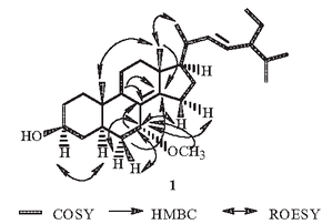
Investigations on the EtOH extract of Cucumis sativus roots led to the isolation of 15 compounds (1–15). Their structures were identified using spectroscopic methods. Among these compounds, compound 1, stigmasta-8(14),22-diene-7α-methoxy-3β-ol, is a new steroid, and 2, 4–15 were isolated from this plant for the first time.
This is a preview of subscription content, log in to check access.

References
- 1.
State Administration of Traditional Chinese Medicine, Chinese Materia Medica (5), Shanghai Science and Technological Publisher, Shanghai, 1999, p. 525.
- 2.
C. A. Rice, K. S. Rymal, O. L. Chambliss, and F. A. Johnson, J. Agric. Food Chem., 29, 194 (1981).
- 3.
H. Hcrie, H. Ito, K. Ippoushi, K. Azuma, Y. Sakata, and I. Igarashi, J. A. R. Q., 41, 65 (2007).
- 4.
J. Tang, M. H. Qiu, X. M. Zhang, and L. G. Zhou, Nat. Prod. Res. Dev., 21, 66 (2009).
- 5.
W. R. Nes, E. Varkey, D. R. Crump, and M. J. Gut, J. Org. Chem., 41, 3429 (1976).
- 6.
A. Mijares, D. I. Glasel, and J. A. Lieberman, J. Org. Chem., 32, 810 (1967).
- 7.
T. Tai, A. Akahori, and T. Shingu, Phytochemistry, 32, 1239 (1993).
- 8.
M. Kobayashi, M. M. Krishna, K. Ishida, and V. Anjaneyulu, Chem. Pharm. Bull., 40, 72 (1992).
- 9.
L. Cheng, N. Cheng, and H. X. Yin, Chin. Trad. Pat. Med., 20, 40 (1998).
- 10.
H. L. Yue, X. H. Zhao, L. J. Mei, Y. Shao, and Y. D. Tao, Nat. Prod. Res. Dev., 21, 327 (2009).
- 11.
C. H. Liu, M. H. Yen, S. F. Tsang, K. H. Gan, H. Y. Hsu, and C. N. Lin, Food Chem., 118, 751 (2010).
- 12.
T. Akihisa, T. Tamura, and T. Matsumoto, J. Chem. Soc. Perkin Trans. 1, 10, 439 (1988).
- 13.
H. H. Liu, W. H. Lin, X. Zhao, W. H. He, W. X. Jiang, and Y. B. Ji, Heilongjiang Med. J., 20, 564 (2007).
- 14.
S. C. Hu, R. X. Tan, L. Zhuang, L. P. Yan, and K. Hong, Chin. J. Antibiot., 34, S1 (2009).
- 15.
L. Bao, A. J. Deng, Z. H. Li, G. H. Du, and H. L. Qin, Chin. J. Chin. Mater. Med., 35, 598 (2010).
- 16.
S. H. Wu, Y. W. Chen, L. Y. Yang, S. L. Li, and Z. Y. Li, Chin. Trad. Herb. Drugs, 39, 13 (2008).
Acknowledgment
This work was financially supported by the following grants: Science and Technology Department of Hunan Province (No. 2009FJ3213) and “Talent Scholarship of Yunnan Youth (No. 2007PY01-48)”.
Author information
Additional information
Published in Khimiya Prirodnykh Soedinenii, No. 3, May–June, 2012, pp. 379–381.
Rights and permissions
About this article
Cite this article
Zhou, X., Li, X., Shen, Y. et al. Steroids and triterpenoids from Cucumis sativus roots. Chem Nat Compd 48, 419–422 (2012). https://doi.org/10.1007/s10600-012-0264-7
Received:
Published:
Issue Date:
Keywords
- Cucumis sativus
- Cucurbitaceae
- steroids
- triterpenoids