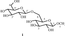
One novel 2-(2-phenylethyl)chromone glycoside was isolated from the EtOH extract of the stems of Aquilaria sinensis. Its structure was elucidated by spectroscopic methods as 6,4′-dimethoxy-3′-hydroxy-2-(2-phenylethyl)chromone 7-O-β-D-glucopyranoside. Compound 1 was assigned the trivial name aquilarinoside C.

Similar content being viewed by others
References
G. Liao, W. L. Mei, W. H. Dong, W. Li, P. Wang, F. D. Kong, C. J. Gai, X. Q. Song, and H. F. Dai, Fitoterapia, 110, 38 (2016).
Y. Wu, C. Liu, H. F. Li, J. B. Sun, Y. Y. Li, W. Gu, D. Y. Wang, J. G. Liu, and Y. L. Hu, Biochem. Syst. Ecol., 55, 41 (2014).
S. Hara, H. Okabe, and K. Mihashi, Chem. Pharm. Bull., 35, 501 (1987).
Acknowledgment
This work was supported by a Project Funded by the Priority Academic Program Development of Jiangsu Higher Education Institutions (PAPD).
Author information
Authors and Affiliations
Corresponding author
Additional information
Published in Khimiya Prirodnykh Soedinenii, No. 4, July–August, 2017, pp. 541–542.
Rights and permissions
About this article
Cite this article
Quan, L., Zhang, J. & Wu, Y. One Novel 2-(2-Phenylethyl)Chromone Glycoside from Aquilaria sinensis . Chem Nat Compd 53, 635–637 (2017). https://doi.org/10.1007/s10600-017-2078-0
Received:
Published:
Issue Date:
DOI: https://doi.org/10.1007/s10600-017-2078-0


