaration and its later amendments or comparable ethical standards.

Informed consent

Informed consent was obtained from all individual participants included in the study.

Additional information

Publisher’s note

Springer Nature remains neutral with regard to jurisdictional claims in published maps and institutional affiliations

Rights and permissions

Reprints and Permissions

About this article

Verify currency and authenticity via CrossMark

Cite this article

George, G.C., Mendoza, T.R., Iwuanyanwu, E.C. et al. Factors affecting symptom presentation in an early-phase clinical trials clinic patient population. Invest New Drugs 38, 1166–1174 (2020). https://doi.org/10.1007/s10637-019-00879-0

Download citation

  • Received:

  • Accepted:

  • Published:

  • Issue Date:

  • DOI: https://doi.org/10.1007/s10637-019-00879-0

Keywords

  • Patient reported outcome
  • Clinical trial
  • Symptom
  • ECOG performance status
  • Adolescent and young adult (AYA)