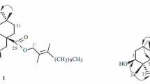
A new dammarane triterpene was isolated from the seed extracts of Cleome arabica L. found growing in Tunisia. The structure of this novel phytoconstituent was elucidated by extensive spectroscopic techniques, including UV, IR, 1D, and 2D NMR and ESI-MS and HR-ESI-MS experiments.
Similar content being viewed by others
Explore related subjects
Discover the latest articles and news from researchers in related subjects, suggested using machine learning.References
J. C. Willis, A Dictionary of the Flowering Plants and Ferns, Cambridge University Press, Cambridge, 1966.
F. Tsichritzis, M. Abdel-Mogib, and J. Jakupovic, Phytochemistry, 33, 423 (1993).
H. Bouriche and J. Arnhold, Nat. Prod. Commun., 5, 415 (2010).
D. Takhi, M. Ouinten, and M. Yousfi, Adv. Environ. Biol., 5, 469 (2011).
A. Djeridane, M. Yousfi, J. M. Brunel, and P. Stocker, Food Chem. Toxicol., 48, 2599 (2010).
H. Nagaya, Y. Tobita, T. Nagae, H. Itokawa, K. Takeya, A. F. Halim, and O. B. Abdel-Halim, Phytochemistry, 44, 1115 (1997).
M. Della Greca, A. Fiorentino, A. Izzo, F. Napoli, R. Purcaro, and A. Zarrelli, Chem. Biodiv., 4, 118 (2007).
S. D. Srivastava, Ind. J. Chem., 21, 165 (1982).
A. A. Seif El-Din, E. A. Darwish, and A. Abou-Donia, Egypt. J. Pharm. Sci., 28, 313 (1987).
F. M. Harraz, A. Ulubelen, S. Oksuz, and N. Tan, Phytochemistry, 39, 175 (1995).
A. A. Ahmed, T. K. Mohamed, H. J. Williams, A. I. Scott, and J. H. Reibenspies, Nat. Prod. Res., 10, 239 (1997).
A. K. Khalafallah, A. H. Mohamed, A. H. Yousof, T. A. Hussien, F. H. Mohamed-Elamir, and O. Shinji, Pharmacogn. Res., 1, 162 (2009).
S. I. Ismail, H. Ito, L. Selloum, H. Bouriche, and T. Yoshida, Nat. Med., 59, 53 (2005).
A. A. Ahmed, A. M. Kattab, S. G. Bodige, Y. Mao, D. E. Minter, M. G. Reinecke, W. H. Watson, and T. J. Mabry, J. Nat. Prod., 64, 106 (2001).
G. W. Qin, A. I. Hamed, N. A. El-Emary, Y. G. Chen, L. Q. Wang, K. K. Cheung, and K. F. Cheng, Planta Med., 66, 191 (2000).
G. Pottier-Alapetite, Angiospermes-Dicotyledones, Apetales-Dialypetales, Flore de la Tunisie, Tunisie, 1979, 181 p.
Author information
Authors and Affiliations
Corresponding authors
Additional information
Published in Khimiya Prirodnykh Soedinenii, No. 4, July–August, 2014, pp. 592–594.
Rights and permissions
About this article
Cite this article
Ladhari, A., Haouala, R. & DellaGreca, M. A New Dammarane Triterpene from Cleome arabica . Chem Nat Compd 50, 684–686 (2014). https://doi.org/10.1007/s10600-014-1052-3
Received:
Published:
Issue Date:
DOI: https://doi.org/10.1007/s10600-014-1052-3


