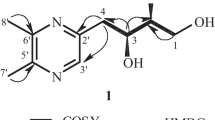
Three new alkaloids, seneciobipyrrolidine (1), seneciopiperidine (2), and 4-pyrrolidinophenyl acetate ethyl ester (3) were isolated from Senecio scandens. Their structures were elucidated on the basis of spectroscopic data.


Similar content being viewed by others
References
Editor Committee of National Chinese Medical Management Bureau, Chinese Herb, Vol. 7, Shanghai Science and Technology Press, Shanghai, 1999, p. 950.
F. Bohlmann, K. H. Knoll, C. Zdero, P. K. Mahanta, M. Grenz, A. Suwita, D. Ehlers, Van N. Le, W. R. Abraham, and A. A. Natu, Phytochemistry, 16, 965 (1977).
H. Y. Ma, L. Yang, M. Zhang, C. H. Wang, and Z. T. Wang, Acta Pharm. Sin., 43, 626 (2008).
J. Shi, F. Zhang, H. Y. Ma, C. H. Wang, G. X. Chou, M. Zhang, C. F. Zhang, and Z. T. Wang, China J. Chin. Mat. Med., 32, 1600 (2007).
D. P. Tan, Y. Chen, L. L. Ji, G. X. Chou, and Z. T. Wang, China J. Chin. Mater. Med., 35, 2572 (2010).
Author information
Authors and Affiliations
Corresponding author
Additional information
Published in Khimiya Prirodnykh Soedinenii, No. 2, March–April, 2014, pp. 288–290.
Rights and permissions
About this article
Cite this article
Tan, D., Chou, G. & Wang, Z. Three New Alkaloids from Senecio scandens . Chem Nat Compd 50, 329–332 (2014). https://doi.org/10.1007/s10600-014-0944-6
Received:
Published:
Issue Date:
DOI: https://doi.org/10.1007/s10600-014-0944-6


