Skip to main content

ERK1/2 is related to oestrogen receptor and predicts outcome in hormone-treated breast cancer

Abstract

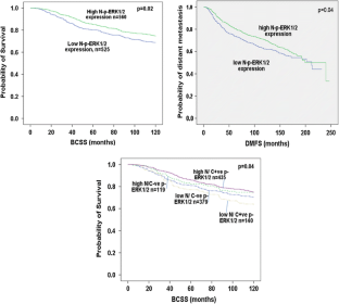
The extracellular-regulated kinase (ERK) 1/2 is one of the members of the mitogen-activated protein kinases (MAPKs). MAPKs are transduction proteins that play a role in controlling diverse cellular functions including proliferation and survival. In breast cancer (BC), MAPKs are involved in oestrogen receptor (ER) and HER2 pathways. This study aims to assess the biological and clinical significance of ERK1/2 protein expression in BC. Immunohistochemistry was used to assess the expression of both total (ERK1/2) and phospholyated (p ERK1/2) ERK1/2 proteins in a large and well-characterised series of early stage BC (n = 1300) using tissue microarray technology. ERK1/2 expression was cytoplasmic, while p-ERK1/2 was observed in the nucleus (N-p-ERK1/2) and/or cytoplasm (C-p-ERK1/2). Both ERK1/2 and p-ERK1/2 were positiviely associated with markers of good prognosis including smaller size, lower grade, expression of hormone receptor and ER-related proteins and negatively associated with HER2, HER4, KI67 and p53. Outcome analysis showed an association between N-p-ERK1/2 and better outcome. In tamoxifen-treated cases, ERK1/2 expression was an independent prognostic marker of longer survival. ERK1/2 and p-ERK1/2 were associated with good prognosis. Importantly, positivity of ERK1/2 is independently associated with better outcome in tamoxifen-treated cases.

This is a preview of subscription content, access via your institution.

Fig. 1
Fig. 2
Fig. 3
Fig. 4
Fig. 5

References

  1. Tran P, Fentiman IS (2009) Better treatment for breast cancer in older patients. Expert Rev Anticancer Ther 9(8):1081–1090

    Article  PubMed  Google Scholar 

  2. Shannon AM, Telfer BA, Smith PD, Babur M, Logie A, Wilkinson RW, Debray C, Stratford IJ, Williams KJ, Wedge SR (2009) The mitogen-activated protein/extracellular signal-regulated kinase kinase 1/2 inhibitor AZD6244 (ARRY-142886) enhances the radiation responsiveness of lung and colorectal tumor xenografts. Clin Cancer Res 15(21):6619–6629

    Article  CAS  PubMed  Google Scholar 

  3. Roskoski R Jr (2012) ERK1/2 MAP kinases: structure, function, and regulation. Pharmacol Res 66(2):105–143

    Article  CAS  PubMed  Google Scholar 

  4. Brunet A, Roux D, Lenormand P, Dowd S, Keyse S, Pouyssegur J (1999) Nuclear translocation of p42/p44 mitogen-activated protein kinase is required for growth factor-induced gene expression and cell cycle entry. EMBO J 18(3):664–674

    Article  PubMed Central  CAS  PubMed  Google Scholar 

  5. Katz M, Amit I, Yarden Y (2007) Regulation of MAPKs by growth factors and receptor tyrosine kinases. Biochim Biophys Acta 1773(8):1161–1176

    Article  PubMed Central  CAS  PubMed  Google Scholar 

  6. Schiff R, Massarweh SA, Shou J, Bharwani L, Mohsin SK, Osborne CK (2004) Cross-talk between estrogen receptor and growth factor pathways as a molecular target for overcoming endocrine resistance. Clin Cancer Res 10(1 Pt 2):331S–336S

    Article  CAS  PubMed  Google Scholar 

  7. McCubrey JA, Steelman LS, Chappell WH, Abrams SL, Wong EW, Chang F, Lehmann B, Terrian DM, Milella M, Tafuri A et al (2007) Roles of the Raf/MEK/ERK pathway in cell growth, malignant transformation and drug resistance. Biochim Biophys Acta 1773(8):1263–1284

    Article  PubMed Central  CAS  PubMed  Google Scholar 

  8. English JM, Vanderbilt CA, Xu S, Marcus S, Cobb MH (1995) Isolation of MEK5 and differential expression of alternatively spliced forms. J Biol Chem 270(48):28897–28902

    Article  CAS  PubMed  Google Scholar 

  9. Kato S, Endoh H, Masuhiro Y, Kitamoto T, Uchiyama S, Sasaki H, Masushige S, Gotoh Y, Nishida E, Kawashima H et al (1995) Activation of the estrogen receptor through phosphorylation by mitogen-activated protein kinase. Science 270(5241):1491–1494

    Article  CAS  PubMed  Google Scholar 

  10. Bunone G, Briand PA, Miksicek RJ, Picard D (1996) Activation of the unliganded estrogen receptor by EGF involves the MAP kinase pathway and direct phosphorylation. EMBO J 15(9):2174–2183

    PubMed Central  CAS  PubMed  Google Scholar 

  11. Pietras RJ, Arboleda J, Reese DM, Wongvipat N, Pegram MD, Ramos L, Gorman CM, Parker MG, Sliwkowski MX, Slamon DJ (1995) HER-2 tyrosine kinase pathway targets estrogen receptor and promotes hormone-independent growth in human breast cancer cells. Oncogene 10(12):2435–2446

    CAS  PubMed  Google Scholar 

  12. Santen RJ, Song RX, McPherson R, Kumar R, Adam L, Jeng MH, Yue W (2002) The role of mitogen-activated protein (MAP) kinase in breast cancer. J Steroid Biochem Mol Biol 80(2):239–256

    Article  CAS  PubMed  Google Scholar 

  13. Milde-Langosch K, Bamberger AM, Rieck G, Grund D, Hemminger G, Muller V, Loning T (2005) Expression and prognostic relevance of activated extracellular-regulated kinases (ERK1/2) in breast cancer. Br J Cancer 92(12):2206–2215

    Article  PubMed Central  CAS  PubMed  Google Scholar 

  14. Cagnol S, Chambard JC (2010) ERK and cell death: mechanisms of ERK-induced cell death–apoptosis, autophagy and senescence. FEBS J 277(1):2–21

    Article  CAS  PubMed  Google Scholar 

  15. Subramaniam S, Unsicker K (2010) ERK and cell death: eRK1/2 in neuronal death. FEBS J 277(1):22–29

    Article  CAS  PubMed  Google Scholar 

  16. Courtois-Cox S, Genther Williams SM, Reczek EE, Johnson BW, McGillicuddy LT, Johannessen CM, Hollstein PE, MacCollin M, Cichowski K (2006) A negative feedback signaling network underlies oncogene-induced senescence. Cancer Cell 10(6):459–472

    Article  PubMed Central  CAS  PubMed  Google Scholar 

  17. Mebratu Y, Tesfaigzi Y (2009) How ERK1/2 activation controls cell proliferation and cell death: is subcellular localization the answer? Cell Cycle 8(8):1168–1175

    Article  PubMed Central  CAS  PubMed  Google Scholar 

  18. McShane LM, Altman DG, Sauerbrei W, Taube SE, Gion M, Clark GM (2006) REporting recommendations for tumor MARKer prognostic studies (REMARK). Breast Cancer Res Treat 100(2):229–235

    Article  PubMed  Google Scholar 

  19. Rakha EA, El-Sayed ME, Powe DG, Green AR, Habashy H, Grainge MJ, Robertson JF, Blamey R, Gee J, Nicholson RI et al (2008) Invasive lobular carcinoma of the breast: response to hormonal therapy and outcomes. Eur J Cancer 44(1):73–83

    Article  PubMed  Google Scholar 

  20. Abd El-Rehim DM, Ball G, Pinder SE, Rakha E, Paish C, Robertson JF, Macmillan D, Blamey RW, Ellis IO (2005) High-throughput protein expression analysis using tissue microarray technology of a large well-characterised series identifies biologically distinct classes of breast cancer confirming recent cDNA expression analyses. Int J Cancer 116(3):340–350

    Article  CAS  PubMed  Google Scholar 

  21. Rakha EA, El-Sayed ME, Green AR, Lee AH, Robertson JF, Ellis IO (2007) Prognostic markers in triple-negative breast cancer. Cancer 109(1):25–32

    Article  CAS  PubMed  Google Scholar 

  22. Rakha EA, Elsheikh SE, Aleskandarany MA, Habashi HO, Green AR, Powe DG, El-Sayed ME, Benhasouna A, Brunet JS, Akslen LA et al (2009) Triple-negative breast cancer: distinguishing between basal and nonbasal subtypes. Clin Cancer Res 15(7):2302–2310

    Article  CAS  PubMed  Google Scholar 

  23. Habashy HO, Rakha EA, Aleskandarany M, Ahmed MA, Green AR, Ellis IO, Powe DG (2011) FOXO3a nuclear localisation is associated with good prognosis in luminal-like breast cancer. Breast Cancer Res Treat 129(1):11–21

    Article  CAS  PubMed  Google Scholar 

  24. Camp RL, Dolled-Filhart M, Rimm DL (2004) X-tile: a new bio-informatics tool for biomarker assessment and outcome-based cut-point optimization. Clin Cancer Res 10(21):7252–7259

    Article  CAS  PubMed  Google Scholar 

  25. Oh AS, Lorant LA, Holloway JN, Miller DL, Kern FG, El-Ashry D (2001) Hyperactivation of MAPK induces loss of ERalpha expression in breast cancer cells. Mol Endocrinol 15(8):1344–1359

    CAS  PubMed  Google Scholar 

  26. Brinkman JA, El-Ashry D (2009) ER re-expression and re-sensitization to endocrine therapies in ER-negative breast cancers. J Mammary Gland Biol Neoplasia 14(1):67–78

    Article  PubMed  Google Scholar 

  27. Nakopoulou L, Mylona E, Rafailidis P, Alexandrou P, Giannopoulou I, Keramopoulos A (2005) Effect of different ERK2 protein localizations on prognosis of patients with invasive breast carcinoma. APMIS 113(10):693–701

    Article  CAS  PubMed  Google Scholar 

  28. Serrano M, Lin AW, McCurrach ME, Beach D, Lowe SW (1997) Oncogenic ras provokes premature cell senescence associated with accumulation of p53 and p16INK4a. Cell 88(5):593–602

    Article  CAS  PubMed  Google Scholar 

  29. Zhu J, Woods D, McMahon M, Bishop JM (1998) Senescence of human fibroblasts induced by oncogenic raf. Genes Dev 12(19):2997–3007

    Article  PubMed Central  CAS  PubMed  Google Scholar 

  30. Olsen CL, Gardie B, Yaswen P, Stampfer MR (2002) Raf-1-induced growth arrest in human mammary epithelial cells is p16-independent and is overcome in immortal cells during conversion. Oncogene 21(41):6328–6339

    Article  CAS  PubMed  Google Scholar 

  31. Braig M, Lee S, Loddenkemper C, Rudolph C, Peters AH, Schlegelberger B, Stein H, Dorken B, Jenuwein T, Schmitt CA (2005) Oncogene-induced senescence as an initial barrier in lymphoma development. Nature 436(7051):660–665

    Article  CAS  PubMed  Google Scholar 

  32. Michaloglou C, Vredeveld LC, Soengas MS, Denoyelle C, Kuilman T, van der Horst CM, Majoor DM, Shay JW, Mooi WJ, Peeper DS (2005) BRAFE600-associated senescence-like cell cycle arrest of human naevi. Nature 436(7051):720–724

    Article  CAS  PubMed  Google Scholar 

  33. Kumagai Y, Naoki H, Nakasyo E, Kamioka Y, Kiyokawa E, Matsuda M: Heterogeneity in ERK activity as visualized by in vivo FRET imaging of mammary tumor cells developed in MMTV-Neu mice. Oncogene 2014

  34. Adeyinka A, Nui Y, Cherlet T, Snell L, Watson PH, Murphy LC (2002) Activated mitogen-activated protein kinase expression during human breast tumorigenesis and breast cancer progression. Clin Cancer Res 8(6):1747–1753

    CAS  PubMed  Google Scholar 

  35. Pearson G, Robinson F, Beers Gibson T, Xu BE, Karandikar M, Berman K, Cobb MH (2001) Mitogen-activated protein (MAP) kinase pathways: regulation and physiological functions. Endocr Rev 22(2):153–183

    CAS  PubMed  Google Scholar 

  36. Kolch W (2005) Coordinating ERK/MAPK signalling through scaffolds and inhibitors. Nat Rev Mol Cell Biol 6(11):827–837

    Article  CAS  PubMed  Google Scholar 

  37. Harding A, Tian T, Westbury E, Frische E, Hancock JF (2005) Subcellular localization determines MAP kinase signal output. Curr Biol 15(9):869–873

    Article  CAS  PubMed  Google Scholar 

  38. Kholodenko BN, Hancock JF, Kolch W (2010) Signalling ballet in space and time. Nat Rev Mol Cell Biol 11(6):414–426

    Article  PubMed Central  CAS  PubMed  Google Scholar 

  39. Ebisuya M, Kondoh K, Nishida E (2005) The duration, magnitude and compartmentalization of ERK MAP kinase activity: mechanisms for providing signaling specificity. J Cell Sci 118(Pt 14):2997–3002

    Article  CAS  PubMed  Google Scholar 

  40. Shankaran H, Wiley HS (2010) Oscillatory dynamics of the extracellular signal-regulated kinase pathway. Curr Opin Genet Dev 20(6):650–655

    Article  CAS  PubMed  Google Scholar 

  41. Sivaraman VS, Wang H, Nuovo GJ, Malbon CC (1997) Hyperexpression of mitogen-activated protein kinase in human breast cancer. J Clin Invest 99(7):1478–1483

    Article  PubMed Central  CAS  PubMed  Google Scholar 

  42. Salh B, Marotta A, Matthewson C, Ahluwalia M, Flint J, Owen D, Pelech S (1999) Investigation of the Mek-MAP kinase-Rsk pathway in human breast cancer. Anticancer Res 19(1b):731–740

    CAS  PubMed  Google Scholar 

  43. Pages G, Milanini J (2000) Richard DE, Berra E, Gothie E, Vinals F, Pouyssegur J: signaling angiogenesis via p42/p44 MAP kinase cascade. Ann NY Acad Sci 902:187–200

    Article  CAS  PubMed  Google Scholar 

  44. Joslin EJ, Opresko LK, Wells A, Wiley HS, Lauffenburger DA (2007) EGF-receptor-mediated mammary epithelial cell migration is driven by sustained ERK signaling from autocrine stimulation. J Cell Sci 120(Pt 20):3688–3699

    Article  CAS  PubMed  Google Scholar 

  45. Price DJ, Avraham S, Feuerstein J, Fu Y, Avraham HK (2002) The invasive phenotype in HMT-3522 cells requires increased EGF receptor signaling through both PI 3-kinase and ERK 1,2 pathways. Cell Commun Adhes 9(2):87–102

    Article  CAS  PubMed  Google Scholar 

  46. Busch S, Ryden L, Stal O, Jirstrom K, Landberg G (2012) Low ERK phosphorylation in cancer-associated fibroblasts is associated with tamoxifen resistance in pre-menopausal breast cancer. PLoS ONE 7(9):e45669

    Article  PubMed Central  CAS  PubMed  Google Scholar 

Download references

Acknowledgments

Dena A Jerjees is funded by the higher committee of educational development in Iraq.

Conflict of interest

None.

Ethical standards

This study was approved by the Nottingham Research Ethics Committee.

Author information

Affiliations

Authors

Corresponding author

Correspondence to Dena A. Jerjees.

Rights and permissions

Reprints and Permissions

About this article

Verify currency and authenticity via CrossMark

Cite this article

Jerjees, D.A., Alabdullah, M., Alkaabi, M. et al. ERK1/2 is related to oestrogen receptor and predicts outcome in hormone-treated breast cancer. Breast Cancer Res Treat 147, 25–37 (2014). https://doi.org/10.1007/s10549-014-3066-8

Download citation

  • Received:

  • Accepted:

  • Published:

  • Issue Date:

  • DOI: https://doi.org/10.1007/s10549-014-3066-8

Keywords

  • Breast carcinoma
  • Molecular features
  • MAPK/ERK pathway
  • Immunohistochemistry