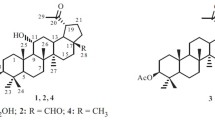
A new lupane-type triterpene, named 7α,11β-dihydroxy-2,3-seco-lup-12(13),20(29)-diene-2,3,28-trioic acid (1), along with 5 other known lupane-type triterpenoids, namely 3β-hydroxy-lup-20(29)-ene-23,28-dioic acid (2), betulinic acid (3), betulinic acid 3-O-sulfate (4), 12(13)-ene betulinic acid (5), and betulinic acid glucoside (6), was isolated from Schefflera octophylla stems and leaves. The structures of these compounds were determined by 1D and 2D NMR, MS techniques, and chemical methods. Compound 1 was the new compound, and 2, 3, 5, 6 were isolated from S. octophylla for the first time.

Similar content being viewed by others
Explore related subjects
Discover the latest articles and news from researchers in related subjects, suggested using machine learning.References
T. V. Sung, W. Steglich, and G. Adam, Phytochemistry, 30, 2349 (1991).
Y. L. Li, P. H. B. Paul, and E. C. O. Vincent, Antiviral. Res., 68, 1 (2005).
G. Adam, M. Lischewski, and H. V. Phiet, Phytochemistry, 21, 1385 (1982).
M. J. Just, M. C. Recio, and R. M. Giner, Nat. Prod. Lett., 9, 167 (1997).
S. Siddiqui, F. Hafeez, and S. Begum, J. Nat. Prod., 51, 229 (1988).
J. Kitajima, M. Shindo, and Y. Tanaka, Chem. Pharm. Bull., 38, 714 (1990).
J. Hussain, N. U. Rehman, and H. Hussain, Fitoterapia, 83, 593 (2012).
J. Kitajima and Y. Tanaka, Chem. Pharm. Bull., 37, 2727 (1989).
Acknowledgment
This work was supported by the key Programs of Science & Technology of Fujian Province (2012Y0049).
Author information
Authors and Affiliations
Corresponding author
Additional information
Published in Khimiya Prirodnykh Soedinenii, No. 3, May–June, 2016, pp. 378–380.
Rights and permissions
About this article
Cite this article
Su-qiu, P., Ai-jing, S., Guo-quan, W. et al. Lupane-Type Triterpenoids from Schefflera octophylla . Chem Nat Compd 52, 432–435 (2016). https://doi.org/10.1007/s10600-016-1666-8
Received:
Published:
Issue Date:
DOI: https://doi.org/10.1007/s10600-016-1666-8


