Skip to main content

Qualitative age interactions (or effect modification) suggest different cancer pathways for early-onset and late-onset breast cancers

Abstract

Background

Prior to 1999–2000, breast cancer incidence rates had risen for decades, though more among older than younger women.

Materials and methods

To further explore the impact of advancing age-at-diagnosis upon breast cancer incidence, we used the National Cancer Institute’s Surveillance, Epidemiology, and End Results (SEER) program (1974–2003).

Results

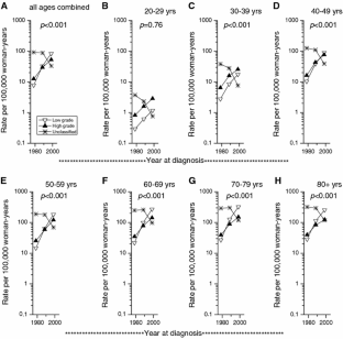
Over time, we observed age interactions by tumor grade, stage, and race. For example, among women ages <40 years, high-grade lesions were more common than low-grade tumors for all time periods. Among women ages 40+ years, high-grade lesions were more common during early time periods then trend lines crossed, after which low-grade tumors were more common than high-grade lesions. Notably, the transition (crossover point) occurred earlier with advancing age-at-diagnosis.

Conclusion

The reversal (crossing) of incidence rates from high to low-grade tumors among women 40+ years is a qualitative age interaction, probably due to changing age-related risk factor and/or screening patterns, where mammography preferentially detected tumors of low malignant potential among older women. Though once thought to be rare or artifactual, qualitative age interactions suggest breast cancer heterogeneity. Indeed, if real, qualitative age interactions (effect modifications) imply different etiologic pathways for early-onset and late-onset types of breast cancer.

This is a preview of subscription content, access via your institution.

Fig. 1
Fig. 2
Fig. 3
Fig. 4

References

  1. Ries LAG, Harkins D, Krapcho M, Mariotto A, Miller BA, Feuer EJ et al (2006) SEER Cancer Statistics Review, 1975–2003, National Cancer Institute, based on November 2005 SEER data submission, posted to the SEER web site, 2006

  2. Howe HL, Wu X, Ries LA, Cokkinides V, Ahmed F, Jemal A et al (2006) Annual report to the nation on the status of cancer, 1975–2003, featuring cancer among U.S. Hispanic/Latino populations. Cancer 107(8):1711–1742

    PubMed  Article  Google Scholar 

  3. Clarke CA, Glaser SL, Uratsu CS, Selby JV, Kushi LH, Herrinton LJ (2006) Recent declines in hormone therapy utilization and breast cancer incidence: clinical and population-based evidence. J Clin Oncol 24(33):e49–e50

    PubMed  Article  Google Scholar 

  4. Jemal A, Siegel R, Ward E, Murray T, Xu J, Thun MJ (2007) Cancer statistics, 2007 CA Cancer. J Clin 57(1):43–66

    Google Scholar 

  5. Ravdin PM, Cronin KA, Howlader N, Berg CD, Chlebowski RT, Feuer EJ et al (2007) The decrease in breast-cancer incidence in 2003 in the United States. N Engl J Med 356(16):1670–1674

    PubMed  Article  CAS  Google Scholar 

  6. Jemal A, Ward E, Thun MJ (2007) Recent trends in breast cancer incidence rates by age and tumor characteristics among U.S. women. Breast Cancer Res 9(3):R28

    PubMed  Article  Google Scholar 

  7. Glass AG, Lacey JV Jr, Carreon JD, Hoover RN (2007) Breast cancer incidence, 1980 2006: combined roles of menopausal hormone therapy, screening mammography, and estrogen receptor status. J Natl Cancer Inst 99(15):1152–1161

    PubMed  Article  Google Scholar 

  8. Anderson WF, Reiner AS, Matsuno RK, Pfeiffer RM (2007) Shifting breast cancer trends in the United States. J Clin Oncol EPub ahead of print

  9. SEER (2006) Surveillance, Epidemiology, and End Results (SEER) Program (http://www.seer.cancer.gov) SEER*Stat Database: Incidence-Connecticut Historical, Aug 1999 Sub (1935–1997), National Cancer Institute, DCCPS, Surveillance Research Program, Cancer Statistics Branch

  10. Fox MS (1979) On the diagnosis and treatment of breast cancer. JAMA 241(5):489–494

    PubMed  Article  CAS  Google Scholar 

  11. Adami H-O (1984) Breast cancer incidence and mortality. Aspects on aetiology, time trends and curability. Acta Chir Scand 519(Suppl):9–14

    CAS  Google Scholar 

  12. Holford TR, Cronin KA, Mariotto AB, Feuer EJ (2006) Chapter4: changing patterns in breast cancer incidence trends. J Natl Cancer Inst Monogr 36:19–25

    PubMed  Google Scholar 

  13. Clemmesen J (1948) Carcinoma of the breast Br J Radiol 21(252):583–590

    Article  PubMed  CAS  Google Scholar 

  14. Lilienfeld AM, Johnson EA (1955) The age distribution in female breast and genital cancers. Cancer 8:875–882

    PubMed  Article  CAS  Google Scholar 

  15. Moolgavkar SH, Lee JA, Hade RD (1978) Comparison of age-specific mortality from breast cancer in males in the United States and Japan. J Natl Cancer Inst 60(6):1223–1225

    PubMed  CAS  Google Scholar 

  16. De Waard F (1979) Premenopausal and postmenopausal breast cancer: one disease or two? J Natl Cancer Inst 63(3):549–552

    PubMed  Google Scholar 

  17. SEER (2006) Surveillance, Epidemiology, and End Results (SEER) Program (http://www.seer.cancer.gov) SEER*Stat Database: Incidence-SEER 9 Regs Public-use, Nov 2004 sub (1973–2003), National Cancer Institute, DCCPS, Surveillance Research Program, Cancer Statistics Branch, released April 2006, based on November 2005 submission

  18. Berg JW, Hutter RV (1995) Breast cancer Cancer 75(1 Suppl):257–269

    PubMed  Article  CAS  Google Scholar 

  19. SEER (2004) ICD-O-3 Coding materials [cited; Available from: http://seer.cancer.gov/icd-o-3/

  20. Tavassoli FA, Devilee P (eds) (2003) Pathology and genetics of tumours of the breast and female genital organs. IARC Press, Lyon

    Google Scholar 

  21. Devesa SS, Donaldson J, Fears T (1995) Graphical presentation of trends in rates. Am J Epidemiol 141(4):300–304

    PubMed  CAS  Article  Google Scholar 

  22. McCullagh P, Nelder JA (1989) Generalized linear models. Chapman and Hall, New York

    Google Scholar 

  23. Anderson WF, Matsuno RK, Sherman ME, Lissowska J, Gail MH, Brinton LA et al (2007) Estimating age-specific breast cancer risks: a descriptive tool to identify age interactions. Cancer Causes Control 18:439–447

    PubMed  Article  Google Scholar 

  24. Gail M, Simon R (1985) Testing for qualitative interactions between treatment effects and patient subsets. Biometrics 41(2):361–372

    PubMed  Article  CAS  Google Scholar 

  25. Anderson WF, Chatterjee N, Ershler WB, Brawley OW (2002) Estrogen receptor breast cancer phenotypes in the surveillance, epidemiology, and end results database. Breast Cancer Res Treat 76(1):27–36

    PubMed  Article  CAS  Google Scholar 

  26. Chu KC, Tarone RE, Kessler LG, Ries LAG, Hankey BF, Miller BA et al (1996) Recent trends in U. S. breast cancer incidence, survival, and mortality rates. J Natl Cancer Inst 88(21):1571–1579

    PubMed  Article  CAS  Google Scholar 

  27. Anderson WF, Jatoi I, Devesa SS (2006) Assessing the impact of screening mammography: breast cancer incidence and mortality rates in Connecticut (1943–2002). Breast Cancer Res Treat 99:333–340

    PubMed  Article  Google Scholar 

  28. Last JM (1995) A dictionary of epidemiology, 3rd edn. Oxford University Press, Oxford

    Google Scholar 

  29. Pike MC, Krailo MD, Henderson BE, Casagrande JT, Hoel DG (1983) ‘Hormonal’ risk factors, ‘breast tissue age’ and the age-incidence of breast cancer. Nature 303(5920):767–770

    PubMed  Article  CAS  Google Scholar 

  30. Colditz GA, Rosner BA (2006) What can be learnt from models of incidence rates? Breast Cancer Res 8(3):208

    PubMed  Article  Google Scholar 

  31. Thomas DB (1993) Breast cancer in men Epidemiol Rev 15(1):220–231

    PubMed  CAS  Google Scholar 

  32. Anderson WF, Matsuno RK (2006) Breast cancer heterogeneity: a mixture of at least two main types? J Natl Cancer Inst 98(14):948–951

    PubMed  CAS  Article  Google Scholar 

  33. Narod SA, Dube MP (2001) Biologic characteristics of interval and screen-detected breast cancers. J Natl Cancer Inst 93(2):151–152

    PubMed  Article  CAS  Google Scholar 

  34. Swan J, Breen N, Coates RJ, Rimer BK, Lee NC (2003) Progress in cancer screening practices in the United States: results from the 2000 National Health Interview Survey. Cancer 97(6):1528–1540

    PubMed  Article  Google Scholar 

  35. Anderson WF, Jatoi I, Devesa SS (2005) Distinct breast cancer incidence and prognostic patterns in the NCI’s SEER program: suggesting a possible link between etiology and outcome. Breast Cancer Res Treat 90(2):127–137

    PubMed  Article  Google Scholar 

  36. Anderson WF, Pfeiffer RM, Dores GM, Sherman ME (2006) Comparison of age frequency distribution patterns for different histopathologic types of breast carcinoma. Cancer Epidemiol Biomarkers Prev 15(10):1899–1905

    PubMed  Article  Google Scholar 

  37. Perou CM, Sorlie T, Eisen MB, van de Rijn M, Jeffrey SS, Rees CA et al (2000) Molecular portraits of human breast tumours. Nature 406(6797):747–752

    PubMed  Article  CAS  Google Scholar 

  38. Sorlie T, Tibshirani R, Parker J, Hastie T, Marron JS, Nobel A et al (2003) Repeated observation of breast tumor subtypes in independent gene expression data sets. Proc Natl Acad Sci U S A 100(14):8418–8423

    PubMed  Article  CAS  Google Scholar 

  39. Burstein HJ (2005) The distinctive nature of HER2-positive breast cancers. N Engl J Med 353(16):1652–1654

    PubMed  Article  CAS  Google Scholar 

  40. Peto R (1982) Statistical aspects of cancer trials. Chapman and Hall, London

    Google Scholar 

  41. Janerich DT, Hoff MB (1982) Evidence for a crossover in breast cancer risk factors. Am J Epidemiol 116(5):737–742

    PubMed  CAS  Google Scholar 

  42. Lubin JH, Burns PE, Blot WJ, Lees AW, May C, Morris LE et al (1982) Risk factors for breast cancer in women in northern Alberta, Canada, as related to age at diagnosis. J Natl Cancer Inst 68(2):211–217

    PubMed  CAS  Google Scholar 

  43. Schedin P (2006) Pregnancy-associated breast cancer and metastasis. Nat Rev Cancer 6(4):281–291

    PubMed  Article  CAS  Google Scholar 

  44. Cleary MP, Maihle NJ (1997) The role of body mass index in the relative risk of developing premenopausal versus postmenopausal breast cancer. Proc Soc Exp Biol Med 216(1):28–43

    PubMed  CAS  Google Scholar 

  45. Colditz GA, Rosner B (2000) Cumulative risk of breast cancer to age 70 years according to risk factor status: data from the Nurses’ health study. Am J Epidemiol 152(10):950–964

    PubMed  Article  CAS  Google Scholar 

  46. Althuis MD, Fergenbaum JH, Garcia-Closas M, Brinton LA, Madigan MP, Sherman ME (2004) Etiology of hormone receptor-defined breast cancer: a systematic review of the literature. Cancer Epidemiol Biomarkers Prev 13(10):1558–1568

    PubMed  CAS  Google Scholar 

  47. Hankey BF, Miller B, Curtis R, Kosary C (1994) Trends in breast cancer in younger women in contrast to older women. J Natl Cancer Inst Monogr 16:7–14

    PubMed  Google Scholar 

  48. Brinton LA, Benichou J, Gammon MD, Brogan DR, Coates R, Schoenberg JB (1997) Ethnicity and variation in breast cancer incidence. Int J Cancer 73(3):349–355

    PubMed  Article  CAS  Google Scholar 

  49. Hilsenbeck SG, Ravdin PM, de Moor CA, Chamness GC, Osborne CK, Clark GM (1998) Time-dependence of hazard ratios for prognostic factors in primary breast cancer. Breast Cancer Res Treat 52:227–237

    PubMed  Article  CAS  Google Scholar 

Download references

Acknowledgments

This research was supported in part by the Intramural Research Program of the NIH/National Cancer Institute.

Author information

Affiliations

Authors

Corresponding author

Correspondence to William F. Anderson.

Rights and permissions

Reprints and Permissions

About this article

Cite this article

Anderson, W.F., Chen, B.E., Brinton, L.A. et al. Qualitative age interactions (or effect modification) suggest different cancer pathways for early-onset and late-onset breast cancers. Cancer Causes Control 18, 1187–1198 (2007). https://doi.org/10.1007/s10552-007-9057-x

Download citation

  • Received:

  • Accepted:

  • Published:

  • Issue Date:

  • DOI: https://doi.org/10.1007/s10552-007-9057-x

Keywords

  • Breast cancer incidence
  • Risk factors
  • Breast cancer etiology
  • SEER
  • Age-at-diagnosis
  • Temporal trends