Skip to main content

Mechanisms of Excessive Esophageal Acid Exposure in Patients with Reflux Esophagitis

Abstract

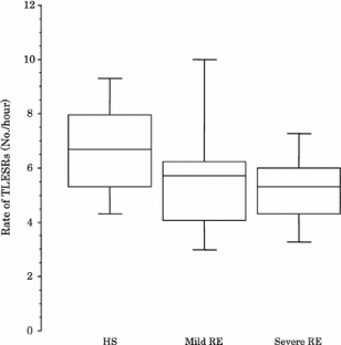
The pathophysiology of excessive esophageal acid exposure, including the way refluxed acid extends towards the proximal esophagus, in patients with reflux esophagitis (RE), is not yet clear. For 3 h after a meal, concurrent esophageal manometry and pH monitoring was carried out on 14 patients with severe RE, 15 patients with mild RE, and 15 healthy subjects. At 2 cm above the proximal margin of the lower esophageal sphincter (LES) there was no difference between the three groups in the total number of acid-reflux episodes, the rate of transient LES relaxations (TLESRs), or the rate of acid reflux during TLESRs. The rate of acid reflux at 7 cm above the proximal margin of the LES, during TLESRs, in patients with severe RE (50.9%, median) was, however, significantly higher than in patients with mild RE (35.7%) and healthy subjects (15.4%). In addition, the rate of acid reflux during TLESRs in patients with mild RE was significantly higher than in healthy subjects. Both the amplitude and the success rate of primary peristalsis in patients with severe RE were significantly lower than those of healthy subjects and patients with mild RE but there was no difference between healthy subjects and patients with mild RE. The cause of excessive acid exposure in patients with RE is the difference in the way refluxed acid extends towards the proximal esophagus and acid bolus clearance, not the number of acid-reflux episodes.

This is a preview of subscription content, access via your institution.

Fig. 1
Fig. 2
Fig. 3
Fig. 4

References

  1. Dodds WJ, Dent J, Hogan WJ, et al. Mechanisms of gastroesophageal reflux in patients with reflux esophagitis. N Engl J Med. 1982;307:1547–1552.

    PubMed  CAS  Google Scholar 

  2. Mittal RK, McCallum RW. Characteristics and frequency of transient relaxations of the lower esophageal sphincter in patients with reflux esophagitis. Gastroenterology. 1988;95:593–599.

    PubMed  CAS  Google Scholar 

  3. Holloway RH, Kocyan FP, Dent J. Provocation of transient lower esophageal sphincter relaxations by meals in patients with symptomatic gastroesohageal reflux. Dig Dis Sci. 1991;36:1034–1039. doi:10.1007/BF01297443.

    PubMed  Article  CAS  Google Scholar 

  4. Iwakiri K, Hayashi Y, Kotoyori M, et al. Transient lower esophageal sphincter relaxations (TLESRs) are the major mechanism of gastroesophageal reflux but are the cause of reflux disease. Dig Dis Sci. 2005;50:1072–1077. doi:10.1007/s10620-005-2707-5.

    PubMed  Article  Google Scholar 

  5. Dent J, Holloway RH, Toouli J, Dodds WJ. Mechanisms of lower esophageal sphincter incompetence in patients with symptomatic gastrooesophageal reflux. Gut. 1988;29:1020–1028. doi:10.1136/gut.29.8.1020.

    PubMed  Article  CAS  Google Scholar 

  6. Sifrim D, Tack J, Zhang X, Huysmans W, Janssens J. Continuous monitoring of esophageal shortening in man during swallowing, transient LES relaxations and intraesophageal acid perfusion. Gastroenterology. 2002;122:A–188.

    Google Scholar 

  7. Holloway RH, Penagini R, Ireland AC. Criteria for objective definition of transient lower esophageal sphincter relaxation. Am J Physiol. 1995;268:G128–G133.

    PubMed  CAS  Google Scholar 

  8. Kawahara H, Dent J, Davidson G. Mechanisms responsible for gastroesophageal reflux in children. Gastroenterology. 1997;113:399–408. doi:10.1053/gast.1997.v113.pm9247456.

    PubMed  Article  CAS  Google Scholar 

  9. Penagini R, Schoeman MN, Dent J, Tippet MD, Holloway RH. Motor events underlying gastro-oesophageal reflux in ambulant patients with reflux oesophagitis. Neurogastroenterol Motil. 1996;8:131–141.

    PubMed  CAS  Google Scholar 

  10. Iwakiri K, Tanaka Y, Hayashi Y, et al. Association between reflux esophagitis and/or hiatus hernia and gastric mucosal atrophy level in Japan. J Gastroenterol Hepatol. 2007;22:2212–2216. doi:10.1111/j.1440-1746.2006.04726.x.

    PubMed  Article  Google Scholar 

  11. Sifrim D, Holloway R, Silny J, Tack J, Lerut A, Janssens J. Composition of the postprandial refluxate in patients with gastroesophageal reflux disease. Am J Gastroenterol. 2001;96:647–655. doi:10.1111/j.1572-0241.2001.03598.x.

    PubMed  Article  CAS  Google Scholar 

  12. Pandolfino JE, Shi G, Trueworthy B, Trueworthy B, Kahrilas PJ. Esophagogastric junction opening during relaxation distinguishes nonhernia reflux patients, hernia patients, and normal subjects. Gastroenterology. 2003;125:1018–1024. doi:10.1016/S0016-5085(03)01210-1.

    PubMed  Article  Google Scholar 

  13. Kahrilas PJ, Dodds WJ, Hogan WJ, Kern M, Arndorfer RC, Reece A. Esophageal peristaltic dysfunction in peptic esophagitis. Gastroenterology. 1986;91:897–904.

    PubMed  CAS  Google Scholar 

  14. Kahrilas PJ, Dodds WJ, Hogan WJ. Effect of peristaltic dysfunction on esophageal volume clearance. Gastroenterology. 1988;94:73–80.

    PubMed  CAS  Google Scholar 

Download references

Author information

Affiliations

Authors

Corresponding author

Correspondence to Katsuhiko Iwakiri.

Rights and permissions

Reprints and Permissions

About this article

Cite this article

Iwakiri, K., Kawami, N., Sano, H. et al. Mechanisms of Excessive Esophageal Acid Exposure in Patients with Reflux Esophagitis. Dig Dis Sci 54, 1686–1692 (2009). https://doi.org/10.1007/s10620-008-0542-1

Download citation

  • Received:

  • Accepted:

  • Published:

  • Issue Date:

  • DOI: https://doi.org/10.1007/s10620-008-0542-1

Keywords

  • Reflux esophagitis
  • Excessive esophageal acid exposure
  • Transient lower esophageal sphincter relaxations
  • Proximal acid reflux