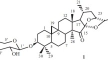
The structure of a new cycloartane-type triterpene glycoside, cyclomacroside E, which was isolated from roots of Astragalus macropus Bunge (Leguminosae), was established as 3-O-α-L-rhamnopyranoside,24-O[(β-D-xylopyranosyl)(1→2)-β-D-xylopyranoside]-24R-cycloartan-1α,3β,7β,24,25-pentaol.
Similar content being viewed by others
Explore related subjects
Discover the latest articles and news from researchers in related subjects, suggested using machine learning.References
D. A. Iskenderov, I. M. Isaev, and M. I. Isaev, Khim. Prir. Soedin., 502 (2008).
I. M. Isaev, D. A. Iskenderov, and M. I. Isaev, Khim. Prir. Soedin., 34 (2010).
D. A. Iskenderov, I. M. Isaev, and M. I. Isaev, Khim. Prir. Soedin., 552 (2009).
D. A. Iskenderov, I. M. Isaev, and M. I. Isaev, Khim. Prir. Soedin., 434 (2009).
D. A. Iskenderov, I. M. Isaev, and M. I. Isaev, Khim. Prir. Soedin., 113 (2009).
D. A. Iskenderov, I. M. Isaev, and M. I. Isaev, Khim. Prir. Soedin., 48 (2009).
M. I. Isaev, M. B. Gorovits, and N. K. Abubakirov, Khim. Prir. Soedin., 431 (1985).
M. I. Isaev, M. B. Gorovits, and N. K. Abubakirov, Khim. Prir. Soedin., 156 (1989).
R. P. Mamedova and M. I. Isaev, Khim. Prir. Soedin., 257 (2004).
V. I. Lutskii, A. S. Gromova, E. A. Khamidullina, and N. L. Owen, Khim. Prir. Soedin., 97 (2005).
R. P. Mamedova, M. A. Agzamova, and M. I. Isaev, Khim. Prir. Soedin., 453 (2001).
Acknowledgment
The work was supported financially by FPFI of the Academy of Sciences, Republic of Uzbekistan (Grant 68-08), RUz State Foundation for Basic Research (Grant FA-F3-T-044), and GNTP (Grant FA-A12-T-101).
Author information
Authors and Affiliations
Corresponding author
Additional information
Translated from Khimiya Prirodnykh Soedinenii, No. 2, pp. 209–212, March–April, 2010.
Rights and permissions
About this article
Cite this article
Iskenderov, D.A., Isaev, I.M. & Isaev, M.I. Triterpene glycosides from Astragalus and their genins. LXXXV. Structure of cyclomacroside E. Chem Nat Compd 46, 250–253 (2010). https://doi.org/10.1007/s10600-010-9580-y
Received:
Published:
Issue Date:
DOI: https://doi.org/10.1007/s10600-010-9580-y


