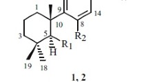
A new seco-abietanoid, 12-methoxy-7-oxo-6,7-secoabieta-8,11,13-trien-6-oic acid (1), and a known seco-abietanoid,12-hydroxy-6,7-secoabieta-8,11,13-triene-6,7-dial (2), were isolated from the methanol extract of the bark of Cryptomeria japonica. Structure determination of the two compounds was accomplished by spectroscopic analyses including 1D and 2D NMR (1H, 13C, COSY, HMQC, HMBC, and NOESY) and EI-MS. At a concentration of 50 μM, the inhibitory effects of compounds 1 and 2 on xanthine oxidase were 30.4 ± 0.9% and 32.0 ± 1.7%, respectively.
Similar content being viewed by others
Explore related subjects
Discover the latest articles and news from researchers in related subjects, suggested using machine learning.References
W. S. Gan, Manual of Medicine Plants in Taiwan, Vol. 1, National Research Institute of Chinese Medicine, Taiwan, 1958, p. 54.
M. Shieh, Y. Iizuka, and Y. Matsubara, Agric. Biol. Chem., 45, 1493 (1981).
S. Nagahama, M. Tazaki, H. Nomura, K. Nishimura, M. Tajima, and Y. Iwasita, Mokuzai Gakkaishi, 42, 1127 (1996).
S. Nagahama, M. Tazaki, T. Sanetika, K. Nishimura, and M. Tajima, Mokuzai Gakkaishi, 44, 282 (1998).
S. Morita, M. Yatagai, and S. Fujita, Mokuzai Gakkaishi, 41, 938 (1995).
H. Narita, M. Yatagai, and T. Ohira, J. Essent. Oil Res., 18, 68 (2006).
M. Shimizu, H. Tsuji, H. Shogawa, H. Fukumura, S. Tanaami, T. Hayashi, M. Arisawa, and N. Morita, Chem. Pharm. Bull., 36, 3967 (1988).
S. Nagahama, M. Tazaki, H. Kobayashi, and M. Sumimoto, Phytochemistry, 33, 879 (1993).
W. C. Su, J. M. Fang, and Y. S. Cheng, Phytochemistry, 41, 255 (1996).
W. C. Su, J. M. Fang, and Y. S. Cheng, Tetrahedron Lett., 36, 5367 (1995).
X. H. Chen, C. S. Kim, T. Kashiwagi, S. I. Tebayashi, and M. Horiike, Biosci. Biotechnol. Biochem., 65, 1434 (2001).
J. Morisawa, C. S. Kim, T. Kashiwagi, S. I. Tebayashi, and M. Horiike, Biosci. Biotechnol. Biochem., 66, 2424 (2002).
K. Yoshikawa, K. Suzuki, A. Umeyama, and S. Arihara, Chem. Pharm. Bull., 54, 574 (2006).
H. Kofujita, M. Ota, K. Takahashi, Y. Kawai, and Y. Hayashi, Phytochemistry, 61, 895 (2002).
C. Moiteiro, T. Esteves, L. Ramalho, R. Rojas, S. Alvarez, S. Zacchino, and H. Braganca, Nat. Prod. Commun., 8, 1785 (2013).
H. Horiba, T. Nakagawa, Q. Zhu, A. Ashour, A. Watanabe, and K. Shimizu, Nat. Prod. Commun., 11, 1337 (2016).
S. H. Kim, S. Y. Lee, C. Y. Hong, K. S. Gwak, M. J. Park, D. Smith, and I. G. Choi, Int. J. Cosmet. Sci., 35, 484 (2013).
L. F. Shyur, C. C. Huang, C. P. Lo, C. Y. Chiu, Y. P. Chen, S. Y. Wang, and S. T. Chang, Phytochemistry, 69, 1348 (2008).
B. Wu, T. Kashiwagi, I. Kuroda, X. H. Chen, S. I. Tebayashi, and C. S. Kim, Biosci. Biotechnol. Biochem., 72, 611 (2008).
C. C. Chen, J. H. Wu, N. S. Yang, J. Y. Chang, C. C. Kuo, S. Y. Wang, and Y. H. Kuo, Org. Lett., 12, 2786 (2010).
C. I. Chang, C. C. Chen, S. Y. Wang, C. Y. Chao, L. K. Chao, J. J. Chen, H. H. Ko, C. C. Chen, and Y. H. Kuo, Helv. Chim. Acta, 99, 710 (2016).
C. I. Chang, C. C. Chen, and Y. H. Kuo, Chem. Nat. Compd., 57, 331 (2021).
T. Katoh, T. Akagi, C. Noguchi, T. Kajimoto, M. Node, R. Tanaka, M. Nishizawa nee Iwamoto, H. Ohtsu, N. Suzuki, and K. Saito, Bioorg. Med. Chem., 15, 2736 (2007).
P. Cos, L. Ying, M. Calomme, J. P. Hu, K. Cimanga, P. B. Van, L. Pieters, A. J. Vlietinck, and B. D. Vanden, J. Nat. Prod., 61, 71 (1998).
C. H. Chen, H. C. Chan, Y. T. Chu, H. Y. Ho, P. Y. Chen, T. H. Lee, and C. K. Lee, Molecules, 14, 2947 (2009).
Acknowledgment
This work was financially supported by the China Medical University grant in Taiwan (10959189 and CMU109-AWARD-02) and the “Chinese Medicine Research Center, China Medical University” from the Featured Areas Research Center Program within the framework of the Higher Education Sprout Project by the Ministry of Education (MOE) in Taiwan (CMRC-CHM-2-1). The authors are grateful to Ms Shu-Yun Sun for the MS measurements in the Instrumentation Center of the College of Science, National Taiwan University and Prof. Yen-Hsueh Tseng for identification of plant material. We are also grateful to the National Center for high-performance computing for computer time and facilities.
Chi-I Chang and Che-Yi Chao contributed equally to this work.
Author information
Authors and Affiliations
Corresponding author
Additional information
Published in Khimiya Prirodnykh Soedinenii, No. 3, May–June, 2022, pp. 410–412.
Rights and permissions
About this article
Cite this article
Chang, CI., Chen, CC., Ko, HH. et al. Seco-Abietanoids from Cryptomeria japonica and Their Inhibitory Activity Toward Xanthine Oxidase. Chem Nat Compd 58, 478–481 (2022). https://doi.org/10.1007/s10600-022-03714-w
Received:
Published:
Issue Date:
DOI: https://doi.org/10.1007/s10600-022-03714-w


