Skip to main content

Retinal toxicity related to hydroxychloroquine in patients with systemic lupus erythematosus and rheumatoid arthritis

A Letter to the Editor to this article was published on 30 January 2018

Abstract

Purpose

To compare the retinal toxicity due to hydroxychloroquine (HCQ) use in patients with systemic lupus erythematosus (SLE) and rheumatoid arthritis (RA) using multifocal electroretinography (mfERG), fundus autofluorescence (FAF) and optical coherence tomography (OCT).

Methods

Patients who were using HCQ due to SLE and RA, and healthy subjects evaluated in this study. Central foveal thickness (CFT), inner–outer segment (IS–OS) junction irregularity, retinal nerve fiber layer thickness, mfERG and FAF measurements were performed to evaluate retinal toxicity.

Results

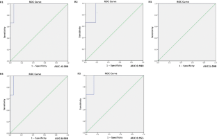
Study included 35 eyes of 35 SLE patients, 40 eyes of 40 RA patients and 20 eyes of 20 healthy subjects. In SLE group, retinal abnormality was found in three eyes with mfERG, in one eye with FAF and in four eyes with OCT. In RA group, retinal abnormality was found in 10 eyes with mfERG, in five eyes with FAF and in nine eyes with OCT. A statistically significant difference was found with respect to mfERG between “eyes with abnormal responses and without abnormal responses” and “eyes with abnormal responses and controls” (p < 0.05). A statistically significant difference was found with respect to CFT between “eyes with IS–OS junction irregularities and without IS–OS junction irregularities” and “eyes with/without IS–OS junction irregularities and controls” (p < 0.05).

Conclusions

The use of HCQ seems to cause retinal toxicity more often in RA patients compared to SLE patients. For the early detection of retinal changes, OCT and mfERG can be used as screening tools due to their higher sensitivity rates compared to other tests.

This is a preview of subscription content, access via your institution.

Fig. 1
Fig. 2
Fig. 3
Fig. 4
Fig. 5

References

  1. Payne JF, Hubbard GB, Aaberg TM, Yan J (2011) Clinical characteristics of hydroxychloroquine retinopathy. Br J Ophthalmol 95:245–250

    Article  PubMed  Google Scholar 

  2. Geamanu A, Popa-Cherecheanu A, Marinescu B, Geamanu C, Voinea L (2014) Retinal toxicity associated with chronic exposure to hydroxychloroquine and its ocular screening. Review. J Med Life 7:322–326

    PubMed  PubMed Central  Google Scholar 

  3. Grassmann F, Bergholz R, Mändl J, Jägle H, Ruether K, Weber BH (2015) Common synonymous variants in ABCA4 are protective for chloroquine induced maculopathy (toxic maculopathy). BMC Ophthalmol 15:18

    Article  PubMed  PubMed Central  Google Scholar 

  4. Farrell DF (2012) Retinal toxicity to antimalarial drugs: chloroquine and hydroxychloroquine: a neurophysiologic study. Clin Ophthalmol 6:377–383

    CAS  Article  PubMed  PubMed Central  Google Scholar 

  5. Schroeder RL, Gerber JP (2014) Chloroquine and hydroxychloroquine binding to melanin: some possible consequences for pathologies. Toxicol Rep 1:963–968

    CAS  Article  PubMed  PubMed Central  Google Scholar 

  6. Lai TY, Chan W-M, Li H, Lai RY, Lam DS (2005) Multifocal electroretinographic changes in patients receiving hydroxychloroquine therapy. Am J Ophthalmol 140:794–807

    Article  PubMed  Google Scholar 

  7. Kellner S, Weinitz S, Kellner U (2009) Spectral domain optical coherence tomography detects early stages of chloroquine retinopathy similar to multifocal electroretinography, fundus autofluorescence and near-infrared autofluorescence. Br J Ophthalmol 93:1444–1447

    CAS  Article  PubMed  Google Scholar 

  8. Kellner U, Renner AB, Tillack H (2006) Fundus autofluorescence and mfERG for early detection of retinal alterations in patients using chloroquine/hydroxychloroquine. Investig Ophthalmol Vis Sci 47:3531–3538

    Article  Google Scholar 

  9. Pasadhika S, Fishman G (2010) Effects of chronic exposure to hydroxychloroquine or chloroquine on inner retinal structures. Eye 24:340–346

    CAS  Article  PubMed  Google Scholar 

  10. Rodriguez-Padilla JA, Hedges TR, Monson B et al (2007) High-speed ultra-high-resolution optical coherence tomography findings in hydroxychloroquine retinopathy. Arch Ophthalmol 125:775–780

    Article  PubMed  PubMed Central  Google Scholar 

  11. Lai TY, Ngai JW, Chan WM, Lam DS (2006) Visual field and multifocal electroretinography and their correlations in patients on hydroxychloroquine therapy. Doc Ophthalmol 112:177–187

    Article  PubMed  Google Scholar 

  12. Maturi RK, Yu M, Weleber RG (2004) Multifocal electroretinographic evaluation of long-term hydroxychloroquine users. Arch Ophthalmol 122:973–981

    CAS  Article  PubMed  Google Scholar 

  13. Lyons JS, Severns ML (2007) Detection of early hydroxychloroquine retinal toxicity enhanced by ring ratio analysis of multifocal electroretinography. Am J Ophthalmol 143:801–809

    CAS  Article  PubMed  Google Scholar 

  14. Lyons JS, Severns ML (2009) Using multifocal ERG ring ratios to detect and follow Plaquenil retinal toxicity: a review. Doc Ophthalmol 118:29–36

    Article  PubMed  Google Scholar 

  15. Mavrikakis I, Sfikakis PP, Mavrikakis E et al (2003) The incidence of irreversible retinal toxicity in patients treated with hydroxychloroquine: a reappraisal. Ophthalmology 110:1321–1326

    Article  PubMed  Google Scholar 

  16. Wolke F, Marmor MF (2010) Rates and predictors of hydroxychloroquine retinal toxicity in patients with rheumatoid arthritis and systemic lupus erythematosus. Arthr Care Res 62:775–784

    Article  Google Scholar 

  17. Chang WH, Katz BJ, Warner JE, Vitale AT, Creel D, Digre KB (2008) A novel method for screening the multifocal electroretonogram in patients using hydroxychloroquine. Retina 28:1478–1486

    Article  PubMed  Google Scholar 

  18. Nebbioso M, Livani ML, Steigerwalt RD, Panetta V, Rispoli E (2011) Retina in rheumatic diseases: standard full field and multifocal electroretinography in hydroxychloroquine retinal dysfunction. Clin Exp Optom 94:276–283

    Article  PubMed  Google Scholar 

  19. Hart WM Jr, Burde RM, Johnston GP, Drews RC (1984) Static perimetry in chloroquine retinopathy. Perifoveal patterns of visual field depression. Arch Ophthalmol 102:377–380

    Article  PubMed  Google Scholar 

  20. Marmor MF, Chien FY, Johnson MW (2013) Value of red targets and pattern deviation plots in visual field screening for hydroxychloroquine retinopathy. JAMA Ophthalmol 131:476–480

    Article  PubMed  Google Scholar 

  21. Marmor MF, Kellner U, Lai TY, Lyons JS, Mieler WF (2011) Revised recommendations on screening for chloroquine and hydroxychloroquine retinopathy. Ophthalmology 118:415–422

    Article  PubMed  Google Scholar 

  22. Stepien KE, Han DP, Schell J, Godara P, Rha J, Carroll J (2009) Spectral-domain optical coherence tomography and adaptive optics may detect hydroxychloroquine retinal toxicity before symptomatic vision loss. Trans Am Ophthalmol Soc 107:28–33

    PubMed  PubMed Central  Google Scholar 

  23. Chen E, Brown DM, Benz MS et al (2010) Spectral domain optical coherence tomography as an effective screening test for hydroxychloroquine retinopathy (the “flying saucer” sign). Clin Ophthalmol 4:1151–1158

    Article  PubMed  PubMed Central  Google Scholar 

  24. So SC, Hedges TR, Schuman JS, Quireza ML (2003) Evaluation of hydroxychloroquine retinopathy with multifocal electroretinography. Ophthalmic Surg Lasers Imaging 34:251–258

    PubMed  PubMed Central  Google Scholar 

  25. Grassmann Felix, Bergholz Richard, Mändl Julia, Jägle Herbert, Ruether Klaus, Bernhard HF, Weber B (2015) Common synonymous variants in ABCA4 are protective for chloroquine induced maculopathy (toxic maculopathy). BMC Ophthalmol 15:1

    CAS  Article  Google Scholar 

Download references

Author information

Affiliations

Authors

Corresponding author

Correspondence to Nilufer Yesilirmak.

Ethics declarations

Conflict of interest

All authors certify that they have no affiliations with or involvement in any organization or entity with any financial interest (such as honoraria; educational grants; participation in speakers’ bureaus; membership, employment, consultancies, stock ownership or other equity interest; and expert testimony or patent-licensing arrangements) or nonfinancial interest (such as personal or professional relationships, affiliations, knowledge or beliefs) in the subject matter or materials discussed in this manuscript.

Statement of human rights

All procedures performed in studies involving human participants were in accordance with the ethical standards of the institutional and/or national research committee and with the 1964 Helsinki Declaration and its later amendments or comparable ethical standards.

Statement on the welfare of animals

This article does not contain any studies with animals performed by any of the authors.

Informed consent

Informed consent was obtained from all individual participants included in the study.

Rights and permissions

Reprints and Permissions

About this article

Verify currency and authenticity via CrossMark

Cite this article

Telek, H.H., Yesilirmak, N., Sungur, G. et al. Retinal toxicity related to hydroxychloroquine in patients with systemic lupus erythematosus and rheumatoid arthritis. Doc Ophthalmol 135, 187–194 (2017). https://doi.org/10.1007/s10633-017-9607-9

Download citation

  • Received:

  • Accepted:

  • Published:

  • Issue Date:

  • DOI: https://doi.org/10.1007/s10633-017-9607-9

Keywords

  • Systemic lupus erythematosus
  • Rheumatoid arthritis
  • Hydroxychloroquine toxicity
  • Optical coherence tomography
  • Multifocal electroretinography
  • Fundus autofluorescence