Abstract
Purpose
Alpelisib is newly-available breast cancer agent that targets PIK3 mutations and confers a somewhat unusual adverse event profile. This study focused on older patients (≥ 65 years of age) treated outside a clinical trial to gain further experience on how these under-studied patients do with this new agent.
Methods
This descriptive, multi-site study relied on medical record review.
Results
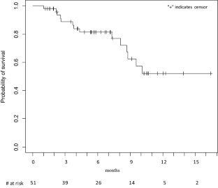
Fifty-one older breast cancer patients were started on alpelisib between May 2019 and September 2020. The median age and number of comorbidities at alpelisib initiation was 71 years and 4, respectively. Thirty-five patients had stopped alpelisib (median time on drug 2.6 months (range: < 1, 9.5 months)) for the following reasons: alpelisib adverse events (n = 15), cancer progression (n = 13), and other/unknown (n = 7). Alpelisib adverse events included hyperglycemia (n = 37), diarrhea (n = 23), rash (n = 19), fatigue (n = 12), and mouth sores (n = 7); (numbers in parentheses indicate the number of patients with at least one such event). Five patients were hospitalized for hyperglycemia. At the time of report, 14 patients were deceased, and median survival had not been reached.
Conclusion
Older patients might derive further benefit from alpelisib if the adverse event profile of this agent, particularly the hyperglycemia, were able to be better managed.



Data availability
All data generated or analyzed during this study are available from the corresponding author on reasonable request.
Code availability
Software code is not applicable.
References
André F, Ciruelos E, Rubovszky G, et al (2019) SOLAR-1 study group. alpelisib for pik3ca-mutated, hormone receptor-positive advanced breast cancer. N Engl J Med 380(20):1929–1940. https://doi.org/10.1056/NEJMoa1813904
O’Connor T, Shinde A, Doan C et al (2013) Managing breast cancer in the older patient. Clin Adv Hematol Oncol 11:341–347
Rugo HS, Andre F, Yamashita T et al (2020) Time course and management of key adverse events during the randomized phase III SOLAR-1 study of PI3K inhibitor alpelisib plus fulvestrant in patients with HR-positive advanced breast cancer. Ann Oncol 31:P1001-1010
Ohno S, Mukai H, Narui K, Hozumi Y, Miyoshi Y, Yoshino H, Doihara H, Suto A, Tamura M, Morimoto T, Zaha H, Chishima T, Nishimura R, Ishikawa T, Uemura Y, Ohashi Y (2019) Participants in a randomized controlled trial had longer overall survival than non-participants: a prospective cohort study. Breast Cancer Res Treat 176:631–635
Zaorsky NG, Zhang Y, Walter V, Tchelebi LT, Chinchilli VM, Gusani NJ (2019) Clinical trial accrual at initial course of therapy for cancer and its impact on survival. JNCCN J Natl Compr Cancer Netw 17:1309–1316
Hopkins BD, Pauli C, Du X et al (2018) Suppression of insulin feedback enhances the efficacy of PI3K inhibitors. Nature 560:499–503
Funding
Dr. Aminah Jatoi is the Betty J. Foust, M.D. and Parents’ Professor.
Author information
Authors and Affiliations
Contributions
All authors contributed equally to this work.
Corresponding author
Ethics declarations
Conflict of interest
The authors have no conflicts of interest to declare.
Ethical approval
IRB# 20–010444.
Consent to participate
Consent was not required.
Consent for publication
Consent was not required.
Additional information
Publisher's Note
Springer Nature remains neutral with regard to jurisdictional claims in published maps and institutional affiliations.
Rights and permissions
About this article
Cite this article
Almodallal, Y., Le-Rademacher, J.G., Cook, K.D. et al. Observations with alpelisib in older patients (≥ 65 year of age) with breast cancer in a non-clinical trial setting. Breast Cancer Res Treat 188, 15–20 (2021). https://doi.org/10.1007/s10549-021-06277-6
Received:
Accepted:
Published:
Issue Date:
DOI: https://doi.org/10.1007/s10549-021-06277-6