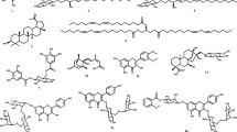
Leaves of Rhaponticum uniflorum (L.) DC. (Asteraceae) afforded 46 compounds including seven new flavonoids that were identified using UV, IR, and NMR spectroscopy and mass spectrometry as 6-hydroxyluteolin-7-O-(2′-O-caffeoyl)-β-D-glucopyranoside (rhaunoside A, 1), 6-hydroxyluteolin-7-O-(6″-O-cinnamoyl)-β-D-glucopyranoside (rhaunoside B, 2), 6-hydroxyluteolin-4′-O-β-D-glucopyranoside (rhaunoside C, 3), nepetin-7-O-(6″-O-caffeoyl)-β-D-glucopyranoside (rhaunoside D, 4), nepetin-7-O-(6″-O-cinnamoyl)-β-D-glucopyranoside (rhaunoside E, 5), nepetin-3′-O-β-D-glucopyranoside (rhaunoside F, 6), and luteolin-7-O-(2″-O-caffeoyl)-β-D-glucopyranoside (rhaunoside G, 7) and the new ecdysteroid turkesterone-2-O-cinnamate (8).
Similar content being viewed by others
Explore related subjects
Discover the latest articles and news from researchers in related subjects, suggested using machine learning.References
D. N. Olennikov, Chem. Nat. Compd., 54, 798 (2018).
D. N. Olennikov, Chem. Nat. Compd., 54, 751 (2018).
I. G. Nikolaeva, L. P. Tsybiktarova, L. L. Garmaeva, G. G. Nikolaeva, D. N. Olennikov, and I. E. Matkhanov, J. Anal. Chem., 72, 854 (2017).
M. K. Kim, K. J. Yun, D. H. Lim, J. Kim, and Y. P. Jang, Biomol. Ther., 24, 630 (2016).
J. Liu, Y. Liu, Z. Dai, L. He, and S. Ma, J. Anal. Methods Chem., 2017, 4934309 (2017).
Y. Yao, X. Cheng, L. Wang, S. Wang, and G. Ren, Int. J. Mol. Sci., 12, 6445 (2011).
M. P. Yuldashev and L. Kh. Rassulova, Chem. Nat. Compd., 37, 226 (2001).
J. B. Harborne and C. A. Williams, Z. Naturforsch., C: J. Biosci., 39, 18 (1984).
D. de Beer, E. Joubert, C. J. Malherbe, and J. D. Brand, J. Chromatogr. A, 1218, 6179 (2011).
J. B. Harborne and C. A. Williams, Phytochemistry, 10, 367 (1971).
H. R. Monsef-Esfahani, R. Hajiaghaee, A. R. Shahverdi, M. R. Khorramizadeh, and M. Amini, Pharm. Biol., 48, 333 (2010).
A. Cakir, A. Mavi, C. Kazaz, A. Yildirim, and O. I. Kufrevioglu, Turk. J. Chem., 30, 483 (2006).
A. A. Ahmed, T. J. Mabry, and S. A. Matlin, Phytochemistry, 28, 1751 (1989).
T. Iwashina, K. Kamenosono, and T. Ueno, Phytochemistry, 51, 1109 (1999).
M. A. M. Nawwar, S. A. M. Hussein, and I. Merfort, Phytochemistry, 37, 1175 (1994).
T. Iwashina, H. Setoguchi, and J. Kitajima, Bull. Natl. Mus. Nat. Sci., Ser. B, 37, 87 (2011).
F. Moussaoui, A. Zellagui, N. Segueni, A. Touil, and S. Rhouati, Rec. Nat. Prod., 4, 91 (2010).
G. Miliauskas, T. A. van Beek, P. de Waard, R. P. Venskutonis, and E. J. R. Sudholter, J. Nat. Prod., 68, 168 (2005).
E. Varga, G. Sarik, Zs. Hajdu, K. Szendrei, I. Pelczer, and G. Jerkovich, Herba Hung., 29, 51 (1990).
G. Schmeda-Hirschmann, A. Tapia, C. Theoduloz, J. Rodriguez, S. Lopez, and G. E. Feresin, Z. Naturforsch., C: J. Biosci., 59, 345 (2004).
D. C. Albach, R. J. Grayer, S. R. Jensen, F. Ozgokce, and N. C. Veitch, Phytochemistry, 64, 1295 (2003).
H. Y. Al Ati, G. A. Fawzy, A. A. El Gamal, A. T. Khalil, K. El Din El Tahir, M. S. Abdel-Kader, and A.-H. Gilani, Pak. J. Pharm. Sci., 28, 1533 (2015).
M. Mizuno, M. Kato, M. Iinuma, T. Tanaka, A. Kimura, H. Ohashi, and H. Sakai, Phytochemistry, 26, 2418 (1987).
A. G. Ramachandran Nair, R. Jayaprakasam, R. Gunasekaran, C. Bayet, and B. Voirin, Phytochemistry, 33, 1275 (1993).
I. Pajero, J. Bastida, F. Viladomat, and C. Codina, Phytochemistry, 66, 2356 (2005).
V. M. Malikov and M. P. Yuldashev, Chem. Nat. Compd., 38, 358 (2002).
A. Ulubelen, K. M. Kerr, and T. J. Mabry, Phytochemistry, 19, 1761 (1980).
G. B. Russel, P. G. Fenemore, D. H. S. Horn, and E. J. Middleton, Aust. J. Chem., 25, 1935 (1972).
N. R. Krishnaswamy, T. R. Seshadri, and P. J. Tahir, Indian J. Chem., 6, 676 (1968).
Z. Xi, W. Chen, Z. Wu, Y. Wang, P. Zeng, G. Zhao, X. Li, and L. Sun, Food Chem., 130, 165 (2012).
Y. Du, X.-Q. Wang, B.-Q. Bao, and H. Hang, Chin. Tradit. Herb. Drugs, 47, 2817 (2016).
O. Hidalgo, N. Garcia-Jacas, T. Garnatje, and A. Susanna, Ann. Bot., 97, 705 (2006).
D. N. Olennikov, N. K. Chirikova, N. I. Kashchenko, T. G. Gornostai, I. Y. Selyutina, and I. N. Zilfikarov, Int. J. Mol. Sci., 18, 2579 (2017).
M. Akabane, A. Yamamoto, S. Aizawa, A. Taga, and S. Kodama, Anal. Sci., 30, 739 (2014).
Acknowledgment
The work was sponsored by FASO Russia (Nos. 0337-2016-0006, AAAA-A17-117011810037-0).
Author information
Authors and Affiliations
Corresponding author
Additional information
Translated from Khimiya Prirodnykh Soedinenii, No. 2, March–April, 2019, pp. 220–227.
Rights and permissions
About this article
Cite this article
Olennikov, D.N., Kashchenko, N.I. New Flavonoids and Turkesterone-2-O-Cinnamate from Leaves of Rhaponticum uniflorum. Chem Nat Compd 55, 256–264 (2019). https://doi.org/10.1007/s10600-019-02662-2
Received:
Published:
Issue Date:
DOI: https://doi.org/10.1007/s10600-019-02662-2


