Skip to main content

Adjuvant endocrine therapy for breast cancer patients: impact of a health system outreach program to improve adherence

Abstract

Purpose

Reports suggest that up to 50% of women with hormone receptor-positive (HR+) breast cancer (BC) do not complete the recommended 5 years of adjuvant endocrine therapy (AET). We examined the impact of an outreach program at Kaiser Permanente Northern California (KPNC) on adherence and discontinuation of AET among patients who initiated AET.

Methods

We assembled a retrospective cohort of all KPNC patients diagnosed with HR+, stage I–III BC initiating AET before (n = 4287) and after (n = 3580) implementation of the outreach program. We compared adherence proportions and discontinuation rates before and after program implementation, both crude and adjusted for age, race/ethnicity, education, income, and stage. We conducted a pooled analysis of data from six Cancer Research Network (CRN) sites that had not implemented programs for improving AET adherence, using identical methods and time periods, to assess possible secular trends.

Results

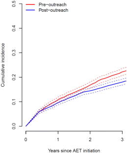
In the pre-outreach period, estimated adherence in years 1, 2, and 3 following AET initiation was 75.2%, 71.0%, and 67.3%; following the outreach program, the estimates were 79.4%, 75.6%, and 72.2% (p-values < .0001 for pairwise comparisons). Results were comparable after adjusting for clinical and demographic factors. The estimated cumulative incidence of discontinuation was 0.22 (0.21–0.24) and 0.18 (0.17–0.19) at 3 years for pre- and post-outreach groups (p-value < .0001). We found no evidence of an increase in adherence between the study periods at the CRN sites with no AET adherence program.

Conclusion

Adherence and discontinuation after AET initiation improved modestly following implementation of the outreach program.

This is a preview of subscription content, access via your institution.

Fig. 1
Fig. 2
Fig. 3

References:s

  1. Siegel RL, Miller KD, Jemal A (2017) Cancer Statistics, 2017. CA Cancer J Clin 67:7–30

    Article  Google Scholar 

  2. Burstein HJ, Temin S, Anderson H et al (2014) Adjuvant endocrine therapy for women with hormone receptor-positive breast cancer: american society of clinical oncology clinical practice guideline focused update. J Clin Oncol 32:2255–2269

    Article  Google Scholar 

  3. Group EBCTC (2015) Aromatase inhibitors versus tamoxifen in early breast cancer: patient-level meta-analysis of the randomised trials. Lancet 386:1341–1352

    Article  Google Scholar 

  4. Chlebowski RT, Kim J, Haque R (2014) Adherence to endocrine therapy in breast cancer adjuvant and prevention settings. Cancer Prev Res (Phila) 7:378–387

    CAS  Article  Google Scholar 

  5. Hershman DL, Kushi LH, Shao T et al (2010) Early discontinuation and nonadherence to adjuvant hormonal therapy in a cohort of 8,769 early-stage breast cancer patients. J Clin Oncol 28:4120–4128

    Article  Google Scholar 

  6. Hershman DL, Shao T, Kushi LH et al (2011) Early discontinuation and non-adherence to adjuvant hormonal therapy are associated with increased mortality in women with breast cancer. Breast Cancer Res Treat 126:529–537

    CAS  Article  Google Scholar 

  7. Gordon N (2015) Similarity of the Adult Kaiser Permanente Membership in Northern California to the Insured and General Population in Northern California: Statistics from the 2011 California Health Interview Survey. Kaiser Permanente Division of Research, Oakland, p 15

    Google Scholar 

  8. Raebel MA, Schmittdiel J, Karter AJ et al (2013) Standardizing terminology and definitions of medication adherence and persistence in research employing electronic databases. Med Care 51:S11–21

    Article  Google Scholar 

  9. Ross TR, Ng D, Brown JS et al (2014) The HMO Research Network Virtual Data Warehouse: A Public Data Model to Support Collaboration. EGEMS (Wash DC) 2:1049

    Google Scholar 

  10. Wagner EH, Greene SM, Hart G et al (2005) Building a research consortium of large health systems: the Cancer Research Network. J Natl Cancer Inst Monogr 35(3):11

    Google Scholar 

  11. Chubak J, Ziebell R, Greenlee RT et al (2016) The Cancer Research Network: a platform for epidemiologic and health services research on cancer prevention, care, and outcomes in large, stable populations. Cancer Causes Control 27:1315–1323

    Article  Google Scholar 

  12. Goetz MP, Ingle J (2007) Early discontinuation of tamoxifen: a lesson for oncologists. Cancer 110(11):2595–2596

    Article  Google Scholar 

  13. Fine JP, Gray RJ (1999) A proportional hazards model for the subdistribution of a competing risk. J Am Stat Assoc 94:496–509

    Article  Google Scholar 

  14. Smith SG, Sestak I, Howell A et al (2017) Participant-reported symptoms and their effect on long-term adherence in the International Breast Cancer Intervention Study I (IBIS I). J Clin Oncol 35:2666–2673

    CAS  Article  Google Scholar 

  15. Van Liew JR, Christensen AJ, de Moor JS (2014) Psychosocial factors in adjuvant hormone therapy for breast cancer: an emerging context for adherence research. J Cancer Surviv 8:521–531

    Article  Google Scholar 

  16. Moon Z, Hunter MS, Moss-Morris R et al (2017) Factors related to the experience of menopausal symptoms in women prescribed tamoxifen. J Psychosom Obstet Gynaecol 38:226–235

    Article  Google Scholar 

  17. Kim DH, Uno H, Wei LJ (2017) Restricted mean survival time as a measure to interpret clinical trial results. JAMA Cardiol 2:1179–1180

    Article  Google Scholar 

  18. Luckmann R, Costanza ME, White MJ et al (2019) A 4-year randomized trial comparing three outreach interventions to promote screening mammograms. Transl Behav Med 9:328–335

    Article  Google Scholar 

  19. Mougalian SS, Epstein LN, Jhaveri AP et al (2017) Bidirectional text messaging to monitor endocrine therapy adherence and patient-reported outcomes in breast cancer. JCO Clin Cancer Inform 1:1–10

    Article  Google Scholar 

  20. Wen K-Y, Goldstein LJ, Smith R et al (2019) Mobile text messaging to improve adjuvant hormone therapy and side effect management among breast cancer patients: A pilot RCT. J Clin Oncol 37:e23061–e23061

    Article  Google Scholar 

Download references

Acknowledgements

The authors would like to thank Dr. Eva S. Thomas from KPNC Medical Oncology, and Karin Luikart, RN MSN, Jane Bethard-Tracy and Mary Callahan, and RN MPH from the KPNC Breast Cancer Tracking System for their involvement in the project; Michelle Ross at the KPNC Division of Research (DOR) for her help with manuscript editing, formatting, and the submission process; Lisa Moy at DOR for administrative support; Dr. Jessica Chubak at Kaiser Permanente Washington Health Research Institute for reviewing the manuscript; and the following CRN collaborators for contributing data to this study: Monica Fuji and Rebecca Ziebell at Kaiser Permanente Washington Health Research Institute, Dr. Stacey Honda (Hawaii Permanente Medical Group) and team at Kaiser Permanente Hawaii Center for Health Research, Dr. Robert Greenlee and team at Marshfield Clinic Research Institute, and the reviewers for critical and helpful feedback.

Funding

The study was funded by Kaiser Permanente Northern California Community Benefit program and by the Cancer Research Network (U24 CA171524, L. Kushi, PI).

Author information

Affiliations

Authors

Corresponding author

Correspondence to Catherine Lee.

Ethics declarations

Conflict of interest

The authors declare that they have no conflict of interest.

Ethical approval

This article does not contain any studies with human participants performed by any of the authors.

Additional information

Publisher's Note

Springer Nature remains neutral with regard to jurisdictional claims in published maps and institutional affiliations.

Electronic supplementary material

Below is the link to the electronic supplementary material.

Electronic supplementary material 1 (DOCX 269 kb)

Rights and permissions

Reprints and Permissions

About this article

Verify currency and authenticity via CrossMark

Cite this article

Lee, C., Check, D.K., Manace Brenman, L. et al. Adjuvant endocrine therapy for breast cancer patients: impact of a health system outreach program to improve adherence. Breast Cancer Res Treat 180, 219–226 (2020). https://doi.org/10.1007/s10549-020-05539-z

Download citation

  • Received:

  • Accepted:

  • Published:

  • Issue Date:

  • DOI: https://doi.org/10.1007/s10549-020-05539-z

Keywords

  • Breast cancer
  • Adjuvant endocrine therapy
  • Adherence
  • Discontinuation
  • Outreach
  • Intervention