Skip to main content

Correlations of C-reactive Protein Levels and Erythrocyte Sedimentation Rates with Endoscopic Activity Indices in Patients with Ulcerative Colitis

Abstract

Background

Accurate assessment of endoscopic severity is essential to the early detection of relapses and treatment of patients with ulcerative colitis (UC). However, the relationships between non-invasive biomarkers and invasive endoscopic severity indices remain poorly understood.

Methods

A total of 722 endoscopies in 552 patients were evaluated in this study. Endoscopic activity was assessed using five widely used endoscopic scoring systems: the Powell-Tuck assessment, Mayo Endoscopic Score, modified Baron Score, Rachmilewitz Endoscopic Activity Index, and Hanauer’s Sigmoidoscopic Index. These five indices were compared with two non-invasive biomarkers, erythrocyte sedimentation rate (ESR) and C-reactive protein (CRP) levels.

Results

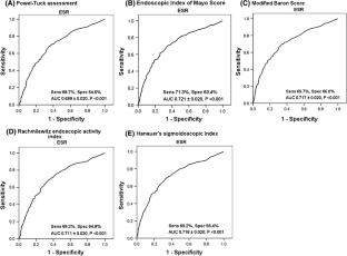
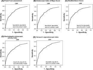
The Pearson’s correlation coefficients of CRP and ESR with endoscopic indices were r = 0.457 and 0.342 in the Powell-Tuck assessment, r = 0.503 and r = 0.402 in the Mayo Endoscopic Score, r = 0.507 and 0.408 in Hanauer’s Sigmoidoscopic Index, r = 0.520 and 0.433 in the modified Baron Score, and r = 0.523 and 0.435 in the Rachmilewitz Endoscopic Activity Index. Sensitivity and specificity ranges for CRP and ESR were 50.5–53.3 % and 68.7–71.3 % and 85.1–87.2 % and 63.4–66.4 %, respectively, for the detection of endoscopic remission using the five endoscopic indices.

Conclusions

CRP and ESR levels were modestly correlated with endoscopic activity indices in UC patients. However, the low sensitivities for detecting endoscopic remission suggest that CRP or ESR alone is not sufficient to reflect endoscopic severity accurately.

This is a preview of subscription content, access via your institution.

Fig. 1
Fig. 2

References

  1. Stange EF, Travis SPL, Vermeire S, et al. European evidence-based consensus on the diagnosis and management of ulcerative colitis: definitions and diagnosis. J Crohns Colitis. 2008;2:1–23.

    CAS  PubMed  Article  Google Scholar 

  2. Schoepfer AM, Beglinger C, Straumann A, et al. Ulcerative colitis: correlation of the Rachmilewitz endoscopic activity index with fecal calprotectin, clinical activity, C-reactive protein, and blood leukocytes. Inflamm Bowel Dis. 2009;15:1851–1858.

    PubMed  Article  Google Scholar 

  3. Park JJ, Cheon JH, Kim BY, et al. Correlation of serum-soluble triggering receptor expressed on myeloid cells-1 with clinical disease activity in inflammatory bowel disease. Dig Dis Sci. 2009;54:1525–1531.

    CAS  PubMed  Article  Google Scholar 

  4. Langhorst J, Elsenbruch S, Koelzer J, et al. Noninvasive markers in the assessment of intestinal inflammation in inflammatory bowel disease: performance of fecal lactoferrin, calprotectin, and PMN-elastase, CRP, and clinical indices. Am J Gastroenterol. 2008;103:162–169.

    PubMed  Article  Google Scholar 

  5. Sandborn W, Feagan B, Radford-Smith G, et al. CDP571, a humanized monoclonal antibody to tumour necrosis factor alpha, for moderate to severe Crohn’s disease: a randomized double blind, placebo controlled trial. Gut. 2004;53:1485–1493.

    CAS  PubMed Central  PubMed  Article  Google Scholar 

  6. Vermeire S, Van Assche G, Rutgeerts P. Laboratory markers in IBD: useful, magic or unnecessary toys? Gut. 2006;55:426–431.

    CAS  PubMed Central  PubMed  Article  Google Scholar 

  7. Henriksen M, Jahnsen J, Lygren I, et al. C-reactive protein: a predictive factor and marker of inflammation in inflammatory bowel disease. Results from a prospective population-based study. Gut. 2008;57:1518–1523.

    CAS  PubMed  Article  Google Scholar 

  8. Naber AHJ, De Jong DJ. Assessment of disease activity in inflammatory bowel disease: relevance for clinical trials. Neth J Med. 2003;61:105–110.

    CAS  PubMed  Google Scholar 

  9. Kiss LS, Szamosi T, Molnar T, et al. Early clinical remission and normalization of CRP are the strongest predictors of efficacy, mucosal healing and dose escalation during the first year of adalimumab therapy in Crohn’s disease. Aliment Pharmacol Ther. 2001;34:911–922.

    Article  Google Scholar 

  10. Froslie KF, Jahnsen J, Moum BA, et al. Mucosal healing in inflammatory bowel disease: results from a Norwegian population-based cohort. Gastroenterology. 2007;133:412–422.

    PubMed  Article  Google Scholar 

  11. Cheon JH, Kim WH. Recent advances of endoscopy in inflammatory bowel diseases. Gut Liver. 2007;1:118–125.

    PubMed Central  PubMed  Article  Google Scholar 

  12. Nikolaus S, Schreiber S. Review article: diagnostics of inflammatory bowel disease. Gastroenterology. 2007;133:1670–1689.

    PubMed  Article  Google Scholar 

  13. Shelat SG, Chacosky D, Shibutani S. Differences in erythrocyte sedimentation rates using the Westergren method and a centrifugation method. Am J Clin Pathol. 2008;130:127–130.

    PubMed  Article  Google Scholar 

  14. Rifai N, Tracy RP, Ridker PM. Clinical efficacy of an automated high-sensitivity C-reactive protein assay. Clin Chem. 1999;45:2136–2141.

    CAS  PubMed  Google Scholar 

  15. D`Haens G, Sandborn WJ, Feagan BG, et al. A review of activity indices and efficacy end points for clinical trials of medical therapy in adults with ulcerative colitis. Gastroenterology. 2007;132:763–786.

    CAS  Article  Google Scholar 

  16. Powell-Tuck J, Bown RL, Lennard-Jones JE. A comparison of oral prednisolone given as single or multiple daily doses for active proctocolitis. Scand J Gastroenterol. 1978;13:833–837.

    CAS  PubMed  Article  Google Scholar 

  17. Schroeder KW, Tremaine WJ, Ilstrup DM. Coated oral 5-aminosalicylic acid therapy for mildly to moderately active ulcerative colitis. A randomized study. N Engl J Med. 1987;317:1625–1629.

    CAS  PubMed  Article  Google Scholar 

  18. Rutgeerts P, Sandborn WJ, Feagan BG, et al. Infliximab induction and maintenance therapy for ulcerative colitis. N Engl J Med. 2005;353:2462–2476.

    CAS  PubMed  Article  Google Scholar 

  19. Baron JH, Connell AM, Lennard-Jones JE. Variation between observers in describing mucosal appearances in proctocolitis. BMJ. 1964;1:89–92.

    CAS  PubMed Central  PubMed  Article  Google Scholar 

  20. Feagan BG, Greenberg GR, Wild G, et al. Treatment of ulcerative colitis with a humanized antibody to the α4β7 integrin. N Engl J Med. 2005;352:2499–2507.

    CAS  PubMed  Article  Google Scholar 

  21. Rachmilewitz D. Coated mesalazine (5-aminosalicylic acid) versus sulphasalazine in the treatment of active ulcerative colitis: a randomised trial. BMJ. 1989;298:82–86.

    CAS  PubMed Central  PubMed  Article  Google Scholar 

  22. Hanauer S, Schwartz J, Robinson M, et al. Mesalamine capsules for treatment of active ulcerative colitis: results of a controlled trial. Pentasa Study Group. Am J Gastroenterol. 1993;88:1188–1197.

    CAS  PubMed  Google Scholar 

  23. Truelove SC, Witts LJ. Cortisone in ulcerative colitis. Final report on a therapeutic trial. BMJ. 1955;2:1041–1048.

    CAS  PubMed Central  PubMed  Article  Google Scholar 

  24. Tall AR. C-reactive protein reassessed. N Engl J Med. 2004;350:1450–1452.

    CAS  PubMed  Article  Google Scholar 

  25. Gabay C, Kushner I. Acute-phase proteins and other systemic responses to inflammation. N Engl J Med. 1999;340:448–454.

    CAS  PubMed  Article  Google Scholar 

  26. Solem CA, Loftus EV, Tremaine WJ, et al. Correlation of C-reactive protein with clinical, radiographic, and endoscopic activity in inflammatory bowel disease. Inflamm Bowel Dis. 2005;11:707–712.

    PubMed  Article  Google Scholar 

  27. Gross V, Andus T, Caesar I, et al. Evidence for continues stimulation of interleukin-6 production in Crohn’s disease. Gastroenterology. 1992;109:514–519.

    Google Scholar 

  28. Osada T, Ohkusa T, Okayasu I, et al. Correlations among total colonoscopic findings, clinical symptoms, and laboratory markers in ulcerative colitis. J Gastroenterol Hepatol. 2008;23:S262–S267.

    PubMed  Article  Google Scholar 

  29. Lok KH, Ng CH, Hung HG, et al. Correlation of serum biomarkers with clinical severity and mucosal inflammation in Chinese ulcerative colitis patients. J Dig Dis. 2008;9:219–224.

    PubMed  Article  Google Scholar 

  30. Sachar DB, Smith H, Chan S, et al. Erythrocytic sedimentation rate as a measure of clinical activity in inflammatory bowel disease. J Clin Gastroenterol. 1986;8:647–650.

    CAS  PubMed  Article  Google Scholar 

  31. Gomes P, du Boulay CD, Smith CL, et al. Relationship between disease indices and colonoscopic findings in patients with colonic inflammatory bowel disease. Gut. 1986;27:92–95.

    CAS  PubMed Central  PubMed  Article  Google Scholar 

  32. Ha JS, Lee JS, Kim HJ, et al. Comparative usefulness of erythrocyte sedimentation rate and C-reactive protein in assessing the severity of ulcerative colitis. Korean J Gastroenterol. 2006;48:313–320.

    PubMed  Google Scholar 

  33. Travis SP, Schnell D, Krzeski P, et al. Developing an instrument to assess the endoscopic severity of ulcerative colitis: the Ulcerative Colitis Endoscopic Index of Severity (UCEIS). Gut. 2012;61:535–542.

    PubMed Central  PubMed  Article  Google Scholar 

Download references

Conflict of interest

None.

Author information

Affiliations

Authors

Corresponding author

Correspondence to Jae Hee Cheon.

Electronic supplementary material

Below is the link to the electronic supplementary material.

Supplementary material 1 (DOC 82 kb)

Rights and permissions

Reprints and Permissions

About this article

Cite this article

Yoon, J.Y., Park, S.J., Hong, S.P. et al. Correlations of C-reactive Protein Levels and Erythrocyte Sedimentation Rates with Endoscopic Activity Indices in Patients with Ulcerative Colitis. Dig Dis Sci 59, 829–837 (2014). https://doi.org/10.1007/s10620-013-2907-3

Download citation

  • Received:

  • Accepted:

  • Published:

  • Issue Date:

  • DOI: https://doi.org/10.1007/s10620-013-2907-3

Keywords

  • Ulcerative colitis
  • Erythrocyte sedimentation rate
  • C-reactive protein
  • Disease activity index
  • Endoscopic activity index