Abstract
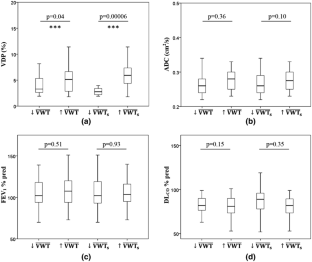
The relationship between carotid disease and modestly abnormal airflow in ex-smokers without chronic obstructive pulmonary disease (COPD) is not well-understood. We generated 3D ultrasound measurements of carotid vessel-wall-plus-plaque thickness (VWT) and vessel wall volume (VWV) to quantify and evaluate such carotid ultrasound measurements in ex- and never-smokers without airflow limitation. These patients did not fulfill the diagnostic criteria for COPD. We also investigated the relationship of carotid atherosclerosis with pulmonary phenotypes of COPD. We evaluated 61 subjects without a clinical diagnosis of pulmonary or vascular diseases including 34 never-smokers (72 ± 6 year) and 27 ex-smokers (73 ± 9 year). We measured mean VWT (\(\overline{VWT}\)) and mean VWT specific to carotid regions-of-interest (\({{\overline{VWT}}_{S}}\)) and evaluated potential differences between ex- and never-smokers. Carotid ultrasound and pulmonary disease measurement relationships were also evaluated using correlation coefficients (r) and multivariate regression analyses. Ex-smokers had a significantly greater \(\overline{VWT}\) (p = 0.003) and \({{\overline{VWT}}_{S}}\) (p < 0.00001) than never-smokers, whereas a significant difference between the two groups was not detected by VWV (p = 1.0). There were significant correlations between the ventilation defect percent (VDP) measured by MRI with \(\overline{VWT}\) (r = 0.42, p = 0.001) and \({{\overline{VWT}}_{S}}\) (r = 0.56, p = 0.00001). Multivariate regression models showed that VDP significantly predicted \(\overline{VWT}\) (β = 0.38, p = 0.004) and \({{\overline{VWT}}_{S}}\) (β = 0.50, p = 0.00001). VWT-based measurements detected differences in vessel-wall-plus-plaque burden in ex- and never-smokers, which were not revealed using VWV. There were significant correlations between cardiovascular and pulmonary disease biomarkers in these ex-smokers who did not have a clinical diagnosis of pulmonary or carotid disease.
This is a preview of subscription content, access via your institution.








References
McDonough JE, Yuan R, Suzuki M, Seyednejad N, Elliott WM, Sanchez PG, Wright AC, Gefter WB, Litzky L, Coxson HO, Pare PD, Sin DD, Pierce RA, Woods JC, McWilliams AM, Mayo JR, Lam SC, Cooper JD, Hogg JC (2011) Small-airway obstruction and emphysema in chronic obstructive pulmonary disease. N Engl J Med 365:1567–1575
Vos T, Flaxman AD, Naghavi M, Lozano R, Michaud C, Ezzati M, Shibuya K, Salomon JA, Abdalla S, Aboyans V, Abraham J, Ackerman I, Aggarwal R, Ahn SY, Ali MK, Alvarado M, Anderson HR, Anderson LM, Andrews KG, Atkinson C (2013) Years lived with disability (YLDs) for 1160 sequelae of 289 diseases and injuries 1990–2010: a systematic analysis for the global burden of disease study 2010. Lancet 380:2163–2196
Zhong N, Wang C, Yao W, Chen P, Kang J, Huang S, Chen B, Wang C, Ni D, Zhou Y, Liu S, Wang X, Wang D, Lu J, Zheng J, Ran P (2007) Prevalence of chronic obstructive pulmonary disease in China: a large, population-based survey. Am J Respir Crit Care Med 176:753–760
Vestbo J, Hurd SS, Agust AG, Jones PW, Vogelmeier C, Anzueto A, Barnes PJ, Fabbri LM, Martinez FJ, Nishimura M, Stockley RA, Sin DD (2013) Global strategy for the diagnosis, management, and prevention of chronic obstructive pulmonary disease: GOLD executive summary. Am J Respir Crit Care Med 187:347–365
Irion KL, Marchiori E, Hochhegger B, Porto Nda S, Moreira Jda S, Anselmi CE, Holemans JA, Irion PO (2009) CT quantification of emphysema in young subjects with no recognizable chest disease. AJR Am J Roentgenol 192:W90–W96
Swift AJ, Wild JM, Fichele S, Woodhouse N, Fleming S, Waterhouse J, Lawson RA, Paley MN, Van Beek EJ (2005) Emphysematous changes and normal variation in smokers and COPD patients using diffusion 3He MRI. Eur J Radiol 54:352–358
Sin DD, Anthonisen N, Soriano J, Agusti AG (2006) Mortality in COPD: role of comorbidities. Eur Respir J 28:1245–1257
CP, DeLuise C, Lanes S, Eisner MD (2005) COPD and incident cardiovascular disease hospitalizations and mortality: Kaiser permanente medical care program. Chest 128:2068–2075
Barr R, Ahmed F, Carr J, Hoffman EA, Jiang R, Kawut SM, Watson K (2012) Subclinical atherosclerosis, airflow obstruction and emphysema: the MESA lung study. Eur Respir J 39:846–854
Chae EJ, Seo JB, Oh YM, Lee JS, Jung Y, LEE SD (2013) Severity of systemic calcified atherosclerosis is associated with airflow limitation and emphysema. J Comput Assist Tomogr 37:743–749
Kim S, Yoon D, Lee E, Hur GY, Jung KH, Lee SY, Shin C, Shim JJ, In KH, Kang KH, Yoo SH, Kim JH (2011) Carotid atherosclerosis in patients with untreated chronic obstructive pulmonary disease. Int J Tuberc Lung Dis 15:1265–1270
Barnett PA, Spence JD, Manuck SB, Jennings S (1997) Psychological stress and the progression of carotid artery disease. J Hypertens 15:49–55
Baldassarre D, Amato M, Bondioli A, Sirtori CR, Tremoli E (2000) Carotid artery intima-media thickness measured by ultrasonography in normal clinical practice correlates well with atherosclerosis risk factors. Stroke 31:2426–2430.
Baldassarre D, Amato M, Pustina L, Castelnuovoa S, Sanvitoa S, Gerosa L, Veglia F, Keidar S, Tremoli E, Sirtori CR (2007) Measurement of carotid artery intima-media thickness in dyslipidemic patients increases the power of traditional risk factors to predict cardiovascular events. Atherosclerosis 191:403–408
Owens G (1989) Control of hypertrophic versus hyperplastic growth of vascular smooth muscle cells. Am J physiol 257:H1755–H1765
Spence JD, Eliasziw M, DiCicco M, Hackam DG, Galil R, Lohmann T (2002) Carotid plaque area: a tool for targeting and evaluating vascular preventive therapy. Stroke 33:2916–2922
Pike D, Lindenmaier TJ, Sin DD, Parraga G (2014) Imaging evidence of the relationship between atherosclerosis and chronic obstructive pulmonary disease. Imaging Med 6:53–73
Pike D, Kirby M, Lindenmaier TJ, Sheikh K, Neron C, Hackam DG, Spence JD, Fenster A, Paterson NA, Sin DD, Coxson HO, McCormack DG, Parraga G (2015) Pulmonary abnormalities and carotid atherosclerosis in ex-smokers without airflow limitation. COPD 12:62–70
Van Eeden S, Leipsic J, Paul Man S, Sin DD (2012) The relationship between lung inflammation and cardiovascular disease. Am J Respir Crit Care Med 186:11–16
Ainsworth CD, Blake CC, Tamayo A, Beletsky V, Fenster A, Spence JD (2005) 3D ultrasound measurement of change in carotid plaque volume: a tool for rapid evaluation of new therapies. Stroke 36:1904–1909
Egger M, Spence JD, Fenster A, Parraga G (2007) Validation of 3D ultrasound vessel wall volume: an imaging phenotype of carotid atherosclerosis. Ultrasound Med Biol 33:905–914
Landry A, Spence JD, Fenster A (2004) Measurement of carotid plaque volume by 3-dimensional ultrasound. Stroke 35:864–869
Krasinski A, Chiu B, Spence JD, Fenster A, Parraga G (2009) Three-dimensional ultrasound quantification of intensive statin treatment of carotid atherosclerosis. Ultrasound Med Biol 35:1763–1772
Mallett C, House AA, Spence JD, Fenster A, Parraga G (2009) Longitudinal ultra-sound evaluation of carotid atherosclerosis in one, two and three dimensions. Ultrasound Med Biol 35:367–375
Shai I, Spence JD, Schwarzfuchs D, Henkin Y, Parraga G, Rudich A, Fenster A, Mallet C, Liel-Cohen N, Tirosh A, Bolotin A, Thiery J, Fiedler GM, Bluher M, Stumvoll M, Stampfer MJ (2010) Dietary intervention to reverse carotid atherosclerosis. Circulation 121:1200–1208
Chiu B, Li B, Chow TWS (2013) Novel 3D ultrasound image-based biomarkers based on a feature selection from a 2D standardized vessel wall thickness map: a tool for sensitive assessment of therapies for carotid atherosclerosis. Phys Med Biol 58:5959–5982
Kirby M, Svenningsen S, Owrangi A, Wheatley A, Farag A, Ouriadov A (2012) Hyperpolarized 3He and 129Xe MR imaging in healthy volunteers and patients with chronic obstructive pulmonary disease. Radiology 265:600–610
Fenster A, Downey DB, Cardinal HN (2001) Three-dimensional ultrasound imaging. Phys Med Biol 46:R67–R99
Egger M, Krasinski A, Rutt BK, Fenster A, Parraga G (2008) Comparison of B-mode ultrasound, 3-dimensional ultrasound, and magnetic resonance imaging measurements of carotid atherosclerosis. J Ultrasound Med 27:1321–1334
Landry A, Fenster A (2002) Theoretical and experimental quantification of carotid plaque volume measurements made by three-dimensional ultrasound using test phantoms. Med Phys 29:2319–2327
Chiu B, Egger M, Spence JD, Parraga G, Fenster A (2008) Quantification of carotid vessel wall and plaque thickness change using 3D ultrasound images. Med Phys 35:3691–3710
Frantz S, Nihln U, Dencker M, Engström G, Löfdahl CG, Wollmer P (2012) Atherosclerotic plaques in the internal carotid artery and associations with lung function assessed by different methods. Clin Physiol Funct Imaging 32:120–125
Zhang S, Hatsukami TS, Polissar NL, Han C, Yuan C (2001) Comparison of carotid vessel wall area measurements using three different contrast-weighted black blood MR imaging techniques. Magn Reson Imaging 19:795–802
Luo Y, Polissar N, Han C, Yarnykh V, Kerwin WS, Hatsukami TS, Yuan C (2003) Accuracy and uniqueness of three in vivo measurements of atherosclerotic carotid plaque morphology with black blood MRI. Magn Reson Med 50:75–82
Touboul PJ, Hennerici MG, Meairs S, Adams H, Amarenco P, Bornstein N, Csiba L, Desvarieux M, Ebrahim S, Hernandez Hernandez R, Jaff M, Kownator S, Naqvi T, Prati P, Rundek T, Sitzer M, Schminke U, Tardif JC, Taylor A, Vicaut E, Woo KS (2007) Mannheim carotid intima-media thickness consensus (2004–2006). An update on behalf of the Advisory Board of the 3rd and 4th Watching the Risk Symposium, 13th and 15th European Stroke Conferences, Mannheim, Germany, 2004, and Brussels, Belgium, 2006. Cerebrovasc Dis 23:75–80
Ukwatta E, Awad J, Ward AD, Buchanan D, Samarabandu J, Parraga G, Fenster A (2011) Three-dimensional ultrasound of carotid atherosclerosis: semiautomated segmentation using a level set-based method. Med Phys 38:2479–2493
Ukwatta E, Yuan J, Buchanan D, Chiu B, Awad J, Qiu W, Parraga G, Fenster A (2013) Three-dimensional segmentation of three-dimensional ultra- sound carotid atherosclerosis using sparse field level sets. Med Phys 40:052903
Chiu B, Ukwatta E, Shavakh S, Fenster A (2013) Quantification and visualization of carotid segmentation accuracy and precision using a 2D standardized carotid map. Phys Med Biol 58:3671–3703
Himburg HA, Friedman MH (2006) Correspondence of low mean shear and high harmonic content in the porcine iliac arteries. J Biomech Eng 128:852–856
Al-Shali K, House AA, Hanley AJ, Khan HM, Harris SB, Mamakeesick M, Zinman B, Fenster A, Spence JD, Hegele RA (2005) Differences between carotid wall morphological phenotypes measured by ultrasound in one, two and three dimensions. Atherosclerosis 178:319–325
Spence JD, Hegele RA (2004) Noninvasive phenotypes of atherosclerosis: similar windows but different views. Stroke 35:649–653
Acknowledgments
Dr. Chiu is grateful for funding support from the Research Grant Council of the HKSAR, China (Project No. CityU 139713) and the National Natural Science Foundation of China (Grant No. 81201149). Dr. Parraga gratefully acknowledges funding from the Canadian Institutes of Health Research Operating grants and New Investigator award as well as the Canadian Respiratory Research Network.
Author information
Authors and Affiliations
Corresponding author
Ethics declarations
Conflict of interest
The authors declare that they have no conflict of interest.
Rights and permissions
About this article
Cite this article
Cheng, J., Pike, D., Chow, T.W.S. et al. Three-dimensional ultrasound measurements of carotid vessel wall and plaque thickness and their relationship with pulmonary abnormalities in ex-smokers without airflow limitation. Int J Cardiovasc Imaging 32, 1391–1402 (2016). https://doi.org/10.1007/s10554-016-0931-z
Received:
Accepted:
Published:
Issue Date:
DOI: https://doi.org/10.1007/s10554-016-0931-z