Skip to main content

GABAergic Signaling Increases Through the Postnatal Development to Provide the Potent Inhibitory Capability for the Maturing Demands of the Prefrontal Cortex

Abstract

The developmental profile of the firing patterns and construction of synapse connection were studied in LTS interneurons of prefrontal cortex (PFC) in rats with age (from P7 to P30). We used whole cell patch-clamp recordings to characterize electrophysiological properties of LTS interneurons in PFC at different age stages, including the action potentials (APs), short-term plasticity (STP), evoked excitatory postsynaptic currents (eEPSCs), spontaneous excitatory postsynaptic currents (sEPSC), and spontaneous inhibitory postsynaptic current (sIPSC). The developmental profile of LTS interneurons in our research showed two phases changes. The early phase from P7–P11 to P16–P19 during which the development of individual LTS interneuron dominated and just some simple synaptic connections formed, the synaptic inputs from pyramidal cells play a promoting role for the maturation of LTS interneurons to some extent. This was based on the changes of APs, eEPSCs, and STP such as the curtailment of time course of APs, the increasing facilitation of STP before P16–P19 group. The late phase from P20–P23 to P > 27 during which the function of inhibitory cortex network enhanced and the characters of this inhibitory cortex network continually changed although in the oldest age group (P > 27) in our research. The frequency and amplitude of sIPSC showed continually changes, and at the same age group, the frequency ratios and amplitude ratios of sIPSC was higher than that of sEPSC. Our study showed a foundation to clarify mechanisms underlying the evolution in time of intrinsic neuronal membrane properties and their important roles in balancing the cortex network, providing an academic foundation for the pathological researching on some psychiatric and neurological disorders.

This is a preview of subscription content, access via your institution.

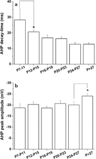
Fig. 1
Fig. 2
Fig. 3
Fig. 4
Fig. 5

References

  • Agmon A, O’Dowd DK (1992) NMDA-receptor-mediated currents are prominent in the thalamocortical synaptic response before maturation of inhibition. J Neurophysiol 68:345–349

    PubMed  CAS  Google Scholar 

  • Agmon A, Hollrigel G, O’Dowd DK (1996) Functional GABAergic synaptic connection in neonatal mouse barrel cortex. J Neurosci 16:4684–4695

    PubMed  CAS  Google Scholar 

  • Akerman CJ, Cline HT (2007) Refining the roles of GABAergic signaling during neural circuit formation. Trends Neurosci 30(8):382–389

    Article  PubMed  CAS  Google Scholar 

  • Barkley RA (1997) Behavioral inhibition, sustained attention, and executive functions: constructing a unifying theory of ADHD. Psychol Bull 121:65–94

    Article  PubMed  CAS  Google Scholar 

  • Beierlein M, Gibson JR, Connors BW (2003) Two dynamically distinct inhibitory networks in layer 4 of the neocortex. J Neurophysiol 90(5):2987–3000

    Article  PubMed  Google Scholar 

  • Benda J, Longtin A, Maler L (2005) Spike-frequency adaptation separates transient communication signals from background oscillations. J Neurosci 25(9):2312–2321

    Article  PubMed  CAS  Google Scholar 

  • Bouron A (2001) Modulation of spontaneous quantal release of neurotransmitters in the hippocampus. Prog Neurobiol 61(6):613–635

    Article  Google Scholar 

  • Burgard EC, Hablitz JJ (1993) NMDA receptor-mediated components of miniature excitatory synaptic currents in developing rat neocortex. J Neurophysiol 70:1841–1852

    PubMed  CAS  Google Scholar 

  • Butt SJB, Cobos I, Golden J, Kessaris N, Pachnis V, Anderson S (2007) Transcriptional regulation of cortical interneuron development. J Neurosci 27(44):11847–11850

    Article  PubMed  CAS  Google Scholar 

  • Catterall WA, Few AP (2008) Calcium channel regulation and presynaptic plasticity. Neuron 59:882–901

    Article  PubMed  CAS  Google Scholar 

  • Cauli B, Porter JT, Tsuzuki K, Lambolez B, Rossier J, Quenet B, Audinat E (2000) Classification of fusiform neocortical interneurons based on unsupervised clustering. Proc Natl Acad Sci 97:6144–6149

    Article  PubMed  CAS  Google Scholar 

  • Chang YM, Rosene DL, Killiany RJ, Mangiamele LA, Luebke JI (2005) Increased action potential firing rates of layer 2/3 pyramidal cells in the prefrontal cortex are significantly related to cognitive performance in aged monkeys. Cereb Cortex 15(4):409–418

    Article  PubMed  Google Scholar 

  • Crair MC, Malenka RC (1995) A critical period for long-term potentiation at thalamocortical synapses. Nature 375(6529):325–328

    Article  PubMed  CAS  Google Scholar 

  • de Lima AD, Gieseler A, Voigt T (2009) Relationship between GABAergic interneurons migration and early neocortical network activity. Dev Neurobiol 69(2–3):105–123

    Article  PubMed  Google Scholar 

  • Di Cristo G, Wu C, Chattopadhyaya B, Ango F, Knott G, Welker E, Svoboda K, Huang ZJ (2004) Subcellular domain-restricted GABAergic innervation in primary visual cortex in the absence of sensory and thalamic inputs. Nat Neurosci 7(11):1184–1186

    Article  PubMed  CAS  Google Scholar 

  • Diamond A (2002) Normal development of prefrontal cortex from birth to young adulthood: cognitive functions, anatomy, and biochemistry. In: Stuss DT, Knight RT (eds) Principles of frontal lobe function. Oxford University Press, New York, pp 466–503

    Chapter  Google Scholar 

  • Douglas RD, Martin KAC (2009) Inhibition in cortical circuits. Curr Biol 19(10):398–402

    Article  CAS  Google Scholar 

  • Dunning DD, Hoover CL, Soltesz I, Smith MA, O’Dowd DK (1999) GABAA receptor-mediated miniature postsynaptic currents and a-subunit expression in developing cortical neurons. J Neurophysiol 82(6):3286–3297

    PubMed  CAS  Google Scholar 

  • Feldman DE (2009) Synaptic mechanisms for plasticity in neocortex. Annu Rev Neurosci 32:33–55

    Article  PubMed  CAS  Google Scholar 

  • Gant JC, Thibault O (2008) Action potential throughput in aged rat hippocampal neurons: regulation by selective forms of hyperpolarization. Neurobiol Aging. doi:10.1016/j.neurobiolaging.2008.02.006

  • Gant JC, Sama MM, Landfield PW, Thibault O (2006) Early and simultaneous emergence of multiple hippocampal biomarkers of aging is mediated by Ca2+-induced Ca2+ release. J Neurosci 26:3482–3490

    Article  PubMed  CAS  Google Scholar 

  • Gibson JR, Beierlein M, Connors BW (2005) Functional properties of electrical synapses between inhibitory interneurons of neocortical layer 4. J Neurophysiol 93:467–480

    Article  PubMed  Google Scholar 

  • Goldberg JH, Tamas G, Yuste R (2003) Ca2+ imaging of mouse neocortical interneurone dendrites: Ia-type K channels control action potential backpropagation. J Physiol 551:49–65

    Article  PubMed  CAS  Google Scholar 

  • Gollisch T, Herz AVM (2004) Input-driven components of spike-frequency adaptation can be unmasked in vivo. J Neurosci 24(34):7435–7444

    Article  PubMed  CAS  Google Scholar 

  • Greer PL, Greenberg ME (2008) From synapse to nucleus: calcium-dependent gene transcription in the control of synapse development and function. Neuron 25:846–860

    Article  CAS  Google Scholar 

  • Halabisky B, Shen F, Huguenard JR, Prince DA (2006) Electrophysiological classification of somatostatin-positive interneurons in mouse sensorimotor cortex. J Neurophysiol 96:834–845

    Article  PubMed  Google Scholar 

  • Holter NI, Zuber N, Bruehl C, Draguhn A (2007) Functional maturation of developing interneurons in the molecular layer of mouse dentate gyrus. Brain Res 1186:56–64

    Article  PubMed  CAS  Google Scholar 

  • Hua T, Li X, He L, Zhou Y, Wang Y, Leventhal AG (2006) Functional degradation of visual cortical cells in old cats. Neurobiol Aging 27(1):155–162

    Article  PubMed  Google Scholar 

  • Kafer C, Glickfeld LL, Vatallah B, Scanzianil M (2007) Supralinear increase of recurrent inhibition during sparse activity in the somatosensory cortex. Nat Neurosci 10(6):743–754

    Article  CAS  Google Scholar 

  • Katz LC, Shatz CJ (1996) Synaptic activity and the construction of cortical circuits. Science 274(5290):1133–1138

    Article  PubMed  CAS  Google Scholar 

  • Kim KT, Park Y (2009) Short-term plasticity of small synaptic vesicle (SSV) and large dense-core vesicle (LDCV) exocytosis. Cell Signal 21:1465–1470

    Article  PubMed  CAS  Google Scholar 

  • Kim HG, Fox K, Connors BW (1995) Properties of excitatory synaptic events in neurons of primary somatosensory cortex of neonatal rats. Cereb Cortex 5:148–157

    Article  PubMed  CAS  Google Scholar 

  • Klueva J, Meis S, Lima AD, Voigt T, Munsch T (2008) Developmental downregulation of GABAergic drive parallels formation of functional synapses in cultured mouse neocortical networks. Dev Neurobiol 68(7):934–949

    Article  PubMed  CAS  Google Scholar 

  • Kobayashi M, Hamada T, Kogo M, Yanagawa Y, Obata K, Kang Y (2008) Developmental profile of GABAA-mediated synaptic transmission in pyramidal cells of the somatosensory cortex. Eur J Neurosci 28:849–861

    Article  PubMed  Google Scholar 

  • Kowianski P, Morys JM, Dziewiatkowski J, Wojcik S, Sidor-Kaczmarek J, Mprys J (2008) NPY-, SOM- and VIP-containing interneurons in postnatal development of the rat claustrum. Brain Res Bull 76:565–571

    Article  PubMed  CAS  Google Scholar 

  • Kress GJ, Mennerick S (2009) Action potential initiation and propagation: upstream influences on neurontransmission. Neuroscience 158:211–222

    Article  PubMed  CAS  Google Scholar 

  • Liu G (2004) Local structural balance and functional interaction of excitatory and inhibitory synapses in hippocampal dendrites. Nat Neurosci 7:373–379

    Article  PubMed  CAS  Google Scholar 

  • Lu JT, Li CY, Zhao JP, Poo MM, Zhang XH (2007) Spike-timing-dependent plasticity of neocortical excitatory synapses on inhibitory interneurons depends on target cell type. J Neurosci 27(36):9711–9720

    Article  PubMed  CAS  Google Scholar 

  • Luebke JI, Chang YM (2007) Effects of aging on the electrophysiological properties of layer 5 pyramidal cells in the monkey preferontal cortex. Neuroscience 150:556–562

    Article  PubMed  CAS  Google Scholar 

  • Luhmann HJ, Prince DA (1991) Postnatal maturation of the GABAergic system in rat neocortex. J Neurophysiol 65:247–263

    PubMed  CAS  Google Scholar 

  • Ma YY, Hu H, Berrebi AS, Mathers PH, Agmon A (2006) Distinct subtypes of somatostatin-containing neocortical interneurons revealed in transgenic mice. J Neurosci 26(19):5069–5082

    Article  PubMed  CAS  Google Scholar 

  • Maccaferri G, Lacaille JC (2003) Interneuron diversity series: hippocampal interneuron classifications—making things as simple as possible, not simpler. Trends Neurosci 26:564–571

    Article  PubMed  CAS  Google Scholar 

  • Marek GJ, Zhang C (2008) Activation of metabotropic glutamate 5 (mGlu5) receptors induces spontaneous excitatory synaptic currents in layer V pyramidal cells of the rat prefrontal cortex. Neurosci Lett 442:239–243

    Article  PubMed  CAS  Google Scholar 

  • Markram H, Wang Y, Tsodyks M (1998) Differential signaling via the same axon of neocortical pyramidal neurons. Neurobiology 95:5323–5328

    CAS  Google Scholar 

  • Markram H, Toledo-Rodriguez M, Wang Y, Gupta A, Silberberg G, Wu C (2004) Interneurons of the neocortical inhibitory system. Nat Rev Neurosci 5:793–807

    Article  PubMed  CAS  Google Scholar 

  • Martina M, Schultz JH, Ehmke H, Monyer H, Jonas P (1998) Functional and molecular differences between voltage-gated K+ channels of fast-spiking interneurons and pyramidal neurons of rat hippocampus. J Neurosci 18(20):8111–8125

    PubMed  CAS  Google Scholar 

  • McGehee DS, Heath MJS, Gelber S, Devay P, Role LW (1995) Nicodine enhancement of fast excitatory synaptic transmission in CNS by presynaptic receptors. Science 269(5231):1692–1696

    Article  PubMed  CAS  Google Scholar 

  • Miles R, Toth K, Gulyas AI, Hajos N, Freund TF (1996) Differences between somatic and dendritic inhibition in the hippocampus. Neuron 16(4):815–823

    Article  PubMed  CAS  Google Scholar 

  • Nakajima K (2007) Control of tangential/non-radial migration of neurons in the developing cerebral cortex. Neurochem Int 51:121–131

    Article  PubMed  CAS  Google Scholar 

  • Owens DF, Liu XL, Kriegstein AR (1999) Changing properties of GABAA receptor-mediated signaling during early neocortical development. J Neurophysiol 82:570–583

    PubMed  CAS  Google Scholar 

  • Pla R, Borrell V, Flames N, Marin O (2006) Layer acquisition by cortical GABAergic interneurons is independent of Reelin signaling. J Neurosci 26:6924–6934

    Article  PubMed  CAS  Google Scholar 

  • Ramoa AS, McCormick DA (1994) Enhanced activation of NMDA receptor responses at the immature retinogeniculate synapse. J Neurosci 14:2098–2105

    PubMed  CAS  Google Scholar 

  • Reyes A, Sakmann B (1999) Developmental switch in the short-term modification of unitary EPSPs evoked in Layer 2/3 and Layer 5 pyramidal neurons of rat neocortex. J Neurosci 19(10):3827–3835

    PubMed  CAS  Google Scholar 

  • Reyes A, Lujan R, Rozov A, Burnashev N, Somogyi P, Sakmann B (1998) Target-cell-specific facilitation and depression in neocortical circuits. Nat Neurosci 1:279–285

    Article  PubMed  CAS  Google Scholar 

  • Speed HE, Dobrunz LE (2008) Developmental decrease in short-term facilitation at schaffer collateral synapses in hippocampus is mGluR1 sensitive. J Neurophysiol 99:799–813

    Article  PubMed  CAS  Google Scholar 

  • Takai Y, Shimizu K, Ohtsuka T (2003) The roles of cadherins and nectins in interneuronal synapse formation. Curr Opin Neurobiol 13:520–526

    Article  PubMed  CAS  Google Scholar 

  • Tamas G, Buhl EH, Somogyi P (1997) Fast IPSPs elicited via multiple synaptic release sites by different types of GABAergic neurone in the cat visual cortex. J Physiol 500:715–738

    PubMed  CAS  Google Scholar 

  • Tombaugh GC, Rowe WB, Rose GM (2005) The slow afterhyperpolarization in hippocampal CA1 neurons covaries with spatial learning ability in aged Fisher 344 rats. J Neurosci 25:2609–2616

    Article  PubMed  CAS  Google Scholar 

  • Tsujimoto S (2008) The prefrontal cortex: functional neural development during early childhood. Neuroscientist 14:345–358

    Article  PubMed  Google Scholar 

  • Vaillend C, Poirier R, Laroche S (2008) Genes, plasticity and mental retardation. Behav Brain Res 192:88–105

    Article  PubMed  CAS  Google Scholar 

  • Walther M, Berweckb S, Schessld J, Linder-Luchta M, Fietzekb UM, Glockerc FX, Heinenb F, Malla V (2009) Maturation of inhibitory and excitatory motor cortex pathways in children. Brain Dev 31(7):562–567

    Article  PubMed  Google Scholar 

  • Wang K, Cui JH, Cai YJ, Wang F, Li Y, Tau WC, Xiang H (2009) Critical roles of voltage-dependent sodium channels in the process of synaptogenesis during the postnatal cortical development of rats. Cell Mol Neurobiol. doi:10.1007/s10571-009-9404-4

  • Xiang ZH, John RH, David AP (2002) Synaptic inhibition of pyramidal cells evoked by different interneuronal subtypes in layer V of rat visual cortex. J Neurophysiol 88:740–750

    PubMed  Google Scholar 

  • Xiang H, Chen HX, Yu XX, King MA, Roper SN (2006) Reduced excitatory drive in interneurons in an animal model of cortical dysplasia. J Neurophysiol 96:569–578

    Article  PubMed  Google Scholar 

  • Xu X, Roby KD, Callaway EM (2006) Mouse cortical inhibitory neuron type that coexpresses somatostatin and calretinin. J Comp Neurol 499(1):144–160

    Article  PubMed  CAS  Google Scholar 

  • Ye GL, Yi S, Gamkrelidze G, Pasternak JF, Trommer BL (2005) AMPA and NMDA receptor-mediated currents in developing dentate gyrus granule cells. Dev Brain Res 155:26–32

    Article  CAS  Google Scholar 

  • Zhang ZW (2004) Maturation of layer V pyramidal neurons in the rat prefrontal cortex: Intrinsic properties and synaptic function. J Neurophysiol 91(3):1171–1182

    Article  PubMed  Google Scholar 

  • Zucker RS (1989) Short-term synaptic plasticity. Annu Rev Neurosci 12:13–31

    Article  PubMed  CAS  Google Scholar 

  • Zucker RS, Regehr WG (2002) Short-term synaptic plasticity. Annu Rev Physiol 64:355–405

    Article  PubMed  CAS  Google Scholar 

Download references

Acknowledgments

This work was supported by Grants from Guangdong Science-Tech Program (No. 2001331004202516, No. 2008B090500028, No. 2007B031400001), and the Science Foundation of Life Sciences School, Sun Yat-sen University.

Author information

Affiliations

Authors

Corresponding author

Correspondence to Hui Xiang.

Rights and permissions

Reprints and Permissions

About this article

Cite this article

Cui, J., Wang, F., Wang, K. et al. GABAergic Signaling Increases Through the Postnatal Development to Provide the Potent Inhibitory Capability for the Maturing Demands of the Prefrontal Cortex. Cell Mol Neurobiol 30, 543–555 (2010). https://doi.org/10.1007/s10571-009-9478-z

Download citation

  • Received:

  • Accepted:

  • Published:

  • Issue Date:

  • DOI: https://doi.org/10.1007/s10571-009-9478-z

Keywords

  • Prefrontal cortex
  • Low-threshold spiking interneurons
  • Action potential
  • Evoked excitatory postsynaptic currents
  • Short-term facilitation
  • Spontaneous postsynaptic currents