Abstract
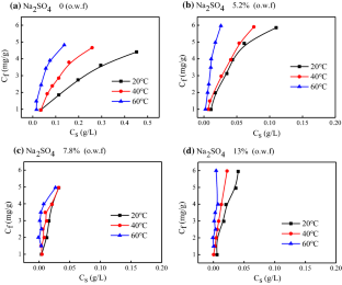
In traditional water-based dyeing system, a large amount of salts and water are consumed and it is hard to treat inorganic salts in dyeing wastewater. From sustainable chemistry and engineering perspectives, a salt-free reactive dyeing system was established and the adsorption kinetic, adsorption isotherm, and the affinity between the dye and the cotton fiber were investigated. Furthermore, the influence of inorganic salts on reactive dye pilot dyeing was also evaluated. The results showed that the concentration of sodium sulfate had little influence on the color depth of dyed fabrics and the fixation of dyes. The adsorption rate of reactive dye would be increased with the increase of sodium sulfate concentration. When the amount of salt was 5.2% (o.w.f), salt had little effect on the K/S value and the level dyeing property of the dyed fabric. However, the maximum of Sγ(λ) value of fabric was increased to + 0.06, which could result in a poor levelness and uneven dyeing when the concentration of salt was 7.8% (o.w.f). The pseudo-second-order kinetic model could best describe the adsorption kinetic of reactive dye in non-aqueous medium dyeing bath. Equilibrium adsorption data was corrected reasonably well by the Freundlich isotherm model. The affinity between cotton fiber and reactive dye was increased if salts were employed during dyeing. These successful investigations of the adsorption of reactive dye explain that salt-free reactive dyeing of cotton fabrics is feasible in non-aqueous medium dyeing bath, which greatly reduces the difficulty of waste water treatment.











Similar content being viewed by others
References
Arslan-Alaton I (2003) A review of the effects of dye‐assisting chemicals on advanced oxidation of reactive dyes in wastewater. Color Technol 119:345–353
Aryee AA, Mpatani FM, Zhang X, Kani AN, Dovi E, Han R, Li Z, Qu L (2020) Iron (III) and iminodiacetic acid f unctionalized magnetic peanut husk for the removal of phosphate from solution: characterization, kinetic and equilibrium studies. J Clean Prod 268:122191
Benli H, Bahtiyari M (2015) Combination of ozone and ultrasound in pretreatment of cotton fabrics prior to natural dyeing. J Clean Prod 89:116–124
Bidu JM, Bruggen B, Rwiza MJ, Njau KN (2021) Current status of textile wastewater management practices and effluent characteristics in Tanzania. Water Sci Technol 83:2363–2376
Bora R, Padmini DT (2020) Study on properties of calotropis cotton blended fabric. J Nat Fibers 1:1–10
Deng Y, Xu M, Zhang Y, Zhou G, Li N, Qiu X (2019) Non-water dyeing process of reactive dyes in two organic solvents with temperature-dependent miscibility. Text Res J 89:3882–3889
Erkanlı M, Yilmaz L, Culfaz-Emecen P, Zeynep, Yetis U (2017) Brackish water recovery from reactive dyeing wastewater via ultrafiltration. J Clean Prod 165:1204–1214
Guo AX, Wang JL (2019) Comparison of linearization methods for modeling the langmuir adsorption isotherm. J Mol Liq 296:111850
Houssain MY, Zhu WJ, Pervez MN, Yang XJ, Sarker S, Hassan MM, Hoque MIU, Naddeo V, Cai YJ (2021) Adsorption, kinetics, and thermodynamic studies of cacao husk extracts in waterless sustainable dyeing of cotton fabric. Cellulose 28:2521–2536
Jeong J, Kwon JH, Lim K, Biswas S, Kim H (2019) Comparative study of triboelectric nanogenerators with differently woven cotton textiles for wearable electronics. Polymers 11:1443
Jóźwiak T, Brym UFS, Zysk M (2020) The use of aminated cotton fifibers as an unconventional sorbent to remove anionic dyes from aqueous solutions. Cellulose 27:3957–3969
Khatri A, White M, Padhye R (2018) Effect of dye solution ionic strength on dyeing of cotton with reactive dyes. Fiber Polym 19:1266–1270
Muhammed N, Govindan N (2020) Chemical modification of cotton cellulose by carbamation with urea and its dyeability with reactive dyes without the use of electrolyte. J Nat Fibers 63:1–17
Pei LJ, Liu JJ, Cai GQ, Wang JP (2017) Study of hydrolytic kinetics of vinyl sulfone reactive dye in siloxane reverse micro-emulsion. Text Res J 87:2638–2378
Pei LJ, Liu JJ, Gu XM, Wang JP (2019) Adsorption kinetic and mechanism of reactive dye on cotton yarns with different wettability in siloxane non-aqueous medium. J Text I 111:1–9
Pei LJ, Luo YN, Saleem MA, Wang JP (2021) Sustainable pilot scale reactive dyeing based on silicone oil for improving dye fixation and reducing discharges. J Clean Prod 279:123831
Rabiei N, Kish MH, Amirshahi SH, Radjabian M (2012) The kinetic and thermodynamic parameters of dyeing of polypropylene/clay composite fibers using disperse dye. Dyes Pigm 94:386–392
Roy A, Chakraborty S, Kundu SP, Adhikari B, Majumder SB (2012) Adsorption of anionic-azo dye from aqueous solution by lignocellulose-biomass jute fiber: equilibrium, kinetics, and thermodynamics study. Ind Eng Chem Res 51:12095–12106
Siddiqua U, Ali H, Hussain S, Iqbal T, Masood M, Nazir A (2020) Application of multifunctional reactive dyes on the cotton fabric and conditions optimization by response surface methodology. J Nat Fibers1–13
Tariq A, Hong F, Ullah KF, Muhammad, Li C (2019) Modified silicone oil types, mechanical properties and applications. Polym Bull 76:2129–2145
Wang L, Ma W, Zhang S, Teng, Yang J (2009) Preparation of cationic cotton with two-bath pad-bake process and its application in salt-free dyeing. Carbohydr Polym 78(3):602–608
Acknowledgments
This work was supported by the National Natural Science Foundation of China (22072089) and Key Research and Development Program of Xinjiang Production and Construction Corps (2019AA001).
Funding
National Natural Science Foundation of China, 22072089, Liujun Pei, Key Research and Development Program of Xinjiang Production and Construction Corps, 2019AA001, Jiping Wang.
Author information
Authors and Affiliations
Corresponding author
Ethics declarations
Conflict of interest
The authors declared that they have no conflicts of interest to this work.
Additional information
Publisher’s note
Springer Nature remains neutral with regard to jurisdictional claims in published maps and institutional affiliations.
Electronic supplementary material
Below is the link to the electronic supplementary material.
Rights and permissions
About this article
Cite this article
Pei, L., Li, H., Shen, J. et al. Salt-free dyeing of cotton fabric and adsorption of reactive dyes in non-aqueous dyeing system: equilibrium, kinetics, and thermodynamics. Cellulose 29, 4753–4765 (2022). https://doi.org/10.1007/s10570-022-04576-9
Received:
Accepted:
Published:
Issue Date:
DOI: https://doi.org/10.1007/s10570-022-04576-9


