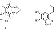
A new β-ionone, burmanic acid A (1), was isolated from the roots of Cinnamomum burmanni (Nees & T. Nees) Blume (Lauraceae). The structure of the new β-ionone was elucidated by chemical and physical evidence.
Similar content being viewed by others
Explore related subjects
Discover the latest articles and news from researchers in related subjects, suggested using machine learning.References
Subehan, S. Kadota, and Y. Tezuka, Planta Med., 74, 1474 (2008).
H. T. Li, C. H. Chen, Z. L. Hong, J. C. Huang, and C. Y. Chen, Chem. Nat. Compd., 48, 873 (2012).
C. Y. Chen, C. L. Lin, C. L. Kao, C. T. Chen, and H. T. Li, Chem. Nat. Compd., 55, 922 (2019).
C. T. Chen, C. L. Kao, W. J. Li, H. C. Yeh, H. T. Li, and C. Y. Chen, Chem. Nat. Compd., 55, 1185 (2019).
C. Y. Chen, C. L. Kao, W. J. Li, H. C. Yeh, S. C. Huang, and H. T. Li, Chem. Nat. Compd., 54, 562 (2018).
C. L. Lin, M. H. Perng, W. J. Li, H. T. Li, and C. Y. Chen, Chem. Nat. Compd., 54, 628 (2018).
Z. L. Hong, J. C. Huang, S. Y. Kuo, and C. Y. Chen, Nat. Prod. Commun., 6, 1297 (2011).
C. Y. Chen, Z. L. Hong, W. L. Yang, M. H. Wu, and J. C. Huang, Nat. Prod. Res., 26, 1218 (2012).
C. Y. Chen and Y. D. Wang, Chem. Nat. Compd., 47, 215 (2011).
C. Y. Chen, Chem. Nat. Compd., 47, 306 (2011).
Y. C. Chia, H. C. Yeh, Y. T. Yeh, and C. Y. Chen, Chem. Nat. Compd., 47, 220 (2011).
I. J. Lin, H. C. Yeh, T. M. Cham, and C. Y. Chen, Chem. Nat. Compd., 47, 43 (2011).
T. J. Hsieh, S. F. Hsieh, and C. Y. Chen, Chem. Nat. Compd., 46, 99 (2010).
C. Y. Chen, H. M. Wang, S. H. Chung, W. L. Lo, W. L. Yang, and S. C. Yang, Chem. Nat. Compd., 46, 474 (2010).
C. Y. Chen, W. L. Yang, and Y. R. Hsui, Nat. Prod. Res., 24, 423 (2010).
M. J. Cheng, W. L. Lo, W. S. Tseng, H. C. Yeh, and C. Y. Chen, Nat. Prod. Res., 24, 732 (2010).
I. J. Lin, W. L. Lo, Y. C. Chia, L. Y. Huang, T. M. Cham, W. S. Tseng, Y. T. Yeh, H. C. Yeh, Y. D. Wang, and C. Y. Chen, Nat. Prod. Res., 24, 775 (2010).
R. J. Lin, M. J. Cheng, J. C. Huang, W. L. Lo, Y. T. Yeh, C. M. Teh, C. M. Lu, and C. Y. Chen, J. Nat. Prod., 72, 1816 (2009).
C. Y. Chen, C. H. Chen, Y. C. Lo, B. N. Wu, H. M. Wang, W. L. Lo, C. M. Yen, and R. J. Lin, J. Nat. Prod., 71, 933 (2008).
S. Y. Kuo, T. J. Hsieh, Y. D. Wang, W. L. Lo, Y. R. Hsui, and C. Y. Chen, Chem. Pharm. Bull., 56, 97 (2008).
C. Y. Chen, C. H. Chen, C. H. Wong, Y. W. Liu, Y. S. Lin, Y. D. Wang, and Y. R. Hsui, J. Nat. Prod., 70, 103 (2007).
C. H. Chen, W. L. Lo, Y. C. Liu, and C. Y. Chen, J. Nat. Prod., 69, 927 (2006).
T. J. Hsieh, C. H. Chen, W. L. Lo, and C. Y. Chen, Nat. Prod. Commun., 1, 21 (2006).
T. Maoka, Y. Fujiwara, K. Hashimoto, and N. Akimoto, J. Agric. Food Chem., 49, 1601 (2001).
Acknowledgment
This investigation was supported by a grant from the National Taiwan University.
Author information
Authors and Affiliations
Corresponding authors
Additional information
Published in Khimiya Prirodnykh Soedinenii, No. 5, September–October, 2021, pp. 737–738.
Rights and permissions
About this article
Cite this article
Liu, S.L., Kao, C.L., Yeh, H.C. et al. A New β-Ionone from Cinnamomum burmanni. Chem Nat Compd 57, 861–863 (2021). https://doi.org/10.1007/s10600-021-03498-5
Received:
Published:
Issue Date:
DOI: https://doi.org/10.1007/s10600-021-03498-5


