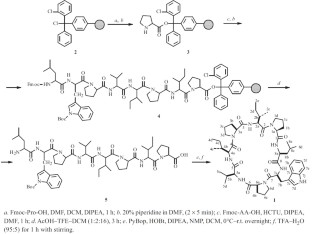
The total synthesis of a naturally occurring proline-enriched cyclic octapeptide, reniochalistatin E, from a marine sponge, where all the amino acids have the L-configuration, was reported. The reniochalistatin E was synthesized by applying a two-step solid-phase/solution synthesis strategy. The linear octapeptide was assembled by standard Fmoc chemistry on the solid phase, and subsequently cyclization was achieved by a solution method. The final product was purified by a preparative RP-HPLC system, and its structure was identified by HR-QTOF-MS, and 1H and 13C NMR.

Similar content being viewed by others
Explore related subjects
Discover the latest articles and news from researchers in related subjects, suggested using machine learning.References
A. Aneiros and A. Garateix, Technol. Biomed. Life Sci., 41, 803 (2004).
E. M. Driggers, S. P. Hale, J. Lee, and N. K. Terrett, Nat. Rev. Drug Discov., 7, 608 (2008).
J. Craik David, Science, 311, 1563 (2006).
J. S. Davies, J. Pept. Sci., 9, 471 (2003).
C. Cychon and M. Kock, J. Nat. Prod., 73, 738 (2010).
M. Arai, Y. Yamano, M. Fujita, A. Setiawan, and M. Kobayashi, Bioorg. Med. Chem. Lett., 22, 1818 (2012).
Masaki Kita, Baro Gise, Atsushi Kawamura, and Hideo Kigoshi, Tetrahedron Lett., 54, 6826 (2013).
G. Schmidt, A.Grube, and M. Kock, Eur. J. Org. Chem., 24, 4103 (2007).
E. Aviles and A. D. Rodriguez, Tetrahedron, 69, 10797 (2013).
X. Wang, B. I. Morinaka, and T. F. Molinski, J. Nat. Prod., 77, 625 (2014).
R. Dahiya, Acta Pol. Pharm. Drug Res., 64, 509 (2007).
W. X. Gu and R. B. Silverman, J. Org. Chem., 68, 8774 (2003).
K. X. Zhan, W. H. Jiao, F. Yang, J. Li, S. P. Wang, Y. S. Li, B. N. Han, and H. W. Lin, J. Nat. Prod., 77, 2678 (2014).
K. A. Fairweather, N. Sayyadi, C. Roussakis, and K. A. Jolliffe, Tetrahedron, 66, 935 (2010).
L. Yang and G. Morriello, Tetrahedron Lett., 40, 8197 (1999).
Li, P. P. Roller, and J. Xu, Curr. Org. Chem., 6, 411 (2002).
Yu-lei Li, Xue-cui Bao, Yuan-yuan Gao, Chao Liu, Yan Zou, and Fang Yan, Chem. Nat. Compd., 52, 1069 (2016).
Acknowledgment
This research was supported by NSFC-Shandong Joint Fund (U1406402) and Innovation Project of Qingdao National Laboratory for Marine Science and Technology (No. 2015ASKJ02), and we are grateful to the Instrumental Analysis Center of Ocean University of China for NMR spectroscopic and mass spectrometric analysis.
Author information
Authors and Affiliations
Corresponding author
Additional information
Published in Khimiya Prirodnykh Soedinenii, No. 6, November–December, 2018, pp. 962–964.
Rights and permissions
About this article
Cite this article
Li, Yl., Chang, Q., Han, Ww. et al. Total Synthesis of Cyclic Octapeptide Reniochalistatin E. Chem Nat Compd 54, 1131–1134 (2018). https://doi.org/10.1007/s10600-018-2572-z
Received:
Published:
Issue Date:
DOI: https://doi.org/10.1007/s10600-018-2572-z

