Skip to main content

Breast tenderness and breast cancer risk in the estrogen plus progestin and estrogen-alone women’s health initiative clinical trials

Abstract

The associations between breast tenderness during use of conjugated equine estrogen (CEE) therapy with or without medroxyprogesterone (MPA) therapy and subsequent breast cancer risk are unknown. We analyzed data from the Women’s Health Initiative Estrogen plus Progestin (N = 16,608, 5.6 years intervention) and estrogen-alone (N = 10,739, 6.8 years intervention) clinical trials until trial close-out (Spring 2005). At baseline and annually, participants underwent mammography and clinical breast exam. Self-reported breast tenderness was assessed at baseline and 12 months. Invasive breast cancer was confirmed by medical record review. The risk of new-onset breast tenderness after 12 months was significantly higher among women assigned to active therapy than placebo (CEE-alone vs. placebo risk ratio [RR] 2.15, 95% confidence interval [CI] 1.97–2.35; CEE + MPA vs. placebo RR 3.07, 95% CI 2.85–3.30). CEE + MPA doubled the risk of invasive breast cancer among women with baseline breast tenderness (hazard ratio [HR] 2.16, 95% CI 1.29–3.74), but had a smaller effect among women without baseline breast tenderness (HR 1.17; 95% CI 0.97–1.41). New-onset breast tenderness was associated with a higher risk of breast cancer among women assigned to CEE + MPA (HR 1.33, 95% CI 1.02–1.72, P = 0.03), but not among women assigned to CEE-alone (HR 0.98, 95% CI 0.62–1.53). New-onset breast tenderness during use of CEE + MPA was associated with increased subsequent breast cancer risk. The association of CEE + MPA therapy with increased breast cancer risk was especially pronounced among women with baseline breast tenderness.

This is a preview of subscription content, access via your institution.

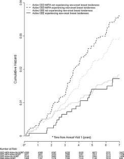
Fig. 1

References

  1. Brunner RL, Aragaki A, Barnabei V, Cochrane BB, Gass M, Hendrix S, Lane D, Ockene J, Woods NF, Yasmeen S, Stefanick M (2010) Menopausal symptom experience before and after stopping estrogen therapy in the women’s health initiative randomized, placebo-controlled trial. Menopause. doi:10.1097/gme.0b013e3181d76953

  2. Crandall CJ, Karlamangla A, Huang MH, Ursin G, Guan M, Greendale GA (2006) Association of new-onset breast discomfort with an increase in mammographic density during hormone therapy. Arch Intern Med 166(15):1578–1584

    PubMed  Article  CAS  Google Scholar 

  3. Utian WH, Shoupe D, Bachmann G, Pinkerton JV, Pickar JH (2001) Relief of vasomotor symptoms and vaginal atrophy with lower doses of conjugated equine estrogens and medroxyprogesterone acetate. Fertil Steril 75(6):1065–1079

    PubMed  Article  CAS  Google Scholar 

  4. Huber J, Palacios S, Berglund L, Hanggi W, Sathanandan SM, Christau S, Helmond F (2002) Effects of tibolone and continuous combined hormone replacement therapy on bleeding rates, quality of life and tolerability in postmenopausal women. BJOG 109(8):886–893

    PubMed  Article  CAS  Google Scholar 

  5. Welton AJ, Vickers MR, Kim J, Ford D, Lawton BA, MacLennan AH, Meredith SK, Martin J, Meade TW (2008) Health related quality of life after combined hormone replacement therapy: randomised controlled trial. Br Med J 337:a1190

    Article  Google Scholar 

  6. Barnabei VM, Cochrane BB, Aragaki AK, Nygaard I, Williams RS, McGovern PG, Young RL, Wells EC, O’Sullivan MJ, Chen B, Schenken R, Johnson SR (2005) Menopausal symptoms and treatment-related effects of estrogen and progestin in the women’s health initiative. Obstet Gynecol 105(5 Pt 1):1063–1073

    PubMed  Article  CAS  Google Scholar 

  7. Crandall CJ, Markovic D, Huang MH, Greendale GA (2010) Predictors of breast discomfort among women initiating menopausal hormone therapy. Menopause 17(3):462–470. doi:10.1097/gme.0b013e3181c29e68

    PubMed  Google Scholar 

  8. Berek JS, Novak E (2007) Berek & Novak’s gynecology, 14th edn edn. Lippincott Williams & Wilkins, Philadelphia

    Google Scholar 

  9. Speroff L, Fritz MA (2005) Clinical gynecologic endocrinology and infertility, 7th edn. Lippincott Williams & Wilkins, Philadelphia

    Google Scholar 

  10. Strauss JF, Barbieri RL (2009) Yen and Jaffe’s reproductive endocrinology: physiology, pathophysiology, and clinical management, 6th edn. Saunders/Elsevier, Philadelphia

    Google Scholar 

  11. Boyd NF, Byng JW, Jong RA, Fishell EK, Little LE, Miller AB, Lockwood GA, Tritchler DL, Yaffe MJ (1995) Quantitative classification of mammographic densities and breast cancer risk: results from the Canadian national breast screening study. J Natl Cancer Inst 87(9):670–675

    PubMed  Article  CAS  Google Scholar 

  12. Byrne C, Schairer C, Wolfe J, Parekh N, Salane M, Brinton LA, Hoover R, Haile R (1995) Mammographic features and breast cancer risk: effects with time, age, and menopause status. J Natl Cancer Inst 87(21):1622–1629

    PubMed  Article  CAS  Google Scholar 

  13. Crandall CJ, Aragaki AK, Chlebowski RT, McTiernan A, Anderson G, Hendrix SL, Cochrane BB, Kuller LH, Cauley JA (2009) New-onset breast tenderness after initiation of estrogen plus progestin therapy and breast cancer risk. Arch Intern Med 169(18):1684–1691. doi:10.1001/archinternmed.2009.303

    PubMed  Article  CAS  Google Scholar 

  14. Chlebowski RT, Hendrix SL, Langer RD, Stefanick ML, Gass M, Lane D, Rodabough RJ, Gilligan MA, Cyr MG, Thomson CA, Khandekar J, Petrovitch H, McTiernan A (2003) Influence of estrogen plus progestin on breast cancer and mammography in healthy postmenopausal women: the women’s health initiative randomized trial. J Am Med Assoc 289(24):3243–3253

    Article  CAS  Google Scholar 

  15. Anderson GL, Limacher M, Assaf AR, Bassford T, Beresford SA, Black H, Bonds D, Brunner R, Brzyski R, Caan B, Chlebowski R, Curb D, Gass M, Hays J, Heiss G, Hendrix S, Howard BV, Hsia J, Hubbell A, Jackson R, Johnson KC, Judd H, Kotchen JM, Kuller L, LaCroix AZ, Lane D, Langer RD, Lasser N, Lewis CE, Manson J, Margolis K, Ockene J, O’Sullivan MJ, Phillips L, Prentice RL, Ritenbaugh C, Robbins J, Rossouw JE, Sarto G, Stefanick ML, Van Horn L, Wactawski-Wende J, Wallace R, Wassertheil-Smoller S (2004) Effects of conjugated equine estrogen in postmenopausal women with hysterectomy: the women’s health initiative randomized controlled trial. J Am Med Assoc 291(14):1701–1712

    Article  CAS  Google Scholar 

  16. Rossouw JE, Anderson GL, Prentice RL, LaCroix AZ, Kooperberg C, Stefanick ML, Jackson RD, Beresford SA, Howard BV, Johnson KC, Kotchen JM, Ockene J (2002) Risks and benefits of estrogen plus progestin in healthy postmenopausal women: principal results from the women’s health initiative randomized controlled trial. J Am Med Assoc 288(3):321–333

    Article  CAS  Google Scholar 

  17. Stefanick ML, Anderson GL, Margolis KL, Hendrix SL, Rodabough RJ, Paskett ED, Lane DS, Hubbell FA, Assaf AR, Sarto GE, Schenken RS, Yasmeen S, Lessin L, Chlebowski RT (2006) Effects of conjugated equine estrogens on breast cancer and mammography screening in postmenopausal women with hysterectomy. J Am Med Assoc 295(14):1647–1657

    Article  CAS  Google Scholar 

  18. McTiernan A, Chlebowski RT, Martin C, Peck JD, Aragaki A, Pisano ED, Wang CY, Johnson KC, Manson JE, Wallace RB, Vitolins MZ, Heiss G (2009) Conjugated equine estrogen influence on mammographic density in postmenopausal women in a substudy of the women’s health initiative randomized trial. J Clin Oncol. doi:10.1200/JCO.2008.21.7166

  19. McTiernan A, Martin CF, Peck JD, Aragaki AK, Chlebowski RT, Pisano ED, Wang CY, Brunner RL, Johnson KC, Manson JE, Lewis CE, Kotchen JM, Hulka BS (2005) Estrogen-plus-progestin use and mammographic density in postmenopausal women: women’s health initiative randomized trial. J Natl Cancer Inst 97(18):1366–1376

    PubMed  Article  CAS  Google Scholar 

  20. Greendale GA, Reboussin BA, Slone S, Wasilauskas C, Pike MC, Ursin G (2003) Postmenopausal hormone therapy and change in mammographic density. J Natl Cancer Inst 95(1):30–37

    PubMed  Article  CAS  Google Scholar 

  21. The Women’s Health Initiative Study Group (1998) Design of the women’s health initiative clinical trial and observational study. Control Clin Trials 19(1):61–109

    Article  Google Scholar 

  22. Chlebowski RT, Anderson G, Manson JE, Pettinger M, Yasmeen S, Lane D, Langer RD, Hubbell FA, McTiernan A, Hendrix S, Schenken R, Stefanick ML (2010) Estrogen alone in postmenopausal women and breast cancer detection by means of mammography and breast biopsy. J Clin Oncol 28(16):2690–2697. doi:10.1200/JCO.2009.24.8799

    PubMed  Article  Google Scholar 

  23. Curb JD, McTiernan A, Heckbert SR, Kooperberg C, Stanford J, Nevitt M, Johnson KC, Proulx-Burns L, Pastore L, Criqui M, Daugherty S (2003) Outcomes ascertainment and adjudication methods in the women’s health initiative. Ann Epidemiol 13(9 Suppl):S122–S128

    PubMed  Article  Google Scholar 

  24. Ganz PA, Day R, Ware JE Jr, Redmond C, Fisher B (1995) Base-line quality-of-life assessment in the national surgical adjuvant breast and bowel project breast cancer prevention trial. J Natl Cancer Inst 87(18):1372–1382

    PubMed  Article  CAS  Google Scholar 

  25. Greendale GA, Reboussin BA, Hogan P, Barnabei VM, Shumaker S, Johnson S, Barrett-Connor E (1998) Symptom relief and side effects of postmenopausal hormones: results from the postmenopausal estrogen/progestin interventions trial. Obstet Gynecol 92(6):982–988

    PubMed  Article  CAS  Google Scholar 

  26. Manson JE, Greenland P, LaCroix AZ, Stefanick ML, Mouton CP, Oberman A, Perri MG, Sheps DS, Pettinger MB, Siscovick DS (2002) Walking compared with vigorous exercise for the prevention of cardiovascular events in women. N Engl J Med 347(10):716–725. doi:10.1056/NEJMoa021067347/10/716

    PubMed  Article  Google Scholar 

  27. Meyer AM, Evenson KR, Morimoto L, Siscovick D, White E (2009) Test-retest reliability of the Women’s Health Initiative physical activity questionnaire. Med Sci Sports Exerc 41(3):530–538. doi:10.1249/MSS.0b013e31818ace55

    PubMed  Article  Google Scholar 

  28. Hsia J, Wu L, Allen C, Oberman A, Lawson WE, Torrens J, Safford M, Limacher MC, Howard BV (2005) Physical activity and diabetes risk in postmenopausal women. Am J Prev Med 28(1):19–25. doi:10.1016/j.amepre.2004.09.012

    PubMed  Article  Google Scholar 

  29. Prentice RL, Manson JE, Langer RD, Anderson GL, Pettinger M, Jackson RD, Johnson KC, Kuller LH, Lane DS, Wactawski-Wende J, Brzyski R, Allison M, Ockene J, Sarto G, Rossouw JE (2009) Benefits and risks of postmenopausal hormone therapy when it is initiated soon after menopause. Am J Epidemiol 170(1):12–23. doi:10.1093/aje/kwp115

    PubMed  Article  Google Scholar 

  30. Chlebowski RT, Anderson GL, Lane DS, Aragaki AK, Rohan T, Yasmeen S, Sarto G, Rosenberg CA, Hubbell FA (2007) Predicting risk of breast cancer in postmenopausal women by hormone receptor status. J Natl Cancer Inst 99(22):1695–1705. doi:10.1093/jnci/djm224

    PubMed  Article  CAS  Google Scholar 

  31. Costantino JP, Gail MH, Pee D, Anderson S, Redmond CK, Benichou J, Wieand HS (1999) Validation studies for models projecting the risk of invasive and total breast cancer incidence. J Natl Cancer Inst 91(18):1541–1548

    PubMed  Article  CAS  Google Scholar 

  32. Bungay GT, Vessey MP, McPherson CK (1980) Study of symptoms in middle life with special reference to the menopause. Br Med J 281(6234):181–183

    PubMed  Article  CAS  Google Scholar 

  33. Davies EL, Gateley CA, Miers M, Mansel RE (1998) The long-term course of mastalgia. J Royal Soc Med 91(9):462–464

    CAS  Google Scholar 

  34. Dennerstein L, Dudley EC, Hopper JL, Guthrie JR, Burger HG (2000) A prospective population-based study of menopausal symptoms. Obstet Gynecol 96(3):351–358

    PubMed  Article  CAS  Google Scholar 

  35. Jensen J, Christiansen C (1988) Effects of smoking on serum lipoproteins and bone mineral content during postmenopausal hormone replacement therapy. Am J Obstet Gynecol 159(4):820–825

    PubMed  CAS  Google Scholar 

  36. Cassidenti DL, Vijod AG, Vijod MA, Stanczyk FZ, Lobo RA (1990) Short-term effects of smoking on the pharmacokinetic profiles of micronized estradiol in postmenopausal women. Am J Obstet Gynecol 163(6 Pt 1):1953–1960

    PubMed  CAS  Google Scholar 

  37. Geisler J, Omsjo IH, Helle SI, Ekse D, Silsand T, Lonning PE (1999) Plasma oestrogen fractions in postmenopausal women receiving hormone replacement therapy: influence of route of administration and cigarette smoking. J Endocrinol 162(2):265–270

    PubMed  Article  CAS  Google Scholar 

  38. Jensen J, Christiansen C, Rodbro P (1985) Cigarette smoking, serum estrogens, and bone loss during hormone-replacement therapy early after menopause. N Engl J Med 313(16):973–975

    PubMed  Article  CAS  Google Scholar 

  39. McDivit AM, Greendale GA, Stanczyk FZ, Huang MH (2008) Effects of alcohol and cigarette smoking on change in serum estrone levels in postmenopausal women randomly assigned to fixed doses of conjugated equine estrogens with or without a progestin. Menopause 15(2):382–385. doi:10.1097/gme.0b013e3181407cb2

    Google Scholar 

  40. Carranza-Lira S, Garduno-Hernandez MP, Caisapanta DA, Aparicio H (2005) Evaluation of mastodynia in postmenopausal women taking hormone therapy. Int J Gynecol Obstet 89(2):158–159

    Article  CAS  Google Scholar 

  41. Ernster VL, Goodson WH III, Hunt TK, Petrakis NL, Sickles EA, Miike R (1985) Vitamin E and benign breast “disease”: a double-blind, randomized clinical trial. Surgery 97(4):490–494

    PubMed  CAS  Google Scholar 

  42. Girdler SS, O’Briant C, Steege J, Grewen K, Light KC (1999) A comparison of the effect of estrogen with or without progesterone on mood and physical symptoms in postmenopausal women. J Women’s Health Gender Med 8(5):637–646

    Article  CAS  Google Scholar 

  43. McTiernan A, Tworoger SS, Ulrich CM, Yasui Y, Irwin ML, Rajan KB, Sorensen B, Rudolph RE, Bowen D, Stanczyk FZ, Potter JD, Schwartz RS (2004) Effect of exercise on serum estrogens in postmenopausal women: a 12-month randomized clinical trial. Cancer Res 64(8):2923–2928

    PubMed  Article  CAS  Google Scholar 

  44. Meyer EC, Sommers DK, Reitz CJ, Mentis H (1990) Vitamin E and benign breast disease. Surgery 107(5):549–551

    PubMed  CAS  Google Scholar 

  45. Yasui T, Uemura H, Umino Y, Takikawa M, Saito S, Kuwahara A, Matsuzaki T, Maegawa M, Furumoto H, Miura M, Irahara M (2005) Serum estrogen level after hormone replacement therapy and body mass index in postmenopausal and bilaterally ovariectomized women. Maturitas 50(1):19–29. doi:10.1016/j.maturitas.2004.03.013

    PubMed  Article  CAS  Google Scholar 

  46. American Cancer Society (2009) Breast cancer facts & figures 2009–2010. American Cancer Society, Atlanta

    Google Scholar 

  47. American Cancer Society (2010) Cancer facts & figures 2010. Atlanta, Georgia

    Google Scholar 

  48. Edlefsen KL, Jackson RD, Prentice RL, Janssen I, Rajkovic A, O’Sullivan MJ, Anderson G (2010) The effects of postmenopausal hormone therapy on serum estrogen, progesterone, and sex hormone-binding globulin levels in healthy postmenopausal women. Menopause 17(3):622–629. doi:10.1097/gme.0b013e3181cb49e9

    Google Scholar 

  49. LaCroix AZ, Chlebowski RT, Manson JE, Aragaki AK, Johnson KC, Martin L, Margolis KL, Stefanick ML, Brzyski R, Curb JD, Howard BV, Lewis CE, Wactawski-Wende J (2011) Health outcomes after stopping conjugated equine estrogens among postmenopausal women with prior hysterectomy: a randomized controlled trial. J Am Med Assoc 305(13):1305–1314. doi:10.1001/jama.2011.382

    Article  CAS  Google Scholar 

Download references

Acknowledgments

Program office: (National Heart, Lung, and Blood Institute, Bethesda, Maryland). Jacques Rossouw, Shari Ludlam, Joan McGowan, Leslie Ford, and Nancy Geller. Clinical coordinating center: (Fred Hutchinson Cancer Research Center, Seattle, WA). Ross Prentice, Garnet Anderson, Andrea LaCroix, Charles L. Kooperberg; (Medical Research Labs, Highland Heights, KY) Evan Stein; (University of California at San Francisco, San Francisco, CA) Steven Cummings. Clinical centers: (Albert Einstein College of Medicine, Bronx, NY) Sylvia Wassertheil-Smoller; (Baylor College of Medicine, Houston, TX) Haleh Sangi-Haghpeykar; (Brigham and Women’s Hospital, Harvard Medical School, Boston, MA) JoAnn E. Manson; (Brown University, Providence, RI) Charles B. Eaton; (Emory University, Atlanta, GA) Lawrence S. Phillips; (Fred Hutchinson Cancer Research Center, Seattle, WA) Shirley Beresford; (George Washington University Medical Center, Washington, DC) Lisa Martin; (Los Angeles Biomedical Research Institute at Harbor-UCLA Medical Center, Torrance, CA) Rowan Chlebowski; (Kaiser Permanente Center for Health Research, Portland, OR) Erin LeBlanc; (Kaiser Permanente Division of Research, Oakland, CA) Bette Caan; (Medical College of Wisconsin, Milwaukee, WI) Jane Morley Kotchen; (MedStar Research Institute/Howard University, Washington, DC) Barbara V. Howard; (Northwestern University, Chicago/Evanston, IL) Linda Van Horn; (Rush Medical Center, Chicago, IL) Henry Black; (Stanford Prevention Research Center, Stanford, CA) Marcia L. Stefanick; (State University of New York at Stony Brook, Stony Brook, NY) Dorothy Lane; (The Ohio State University, Columbus, OH) Rebecca Jackson; (University of Alabama at Birmingham, Birmingham, AL) Cora E. Lewis; (University of Arizona, Tucson/Phoenix, AZ) Cynthia A. Thomson; (University at Buffalo, Buffalo, NY) Jean Wactawski-Wende; (University of California at Davis, Sacramento, CA) John Robbins; (University of California at Irvine, CA) F. Allan Hubbell; (University of California at Los Angeles, Los Angeles, CA) Lauren Nathan; (University of California at San Diego, LaJolla/Chula Vista, CA) Robert D. Langer; (University of Cincinnati, Cincinnati, OH) Margery Gass; (University of Florida, Gainesville/Jacksonville, FL) Marian Limacher; (University of Hawaii, Honolulu, HI) J. David Curb; (University of Iowa, Iowa City/Davenport, IA) Robert Wallace; (University of Massachusetts/Fallon Clinic, Worcester, MA) Judith Ockene; (University of Medicine and Dentistry of New Jersey, Newark, NJ) Norman Lasser; (University of Miami, Miami, FL) Mary Jo O’Sullivan; (University of Minnesota, Minneapolis, MN) Karen Margolis; (University of Nevada, Reno, NV) Robert Brunner; (University of North Carolina, Chapel Hill, NC) Gerardo Heiss; (University of Pittsburgh, Pittsburgh, PA) Lewis Kuller; (University of Tennessee Health Science Center, Memphis, TN) Karen C. Johnson; (University of Texas Health Science Center, San Antonio, TX) Robert Brzyski; (University of Wisconsin, Madison, WI) Gloria E. Sarto; (Wake Forest University School of Medicine, Winston-Salem, NC) Mara Vitolins; (Wayne State University School of Medicine/Hutzel Hospital, Detroit, MI) Michael S. Simon. Women’s health initiative memory study: (Wake Forest University School of Medicine, Winston-Salem, NC) Sally Shumaker. The sponsors of the study had no role in study design, data collection, data analysis, data interpretation, or writing of the report. The corresponding author had full access to all of the data and had final responsibility for the decision to submit for publication. Dr. Crandall’s work was supported by the Eileen Ogle Award of the Iris Cantor-UCLA Women’s Health Center. The WHI program is funded by National Heart, Lung, and Blood Institute, National Institutes of Health, U.S. Department of Health and Human Services contracts N01WH22110, 24152, 32100–2, 32105–6, 32108–9, 32111–13, 32115, 32118–32119, 32122, 42107–26, 42129–32, and 44221.

Conflicts of interest

CC, AA, JC, and JM have no conflicts of interest to declare. AM: consultant or advisory relationships: Novartis, Proctor and Gamble, Merck, Metagenics, Zymogenetic; stock ownership: Merck; honoraria: Wyeth, Novartis; research funding: Wyeth; GA: expert testimony on behalf of Fred Hutchinson Cancer Research Center; RC: consultant or advisory relationships: Novartis, Pfizer, Astra Zeneca; Honoraria: Novartis, Astra Zeneca; Research funding: Amgen.

Author information

Affiliations

Authors

Corresponding author

Correspondence to Carolyn J. Crandall.

Rights and permissions

Reprints and Permissions

About this article

Cite this article

Crandall, C.J., Aragaki, A.K., Cauley, J.A. et al. Breast tenderness and breast cancer risk in the estrogen plus progestin and estrogen-alone women’s health initiative clinical trials. Breast Cancer Res Treat 132, 275–285 (2012). https://doi.org/10.1007/s10549-011-1848-9

Download citation

  • Received:

  • Accepted:

  • Published:

  • Issue Date:

  • DOI: https://doi.org/10.1007/s10549-011-1848-9

Keywords

  • Breast tenderness
  • Breast cancer
  • Menopausal hormone therapy
  • Conjugated equine estrogens
  • Medroxyprogesterone acetate