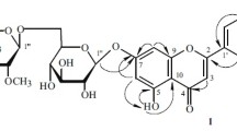
From the ethyl acetate extract of the roots of Clausena pentaphylla, a flavanone glycoside, 5,7-dihydroxy3',4'-dimethoxyflavanone 6-C-[α-rhamnopyranosyl-(1 → 6)]-β-glucopyranoside (1), was isolated. The isolated compound was characterized by UV, IR, and NMR (1H, 13C) studies.
Similar content being viewed by others
Explore related subjects
Discover the latest articles and news from researchers in related subjects, suggested using machine learning.References
C. P. Khare (ed.), Indian Medicinal Plants, an Illustrated Dictionary, Springer Verlag, Berlin/Heidelberg, Germany, 2007.
A. Shoeb, M. D. Manandhar, R. S. Kapil, and S. P. Polpli, J. Chem. Soc., Chem. Commun., 281 (1978).
G. K. Patnaic and B. N. Dhawan, J. Ethnopharmacol., 6, 127 (1982).
J. Intekhab and M. Aslam, Malaysian J. Pharm. Sci., 7, 1 (2009).
J. Intekhab and M. Aslam, Herba Polonica, 55 (4), 38 (2009).
J. Intekhab and M. Aslam, Monatsh. Chemie - Chem. Mon., 141, 1263 (2010).
Techniques of Flavonoid Identification, K. R. Markham (ed.), Academic Press, London, 1982.
The Systematic Identification of Flavonoids, T. J. Mabry, K. R. Markham, and M. B. Thomas (eds.), Springer, New York, 1970, pp. 24–26, 147, 332–333.
K. R. Markham and T. J. Mabry, Ultraviolet-visible and Proton Magnetic Resonance Spectroscopy of Flavonoids, in: J. B. Harborne, T. J. Mabry, and H. Mabry (eds.), The Flavonoids, Chapman and Hall, London, 1975, pp. 45–77.
J. B. Harborne and H. Baxter, The Handbook of Natural Flavonoids, John Wiley and Sons, Chichester, Vols. 1 and 2, 1999.
R. J. Grayer and N. C. Veitch, in: Flavonoids: Chemistry, Biochemistry, and Applications, O. M. Andersen and K. R. Markham (eds.), CRC Press, Taylor and Francis Group, Boca Raton, USA, 2006.
P. K. Agrawal, Carbon-13 NMR of Flavonoids, Elsevier, Amsterdam, 1989.
Author information
Authors and Affiliations
Corresponding author
Additional information
Published in Khimiya Prirodnykh Soedinenii, No. 4, July–August, 2012, pp. 512–513.
Rights and permissions
About this article
Cite this article
Intekhab, J., Aslam, M., Bhadauria, V. et al. A new flavanone glycoside from Clausena pentaphylla . Chem Nat Compd 48, 568–569 (2012). https://doi.org/10.1007/s10600-012-0312-3
Received:
Published:
Issue Date:
DOI: https://doi.org/10.1007/s10600-012-0312-3


