Skip to main content

Risk factors for brain relapse in HER2-positive metastatic breast cancer patients

Abstract

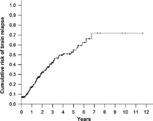
Brain relapse is a common occurrence in HER2-positive breast cancer patients. However, the factors determining the risk of brain metastasis in these patients remain to be established. The aim of this study was to assess the impact of particular clinical and pathological factors on the risk of brain relapse in HER2-positive advanced breast cancer patients. The study group included 264 consecutive HER-2 positive metastatic breast cancer patients, most of whom (210; 80%) were administered trastuzumab, usually in combination with chemotherapy. Time from the diagnosis to distant relapse ranged from 0 to 142 months (median 16 months). The most common dominant site of metastatic disease was viscera (80%), followed by soft tissue (11%) and bones (10%). After a median follow-up of 3.1 years, the symptomatic brain relapse occurred in 103 patients (39%). Median time from treatment dissemination to brain relapse was 15 months (range, 0–81 months), and the cumulative 1-year, 3-year and 5-year risk of brain relapse was 17, 42 and 55%, respectively. The average annual risk of brain relapse for surviving patients during consecutive 7 years of follow-up was 10.0% (95% CI, 6.6–13.5%). In the univariate analysis the only variable significantly related to the increased risk of brain relapse was time from initial diagnosis to distant relapse shorter than 2 years (HR = 1.55, 95% CI, 1.03–2.33, P = 0.034). Patients with dominant site of disease in soft tissue or bones tended to have lower risk of relapse (HR = 0.54 and 0.62; P = 0.098 and 0.203, respectively) compared to patients with visceral metastases. Treatment with trastuzumab was not associated with reduced risk of brain relapse (HR = 0.91, 95% CI, 0.47–1.77, P = 0.78). In the multivariate analysis, time from initial diagnosis to distant relapse shorter than 2 years remained the only significant variable related to increased risk of brain relapse (adjusted HR = 1.62, 95% CI, 1.07–2.44; P = 0.022). HER2-positive breast cancer patients remain at high and continuous risk of brain relapse for a prolonged period of time after diagnosis of disease dissemination. Short time from initial diagnosis to distant relapse is related to increased risk of brain relapse. Molecular predictors are sorely needed to better characterize patients with high probability of early brain relapse.

This is a preview of subscription content, access via your institution.

Fig. 1
Fig. 2
Fig. 3

References

  1. Flowers A, Levin VA (1993) Management of brain metastases from breast carcinoma. Oncology 7:21–26

    PubMed  CAS  Google Scholar 

  2. Tsukada Y, Fouad A, Pickren JW, Lane WW (1983) Central nervous system metastasis from breast carcinoma. Autopsy study. Cancer 52:2349–2354. doi:10.1002/1097-0142(19831215)52:12<2349::AID-CNCR2820521231>3.0.CO;2-B

    PubMed  Article  CAS  Google Scholar 

  3. Freilich RJ, Seidman AD, DeAngelis LM (1995) Central nervous system progression of metastatic breast cancer in patients treated with paclitaxel. Cancer 76:232–236. doi:10.1002/1097-0142(19950715)76:2<232::AID-CNCR2820760212>3.0.CO;2-0

    PubMed  Article  CAS  Google Scholar 

  4. Crivellari D, Pagani O, Veronesi A et al (2001) High incidence of central nervous system involment in patients with metastatic or locally advanced breast cancer treated with epirubicin and docetaxel. Ann Oncol 12:353–356. doi:10.1023/A:1011132609055

    PubMed  Article  CAS  Google Scholar 

  5. Miller KD, Weathers T, Haney LG et al (2003) Occult central nervous system involvement in patients with metastatic breast cancer: prevalence, predictive factors and impact on survival. Ann Oncol 14:1072–1077. doi:10.1093/annonc/mdg300

    PubMed  Article  CAS  Google Scholar 

  6. Kallioniemi OP, Holli K, Visakorpi T, Koivula T, Helin HH, Isola J (1991) Association of c-erbB-2 protein over-expression with high rate of cell proliferation, increased risk of visceral metastasis and poor long-term survival in breast cancer. Int J Cancer 49:650–655. doi:10.1002/ijc.2910490504

    PubMed  Article  CAS  Google Scholar 

  7. Altaha R, Crowell E, Hobbs G, Higa G, Abraham J (2005) Increased risk of brain metastases in patients with HER-2/neu-positive breast carcinoma. Cancer 103:442–443. doi:10.1002/cncr.20813

    PubMed  Article  Google Scholar 

  8. Gabos Z, Sinha R, Hanson J et al (2006) Prognostic significance of human epidermal growth factor receptor positivity for the development of brain metastasis after newly diagnosed breast cancer. J Clin Oncol 24:5658–5663. doi:10.1200/JCO.2006.07.0250

    PubMed  Article  CAS  Google Scholar 

  9. Hynes NE, Stern DF (1994) The biology of erbB-2/neu/HER2 and its role in cancer. Biochim Biophys Acta 1198:165–184

    PubMed  Google Scholar 

  10. Revillion F, Bonneterre J, Peyrat JP (1998) ERBB2 oncogene in human breast cancer and its clinical significance. Eur J Cancer 34:791–808. doi:10.1016/S0959-8049(97)10157-5

    PubMed  Article  CAS  Google Scholar 

  11. Bendell JC, Domchek SM, Burstein HJ et al (2003) Central nervous system metastases in women who receive trastuzumab-based therapy for metastatic breast carcinoma. Cancer 97:2972–2977. doi:10.1002/cncr.11436

    PubMed  Article  Google Scholar 

  12. Clayton AJ, Danson S, Jolly S et al (2004) Incidence of cerebral metastases in patients treated with trastuzumab with trastuzumab for metastatic breast cancer. Br J Cancer 91:639–643

    PubMed  CAS  Google Scholar 

  13. Shmueli E, Wigler N, Inbar M (2004) Central nervous system progression among patients with metastatic breast cancer responding to trastuzumab treatment. Eur J Cancer 40:379–382. doi:10.1016/j.ejca.2003.09.018

    PubMed  Article  CAS  Google Scholar 

  14. Lower EE, Drosick RD, Blau R, Brennan L, Danneman W, Hawley DK (2003) Increased rate of brain metastases with trastuzumab therapy not associated with impaired survival. Clin Breast Cancer 4:114–119. doi:10.3816/CBC.2003.n.016

    PubMed  Article  CAS  Google Scholar 

  15. Lai R, Dang CT, Malkin MG, Abrey LE (2004) The risk of central nervous system metastases after trastuzumab therapy in patients with breast carcinoma. Cancer 15:810–816. doi:10.1002/cncr.20418

    Article  CAS  Google Scholar 

  16. Burstein HJ, Lieberman G, Slamon DJ, Winer EP, Klein P (2005) Isolated central nervous system metastases in patients with HER2 overexpressing advanced breast cancer treated with first-line trastuzumab based therapy. Ann Oncol 16:1772–1777. doi:10.1093/annonc/mdi371

    PubMed  Article  CAS  Google Scholar 

  17. Yau T, Swanton C, Chua S et al (2006) Incidence, pattern and timing of brain metastases among patients with advanced breast cancer treated with trastuzumab. Acta Oncol 45:196–201

    PubMed  CAS  Article  Google Scholar 

  18. Pestalozzi BC, Zahrieh D, Price KN, International Breast Cancer Study Group(IBCSG) et al (2006) Identifying breast cancer patients at risk for Central Nervous System (CNS) metastases in trials of the International Breast Cancer Study Group (IBCSG). Ann Oncol 17:935–944. doi:10.1093/annonc/mdl064

    PubMed  Article  CAS  Google Scholar 

  19. Nam BH, Kim SY, Han HS et al (2008) Breast cancer subtypes and survival in patients with brain metastases. Breast Cancer Res 10:R20. doi:10.1186/bcr1870

    PubMed  Article  CAS  Google Scholar 

  20. Sparrow GE, Rubens RD (1981) Brain metastases from breast cancer: clinical course, prognosis and influence of treatment. Clin Oncol 7:291–301

    PubMed  CAS  Google Scholar 

  21. Patanaphan V, Salazar OM, Risco R (1988) Breast cancer: metastatic patterns and their prognosis. South Med J 81:1109–1112

    PubMed  CAS  Google Scholar 

  22. Tham YL, Sexton K, Kramer R, Hilsenbeck S, Elledge R (2006) Primary breast cancer phenotypes associated with propensity for central nervous system metastases. Cancer 107:696–704. doi:10.1002/cncr.22041

    PubMed  Article  Google Scholar 

  23. Stemmler HJ, Kahlert S, Siekiera W, Untch M, Heinrich B, Heinemann V (2006) Characteristics of patients with brain metastases receiving trastuzumab for HER2 overexpressing metastatic breast cancer. Breast 15:219–225. doi:10.1016/j.breast.2005.04.017

    PubMed  Article  CAS  Google Scholar 

  24. Gori S, Rimondini S, De Angelis V et al (2007) Central nervous system metastases in HER-2 positive metastatic breast cancer patients treated with trastuzumab: incidence, survival, and risk factors. Oncologist 12:766–773. doi:10.1634/theoncologist.12-7-766

    PubMed  Article  Google Scholar 

  25. Schemper M, Smith TL (1996) A note of quantifying follow-up in studies of failure time. Control Clin Trials 17:343–346. doi:10.1016/0197-2456(96)00075-X

    PubMed  Article  CAS  Google Scholar 

  26. Pintilie M (2007) Analysing and interpreting competing risk data. Stat Med 26:1360–1367. doi:10.1002/sim.2655

    PubMed  Article  Google Scholar 

  27. Li Y, Pan Y, Wei Y et al (2004) Upregulation of CXCR4 is essential for HER2-mediated tumor metastasis. Cancer Cell 6:459–469. doi:10.1016/j.ccr.2004.09.027

    PubMed  Article  CAS  Google Scholar 

  28. Kauraniemi P, Bärlund M, Monni O, Kallioniemi A (2001) New amplified and highly expressed genes discovered in ERBB2 amplicon in breast cancer by cDNA microarrays. Cancer Res 61:8235–8240

    PubMed  CAS  Google Scholar 

  29. Palmieri D, Bronder JL, Herring JM et al (2007) Her-2 overexpression increases the metastatic outgrowth of breast cancer cells in the brain. Cancer Res 67:4190–4198. doi:10.1158/0008-5472.CAN-06-3316

    PubMed  Article  CAS  Google Scholar 

  30. Duchnowska R, Czartoryska-Arlukowicz B, Radecka B et al (2007) Prediction of brain relapse (BR) in HER-2 positive metastatic breast cancer (MBC) patients. Eur J Cancer Suppl 5:213. doi:10.1016/S1359-6349(07)70862-5

    Article  Google Scholar 

  31. Samaan NA, Buzdar AU, Aldinger KA et al (1981) Estrogen receptor: a prognostic factor in breast cancer. Cancer 47:554–560. doi:10.1002/1097-0142(19810201)47:3<554::AID-CNCR2820470322>3.0.CO;2-W

    PubMed  Article  CAS  Google Scholar 

  32. Su Y, Sinko PJ (2006) Drug delivery across the blood–brain barrier: why is it difficult? How to measure and improve it? Expert Opin Drug Deliv 3:419–435. doi:10.1517/17425247.3.3.419

    PubMed  Article  CAS  Google Scholar 

  33. Neuwelt E (2004) Mechanisms of disease: The blood–brain barrier. Neurosurgery 54:131–142. doi:10.1227/01.NEU.0000097715.11966.8E

    PubMed  Article  Google Scholar 

  34. Dawood S, Broglio K, Esteva FJ et al (2008) Defining prognosis for women with breast cancer and CNS metastases by HER2 status. Ann Oncol 19:1242–1248. doi:10.1093/annonc/mdn036

    PubMed  Article  CAS  Google Scholar 

  35. Park IH, Ro J, Lee KS, Nam BH, Kwon Y, Shin KH (2008) Trastuzumab treatment beyond brain progression in HER2-positive metastatic breast cancer. Ann Oncol. doi:10.1093/annonc/mdn539

    Google Scholar 

  36. Metro G, Sperduti I, Russillo M, Milella M, Cognetti F, Fabi A (2007) Clinical utility of continuing trastuzumab beyond brain progression in HER-2 positive metastatic breast cancer. Oncologist 12:1467–1469. doi:10.1634/theoncologist.12-12-1467

    PubMed  Article  Google Scholar 

  37. Kirsch DG, Ledezma CJ, Mathews CS et al (2005) Survival after brain metastases from breast cancer in the trastuzumab era. J Clin Oncol 23:2114–2116. doi:10.1200/JCO.2005.05.249

    PubMed  Article  Google Scholar 

  38. Eichler AF, Kuter I, Ryan P, Schapira L, Younger J, Henson JW (2008) Survival in patients with brain metastases from breast cancer: the importance of HER-2 status. Cancer 112:2359–2367. doi:10.1002/cncr.23468

    PubMed  Article  CAS  Google Scholar 

  39. Church DN, Modgil R, Guglani S et al (2008) Extended survival in women with brain metastases from HER2 overexpressing breast cancer. Am J Clin Oncol 31:250–254

    PubMed  CAS  Article  Google Scholar 

  40. Fuchs IB, Loebbecke M, Buhler H et al (2002) HER 2 in brain metastases: issues of concordance, survival, and treatment. J Clin Oncol 20:4130–4133. doi:10.1200/JCO.2002.04.016

    PubMed  Article  Google Scholar 

  41. DiStefano A, Yong Yap Y, Hortobagyi GN, Blumenschein GR (1979) The natural history of breast cancer patients with brain metastases. Cancer 44:1913–1918. doi:10.1002/1097-0142(197911)44:5<1913::AID-CNCR2820440554>3.0.CO;2-D

    PubMed  Article  CAS  Google Scholar 

  42. Lentzsch S, Reichardt P, Weber F, Budach V, Dörken B (1999) Brain metastases in breast cancer: prognostic factors and management. Eur J Cancer 35:580–585. doi:10.1016/S0959-8049(98)00421-3

    PubMed  Article  CAS  Google Scholar 

  43. Fokstuen T, Wiking N, Rutqvist LE et al (2000) Radiation therapy in the management of brain metastases from breast cancer. Breast Cancer Res Treat 62:211–216. doi:10.1023/A:1006486423827

    PubMed  Article  CAS  Google Scholar 

  44. Sorlie T, Perou CM, Tibshirani R et al (2001) Gene expression patterns of breast carcinomas distinguish tumor subclasses with clinical implications. Proc Natl Acad Sci USA 98:10869–10874. doi:10.1073/pnas.191367098

    PubMed  Article  CAS  Google Scholar 

  45. van de Vijver MJ, He YD, van’t Veer LJ et al (2002) A gene-expression signature as a predictor of survival in breast cancer. N Engl J Med 347:1999–2009. doi:10.1056/NEJMoa021967

    PubMed  Article  Google Scholar 

  46. Duchnowska R, Jassem J, Thorat MA et al (2008) Gene expression analysis for prediction of early brain metastasis (BM) in HER2-positive (HER2+) breast cancer patients (pts). J Clin Oncol 26(suppl):45s

    Google Scholar 

Download references

Acknowledgments

The authors wish to thank Prof. Jacek Jassem for his contribution to study design, interpretation of results and numerous helpful discussions on the manuscript.

Author information

Affiliations

Authors

Corresponding author

Correspondence to Renata Duchnowska.

Additional information

Presented in part in oral form at the 2007 European Cancer Conference, Barcelona, Spain.

Rights and permissions

Reprints and Permissions

About this article

Cite this article

Duchnowska, R., Dziadziuszko, R., Czartoryska-Arłukowicz, B. et al. Risk factors for brain relapse in HER2-positive metastatic breast cancer patients. Breast Cancer Res Treat 117, 297–303 (2009). https://doi.org/10.1007/s10549-008-0275-z

Download citation

  • Received:

  • Accepted:

  • Published:

  • Issue Date:

  • DOI: https://doi.org/10.1007/s10549-008-0275-z

Keywords

  • Brain relapse
  • HER2-positive breast cancer
  • Trastuzumab
  • Brain-blood barrier