Abstract
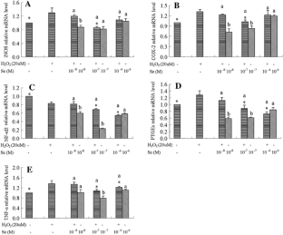
Selenoprotein W (SelW) is mainly understood in terms of its antioxidant effects in the cellular defense system. Inflammation is an important indicator of animal tissue injury, and the inflammatory cells may trigger a sophisticated and well-orchestrated inflammatory cascade, resulting in exaggerated oxidative stress. To investigate the role of SelW in inflammatory injury in chicken immune tissues and cultured splenic lymphocyte, in this report, the effects of selenium (Se) on mRNA expressions of SelW and inflammatory factors (iNOS, COX-2, NF-κB, PTGEs, and TNF-α) in the chicken immune organs (spleen, thymus and bursa of Fabricius) and cultured splenic lymphocyte treated with sodium selenite and H2O2, or knocked down SelW with small interfering RNAs (siRNAs) were examined. The results showed that Se-deficient diets effectively decreased the mRNA expression of SelW (P < 0.05), and induced a significantly up-regulation of COX-2, iNOS, NF-κB, PTGEs and TNF-α mRNA levels (P < 0.05). The histopathological analysis showed that immune tissues were obviously injured in the low-Se groups. In vitro, H2O2 induced a significantly up-regulation of the mRNA levels of inflammation-related genes (iNOS, COX-2, NF-κB, PTGEs, and TNF-α) in cultured splenic lymphocyte (P < 0.05). When lymphocytes were pretreated with Se before treated with H2O2, the inflammation-related genes were significantly decreased (P < 0.05). Silencing of SelW significantly up-regulated the inflammation-related genes (iNOS, COX-2, NF-κB, PTGEs, and TNF-α) in cultured splenic lymphocyte (P < 0.05). The results suggested that the expression levels of inflammatory factors (iNOS, COX-2, NF-κB, PTGEs, and TNF-α) and SelW can be influenced by Se in birds. SelW commonly played an important role in the protection of immune organs of birds from inflammatory injury by the regulations of inflammation-related genes.






References
Abate A, Oberle S, Schroder H (1998) Lipopolysaccharide-induced expression of cyclooxygenase-2 in mouse macrophages is inhibited by chloromethylketones and a direct inhibitor of NF kappaB translocation. Prostag Other Lipid Mediat 56:277–290
Arthur JR, McKenzie RC, Beckett GJ (2003) Selenium in the immune system. J Nutr 33:1457–1459
Bartholomew A, Latshaw D, Swayne DE (1998) Changes in blood chemistry hematology, and histology caused by a selenium/vitamin E deficiency and recovery in chicks. Biol Trace Elem Res 62:7–16
Baud V, Karin M (2009) Is NE-kappaB a good target for cancer therapy? Hopes and pitfalls. Nat Rev Drug Discov 8:33–40
Beilstein MA, Vendeland SC, Barofsky E, Jensen ON, Whanger PD (1996) Selenoprotein W of rat muscle binds glutathione and an unknown small molecular weight moiety. J Inorg Biochem 61:117–124
Bonvissuto G, Minutoli L, Morgia G, Bitto A, Polito F, Irrera N et al (2011) Effect of Serenoa repens, lycopene, and selenium on proinflammatory phenotype activation: an in vitro and in vivo comparison study. Urology 77(248):e9–e16
Cao TM, Ruan HF, Zhang ZW, Wu Q, Yao HD, Li JL, Li S, Xu SW (2012) Selenium regulates gene expression of selenoprotein W in chicken skeletal muscle system. Biol Trace Elem Res 145:59–65
Chang Y, Piao SL, Gao S, Zheng DM (2005) Regulatory effects of micronutrient complex on the expression of Th1 and Th2 cytokines in diabetic C57BL mice. Wei Sheng Yan Jiu 34:64–66
Chung YW, Jeong D, Noh OJ et al (2009) Antioxidative role of selenoprotein W in oxidant-induced mouse embryonic neuronal cell death. Mol Cells 27:609–613
Demelash A, Karlsson JO, Nilsson M, Björkman U (2004) Selenium has a protective role in caspase-3-dependent apoptosis induced by H2O2 in primary cultured pig thyrocytes. Eyr J Endocrinol 150:841–849
Gao XJ, Xing HJ, Li S, Li JL, Ying T, Xu SW (2012) Selenium regulates gene expression of selenoprotein W in chicken gastrointestinal tract. Biol Trace Elem Res 145:181–188
Gladyshev VN, Hatfield DL (1999) Selenocysteine-containing proteins in mammals. J Biomed Sci 6:151–160
Gu QP, Ream LW, Whanger PD (2002) Selenoprotein W gene regulation by selenium in L8 cell. Biometals 15:411–420
Han YH, Zhang ZW, Shao C, Li S, Xu SW, Wang XL (2012) The expression of chicken selenoprotein W, selenocysteine-synthase (SecS), and selenophosphate synthetase-1 (SPS-1) in CHO-K1 cells. Biol Trace Elem Res 148:61–68
Hinz B, Brune K (2002) Cyclooxygenase-2–10 years later. J Pharmacol Exp Ther 300:367–375
Hoffmann PR, Berry MJ (2008) The influence of selenium on immune responses. Mol Nutr Food Res 52(11):1273–1280
Jeong D, Kim TS, Chung YW et al (2002) Selenoprotein W is a glutathione- dependent antioxidant in vivo. FEBS Lett 517:225–228
Kaur P, Bansal MP (2005) Effect of selenium-induced oxidative stress on the cell kinetics in testis and reproductive ability of male mice. Nutrition 21:351–357
Kiemer AK, Hartung T, Huber C, Vollmar AM (2003) Phyllanthus amarus has anti-inflammatory potential by inhibition of iNOS, COX-2, and cytokines via the NF-kappaB pathway. J Hepatol 38:289–297
Kim SH, Johnson VJ, Shin TY, Sharma RP (2004) Selenium attenuates lipopolysaccharide-induced oxidative stress response through modulation of p38 MAPK and NF-kappaB signaling pathways. Exp Biol Med (Maywood) 229:203–213
Kiremidjian-Schumacher L, Roy M, HI Wishe, Cohen MW, Stotzky G (1992) Regulation of celular immune responses by selenium. Biol Trace Elem Res 33:23–35
Kryukov GV, Castellano S, Novoselov SV, Lobanov AV et al (2003) Characterization of mammalian selenoproteomes. Science 300(5624):1439–1443
Lee YW, Han SH, Lee M, Yang KH, Kim HM, Jeon YJ (2000) 2-Amino-3-methylimidazo(4,5-f) quinoline inhibits nitric oxide production in lipopolysaccharide-stimulated RAW 264.7 cells by blocking p38 kinase activation. Cancer Lett 156:133–139
Leng L, Bobzek R, Kuriková S et al (2003) Comparative metabolic and immune responses of chickens fed diets containing inorganic selenium and Sel-Plex™ organic selenium. In: Nutritional biotechnology in the feed and food industry. In: Proceedings of Alltech’s 19th annual symposium, UK, pp 131–145
Li JL, Gao R, Li S, Wang JT, Tang ZX, Xu SW (2010a) Testicular toxicity induced by dietary cadmium in cocks and ameliorative effect by selenium. Biometals 23:695–705
Li JL, Li HX, Li S et al (2010b) Selenoprotein W gene expression in the gastrointestinal tract of chicken is affected by dietary selenium. Biometals 24:291–299
Li JL, Ruan HF, Li HX, Li S, Xu SW, Tang ZX (2011) Molecular cloning, characterization and mRNA expression analysis of a novel selenoprotein: avian selenoprotein W from chicken. Mol Biol Rep 38(6):4015–4022
Li JL, Li HX, Li S, Gao XJ, Xu SW, Tang ZX (2012) Effects of selenoprotein W gene expression by seleniuminvolves regulation of mRNA stability in chicken embryos neurons. Biometals 25:459–468
Liu T, Laidlaw TM, Feng C, Xing W, Shen S, Milne GL, Boyce JA (2012) Prostaglandin E2 deficiency uncovers a dominant role for thromboxane A2 in house dust mite-induced allergic pulmonary inflammation. Proc Natl Acad Sci USA 109:12692–12697
Maehira F, Miyagi I, Eguchi Y (2003) Selenium regulates transcription factor NF-κB activation during the acute phase reaction. Clin Chim Acta 334:163–171
Marsh JA, Combs GF, Whitacre MF et al (1986) Effect of selenium and vitamin E dietary deficiencies on chick lymphoid organ development. P Soc Exp Biol Med 182:425–436
Martin-Romero FJ, Kryukov GV, Lobanov AV et al (2001) Selenium metabolism in Drosophila: selenoproteins, selenoprotein mRNA expression, fertility, and mortality. J Biol Chem 276:29798–29804
McCord JM (2000) The evolution of free radicals and oxidative stress. Am J Med 108:652–659
McKenzie RC, Rafferty TS, Beckett GJ (1998) Selenium: an essential element for immune function. Trends Immunol Today 19:342–345
Moncada S, Palmer RM, Higgs EA (1991) Nitric oxide: physiology, pathophysiology, and pharmacyology. Pharmacol Rev 43:109–142
Natalia P, Mirta S, Alejandra H, Orville AL, Leonor SB (2007) Decreased β-adrenoceptor chronotropic response in selenium-deficient mice. Biol Trace Elem Res 117:127–138
Pei Z, Li H, Guo Y, Jin Y, Lin D (2010) Sodium selenite inhibits the expression of VEGF, TGFβ1 and IL-6 induced by LPS in human PC3 cells via TLR4-NF-KB signaling blockage. Int Immunopharmacol 10:50–56
Peirson SN, Butler JN, Foster RG (2003) Experimental validation of novel and conventional approaches to quantitative real-time PCR data analysis. Nucleic Acids Res 31:e73
Peng X, Cui Y, Cui W, Deng J, Cui H (2009) The decrease of relative weight, lesions, and apoptosis of bursa of Fabricius induced by excess dietary selenium in chickens. Boil Trace Elem Res 131:33–42
Pfaffl MW (2001) A new mathematical model for relative quantification in real-time RT-PCR. Nucleic Acids Res 29:e45
Prescott SM, Fitzpatrick FA (2000) Cyclooxygenase-2 and carcinogenesis. Biochim Biophys Acta 1470:M69–M78
Rankin JA (2004) Biological mediators of acute inflammation. AACN Clin Issues 15:3–17
Rayman MP (2000) The importance of selenium to human health. Lancet 356:233–241
Rigobello MP, Candin V, Folda A, Rundlöf AK, Fernandes AP et al (2009) Treatment of human cancer cells with selenite or tellurite in combination with auranofin enhances cell death due to redox shift. Free Radic Biol Med 47:710–721
Ruan HF, Zhang ZW, Wu Q, Yao HD, Li JL, Li S, Xu SW (2012) Selenium regulates gene expression of selenoprotein W in chicken skeletal muscle system. Biol Trace Elem Res 145:59–65
Saito Y, Takahashi K (2000) Selenoprotein P: its structure and functions. J Health Sci 46(6):409–413
Sasaki Y, Kamei D, Ishikawa Y, Ishii T et al (2012) Microsomal prostaglandin E synthase-1 is involved in multiple steps of colon carcinogenesis. Oncogene 31:2943–2952
Schweizer U, Schomburg L, Savaskan NE (2004) The neurobiology of selenium: lessons from transgenic mice. J Nutr 134:707–710
Sciarra A, Silverio DF, Salciccia S, Autran Gomez AM, Gentilucci A, Gentile V (2007) Inflammation and chronic prostatic diseases: Evidence for a link? Eur Urol 52:964–972
Sonia S, Bansal MP (2007) Alterations in selenium status influences reproductive potential of male mice by modulation of transcription factor NF-kB. Biometals 20:49–59
Stadtman TC (2000) Selenium biochemistry. Mammalian selenoenzymes. Ann N Y Acad Sci 899:399–402
Stadtman TC (2002) Discoveries of vitamin B-12 and selenium enzymes. Annu Rev Biochem 71:1–16
Sun Y, Ha PC, Butler JA et al (1998) Effect of dietary selenium on selenoprotein W and glutathione peroxidase in 28 tissues of the rat. J Nutr Biochem 9:23–27
Sun B, Wang RH, Li JL, Jiang ZH, Xu SW (2011) Dietary selenium affects selenoprotein W gene expression in the liver of chicken. Biol Trace Elem Res 143(3):1516–1523
Tang R, Huang KX (2004) Inhibiting effect of selenium on oxysterols-induced apoptosis of rat vascular smooth muscle cells. J Inorg Biochem 11:1678–1685
Terry EN, Michal JJ, Hostetler CE, Kincaid RL (2009) Levels of mRNA for there selenoproteins in skeletal muscle of fetal and newborn pigs. Livestock Science 124:21–25
Wang XL, Yang CP, Xu K et al (2010) Selenoprotein W depletion in vitro might indicate that its main function is not as an antioxidative enzyme. Biochemistry (Mosc) 75(2):201–207
Wang RH, Sun B, Zhang ZW, Li S, Xu SW (2011) Dietary selenium influences pancreatic tissue levels of selenoprotein W in chickens. J Inorg Biochem 105(9):1156–1160
Wu Q, Yao HD, Zhang ZW, Zhang B, Meng FY, Xu SW, Wang XL (2012) Possible correlation between selenoprotein W and myogenic regulatory factors in chicken embryonic myoblasts. Biol Trace Elem Res 150:166–172
Yao HD, Wu Q, Zhang ZW, Li S, Wang XL, Lei XG, Xu SW (2013) Selenoprotein W serves as an antioxidant in chicken myoblasts. Biochim Biophys Acta 1830:3112–3120
Yeh JY, Beilstein MA, Andrews JS et al (1995) Tissue distribution and influence of selenium status on levels of selenoprotein W. FASEB J 9(5):392–396
Yeh JY, Gu QP, Ma B et al (1997a) Selenium influences tissue levels of selenoprotein W in sheep. J Nutr 127:394–402
Yeh JY, Vendeland SC, Gu Q et al (1997b) Dietary selenium increases selenoprotein W levels in rat tissues. J Nutr 127:2165–2172
Yeh JY, Ou BR, Forsberg NE et al (1997c) Effects of selenium and serum on selenoprotein W in cultured L8 muscle cell. Biometals 10:11–12
Yeh JY, Ou BR, Gu QP, Whanger PD (1998) Influence of gender on selenoprotein W, glutathione peroxidase and selenium in tissues of rats. Comp Biochem Physiol B 119:151–155
Yu D, Li JL, Zhang JL, Gao XJ, Xu XW (2011) Effects of dietary selenium on selenoprotein W gene expression in the chicken immune organs. Biol Trace Elem Res 144:678–687
Yu D, Zhang ZW, Yao HD, Li S, Xu SW (2014) Antioxidative role of selenoprotein W in oxidant-induced chicken splenic lymphocyte death. Biometals 27:277–291
Zamamiri-Davis F, Lu Y, Jerry TT, Thompson JT, Prabhu KS, Reddy PV, Sordillo LM, Reddy CC (2002) Nuclear factor-κB mediates over-expression of cyclooxygenase-2 during activation of RAW 246.7 macrophages in selenium deficiency. Free Radic Biol Med 32(9):890–897
Zeng J, Zhou J, Huang KX (2009) Effect of selenium on pancreatic proinflammatory cytokines in streptozotocin-induced diabetic mice. J Nutr Biochem 20:530–536
Zhang JL, Li JL, Huang XD, Sun B, Wang RH, Li S, Xu SW (2012) Dietary selenium regulation of transcript abundance of selenoprotein N and selenoprotein W in chicken muscle tissues. Biometals 25:297–307
Zhao FQ, Zhang ZW, Wang C, Zhang B, Yao HD, Li S, Xu SW (2013) The role of heat shock proteins in inflammatory injury induced by cold stress in chicken hearts. Cell Stress Chaperones 18:773–783
Zheng M, Kang YM, Liu W, Zang WJ, Bao CY, Qin DN (2012) Inhibition of cyclooxygenase-2 reduces hypothalamic excitation in rats with adriamycin-induced heart failure. PLoS One 7:e48771
Zhong W, Oberley TD (2001) Redox-mediated effects of selenium on apoptosis and cell cycle in the LNCaP human prostate cancer cell line. Cancer Res 61:7071–7078
Acknowledgments
This study was supported by the International Cooperation and Exchanges NSFC (31320103920), the National Natural Science Foundation of China (31272626), the Doctoral Fund of Ministry of Education of China (20122325110018), the Doctoral Fund of Harbin Normal University of China (220601085), the Study Abroad Foundation of Heilongjiang Province (LC201031).
Author information
Authors and Affiliations
Corresponding author
Rights and permissions
About this article
Cite this article
Yu, D., Zhang, Z., Yao, H. et al. The role of selenoprotein W in inflammatory injury in chicken immune tissues and cultured splenic lymphocyte. Biometals 28, 75–87 (2015). https://doi.org/10.1007/s10534-014-9804-x
Received:
Accepted:
Published:
Issue Date:
DOI: https://doi.org/10.1007/s10534-014-9804-x