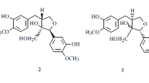
Phytochemical investigation of the ethyl acetate extract of Styrax annamensis leaves has led to the isolation and determination of a new lignan, 7R,8S,7′S,8′R-3,4,3′-trimethoxy-9,4′,7′-trihydroxy-8.8′,7.O.9′-lignan (1), together with a known compound, 4-ketopinoresinol (2). Compound 2 was isolated from the genus Styrax for the first time, and showed moderate activity to capture the DPPH radical with the IC50 value of 56.74 ± 0.79 μg/mL.

Similar content being viewed by others
Explore related subjects
Discover the latest articles and news from researchers in related subjects, suggested using machine learning.References
N. T. Son, N. T. T. Linh, N. T. Tra, N. T. T. Ha, L. T. T. Anh, B. T. Cham, D. T. T. Anh, and N. V. Tuyen, Studies in Natural Products Chemistry, Vol. 69, Elsevier Publisher, 2021, pp. 299–347.
A. Hidayat, A. H. Iswanto, A. Susilowati, and H. H. Rachmat, J. Korean Wood Sci. Technol., 46, 346 (2018).
M. Hovaneissian, P. Archier, C. Mathe, G. Culioli, and C. Vieillescazes, Phytochem. Anal., 19, 301 (2008).
H. Demiray, A. E. Derboylu, Z. I. Yazici, and F. Karabey, Turk. J. Bot., 37, 956 (2013).
N. T. Tra, T. D. Anh, P. V. Cuong, N. T. T. Ha, L. T. T. Anh, B. T. Cham, and N. T. Son, Vietnam J. Chem., 58, 630 (2020).
N. T. Tra, N. T. Son, N. V. Tuyen, P. V. Cuong, N. T. T. Ha, L. T. T. Anh, D. T. M. Huong, T. B. Ngan, and M. Litaudon, Nat. Prod. Res., 36, 1616 (2022).
N. T. Tra, N. V. Tuyen, P. V. Cuong, N. T. T. Ha, L. T. T. Anh, and N. T. Son, Phytochem. Lett., 41, 70 (2021).
N. T. Son, M. Kamiji, T. T. Huong, M. Kubo, N. M. Cuong, Y. Fukuyama, Med. Chem. Res., 28, 1441 (2019).
T. T. Huong, N. T. Son, N. M. Cuong, D. T. Van, T. D. Cuong, P. N. Khanh, and V. T. Ha, Chem. Pharm. Bull., 64, 1230 (2016).
N. M. Cuong, T. T. Huong, P. N. Khanh, N. V. Tai, V. T. Ha, and N. T. Son, Chem. Pharm. Bull., 63, 945 (2015).
J. Lee, D. Lee, D. S. Jang, J. W. Nam, J. P. Kim, K. H. Park, M. S. Yang, and E. K. Seo, Chem. Pharm. Bull., 55, 137 (2007).
A. Kobayashi and K. Noguchi, Bot. Stud., 56, 25 (2015).
N. T. T. Ha, P. V. Cuong, N. T. Tra, L. T. T. Anh, B. T. Tram, and N. T. Son, Vietnam J. Sci. Technol., 58, 411 (2020).
L. T. T. Anh, N. T. Son, N. V. Tuyen, P. T. Thuy, P. M. Quan, N. T. T. Ha, and N. T. Tra, Mol. Diver., 26, 229 (2022).
A. I. Elshamy, M. Hama, N. V. Trang, and N. T. Son, J. Mol. Struct., 1200, 127061 (2020).
ACKNOWLEDGMENT
This research was supported by a project from the Institute of Chemistry, VAST, under Grant No. CSCL06.01/22-23.
Author information
Authors and Affiliations
Corresponding author
Additional information
Published in Khimiya Prirodnykh Soedinenii, No. 4, July–August, 2022, pp. 518–520.
Rights and permissions
Springer Nature or its licensor holds exclusive rights to this article under a publishing agreement with the author(s) or other rightsholder(s); author self-archiving of the accepted manuscript version of this article is solely governed by the terms of such publishing agreement and applicable law.
About this article
Cite this article
Tra, N.T., Thuy, N.N.N., Van Tuyen, N. et al. A New Lignan from the Leaves of Styrax annamensis. Chem Nat Compd 58, 607–609 (2022). https://doi.org/10.1007/s10600-022-03752-4
Received:
Published:
Issue Date:
DOI: https://doi.org/10.1007/s10600-022-03752-4


