Abstract
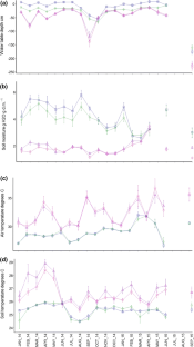
To accurately quantify tropical peatlands’ contribution to global greenhouse gas emissions, and to understand how emissions from peat may change in the future, long-term measurements over seasons and years are needed. Sampling soil respiration over a range of temperature and moisture conditions in the field is valuable for understanding how peat soil emissions may respond to climate change. We collected monthly measurements of total soil respiration, moisture and temperature from forest and smallholder oil palm plantations on peat in Central Kalimantan, Indonesia. Our study period, from January 2014 through September 2015, covered wet–dry transitions during 1 year with relatively normal precipitation and one El Niño year. Oil palm plots, with lower water table, had 22% higher total soil respiration (0.71 ± 0.04 g CO2 m−2 h−1) than forest plots (0.58 ± 0.04 g CO2 m−2 h−1) over the entire monitoring period. However, during the El Niño event in September 2015, despite overall lower water table levels in oil palm plots, total soil respiration was higher in forest (1.24 ± 0.20 g CO2 m−2 h−1) than in oil palm (0.90 ± 0.09 g CO2 m−2 h−1). Land-use change continues to be an important driver of carbon dioxide (CO2) emissions from Indonesian peatlands. However, the stronger response of total soil respiration to extreme drought in forest indicates the potential importance of climate regime in determining future net carbon (C) emissions from these ecosystems. Future warming and increased intensity of seasonal drying may increase C emissions from Indonesian peatlands, regardless of land-use.
This is a preview of subscription content, access via your institution.




References
Aini FK, Hergoualc'h K, Smith JU, Verchot L (2015) Nitrous oxide emissions along a gradient of tropical forest disturbance on mineral soils in Sumatra. Agric Ecosyst Environ 214:107–117
Austin KG, Kasibhatla PS, Urban DL (2015) Reconciling oil palm expansion and climate change mitigation in Kalimantan, Indonesia. PLoS ONE 10:5
Bray HR, Kurtz LT (1945) Determination of total, organic, and available forms of phosphorus in soils. Soil Sci 59:39–45
Cai W, Bolace S, Lengaigne M, van Rensch P, Collins M, Vecchi G, Timmermann A, Santoso A, McPhaden MJ, Wu L, England MW, Wange G, Guilyardi E, Jin FF (2014) Increasing frequency of extreme El Niño events due to greenhouse warming. Nat Clim Change 4:111–116
Chadwick R, Boutle I, Martin G (2013) Spatial patterns of precipitation change in CMIP5: why the rich do not get richer in the tropics. J Clim 26:3803–3822
Comeau LP, Hergoualc’h K, Smith S, Verchot L (2013) Conversion of intact peat swamp forest to palm plantation: effects on soil CO2 fluxes in Jambi, Sumatra. CIFOR Working Paper 110
Comeau LP, Hergoualc’h K, Hartill J, Smith J, Verchot LV, Peak D, Salim AM (2016) How do the heterotrophic and the total soil respiration of an oil palm plantation on peat respond to nitrogen fertilizer application? Geoderma 268:41–51
Dahnke WC (1990) Testing soils for available nitrogen. In: Westerman RL (ed) Soil testing and plant analysis. Soil Science Society of America Book Series 3. ASA, Madison, pp 120–140
Dariah A, Marwanto S, Agus F (2014) Root- and peat-based CO2 emissions from oil palm plantations. Mitig Adapt Strat Glob Change 19:831–843
Darmosarkoro W, Sutarta dan Winarna ES (2003) Teknologi pemupukan tanaman kelapa sawit Dalam Lahan dan Pemupukan Kelapa Sawit (Medan: Pusat Penelitian Kelapa Sawit), pp 113–34
Farmer J, Matthew R, Smith P, Langan C, Hergoualc’h K, Verchot L, Smith J (2014) Comparison of methods for quantifying soil carbon in tropical peats. Geoderma 214-215:177–183
Field RD, van der Werf GR, Fanin T, Fetzer EJ, Fuller R, Jethva H, Levy R, Livesey NJ, Luo M, Torres O, Worden HM (2016) Indonesian fire activity and smoke pollution in 2015 show persistent nonlinear sensitivity to El Niño-induced drought. Proc Natl Acad Sci 113:9204–9209
Gaveau D, Sheil D, Husnayaen M, Sanjiwana A, Ancrenaz M, Pacheco P, Meijaard E (2016) Rapid conversions and avoided deforestation: examining four decades of industrial plantation expansion in Borneo. Sci Rep 6:32017
Goodrick I, Nelson P, Nake S, Webb M, Bird M, Huth N (2016) Tree-scale variability of soil carbon cycling in a mature oil palm plantation. Soil Res 54:397–406
Gumbricht T, Roman-Cuesta RM, Verchot L, Herold M, Wittmann F, Householder E, Herold N, Murdiyarso D (2017) An expert system model for mapping tropical wetlands and peatlands reveals South America as the largest contributor. Glob Change Biol. https://doi.org/10.1111/gcb.13689
Hanson PJ, Edwards NT, Garten CT, Andrews JA (2000) Separating root and soil microbial contributions to soil respiration: a review of methods and observations. Biogeochemistry 48:115–146
Harrison M, Cheyne S, Sulistiyanto Y, Rieley JO (2007) Biological effects of smoke from dry-season fires in non-burnt areas of Sabangau peat swamp forest, Central Kalimantan, Indonesia. In: Proceedings of the international symposium and workshop on tropical peatland, Yogyakarta, pp 27–29
Hergoualc'h K, Verchot LV (2011) Stocks and fluxes of carbon associated with land use change in Southeast Asian tropical peatlands: a review. Global Biogeochem Cycles. 1:1–10. https://doi.org/10.1029/2009gb003718
Hergoualc’h K, Verchot LV (2014) Greenhouse gas emission factors for land use and land-use change in Southeast Asian peatlands. Mitig Adapt Strateg Global Change 19:789–807
Hergoualc’h K, Hendry DT, Murdiyarso D, Verchot LV (2017) Total and heterotrophic soil respiration in a swamp forest and oil palm plantations on peat in Central Kalimantan, Indonesia. Biogeochemistry 135:203–220
Hirano T, Segah H, Harada T, Limin S, June T, Hirata R, Osaki M (2007) Carbon dioxide balance of a tropical peat swamp forest in Kalimantan, Indonesia. Glob Change Biol 13:412–425
Hirano T, Jauhiainen J, Inoue T, Takahashi H (2009) Controls on the carbon balance of tropical peatlands. Ecosystems 12:873–887
Hirano T, Segah H, Kusin K, Limin S, Takahashi H, Osaki M (2012) Effects of disturbances on the carbon balance of tropical peat swamp forests. Glob Change Biol 18:3410–3422
Hodgkins S, Richardson C, Dommain R et al (2018) Tropical peatland carbon storage linked to global latitudinal trends in peat recalcitrance. Nat Commun 1:1–10. https://doi.org/10.1038/s41467-018-06050-2
Jauhiainen J, Takahashi H, Heikkinen J, Martikainen P, Vasander H (2005) Carbon fluxes from a tropical peat swamp forest floor. Glob Change Biol 11:1788–1797
Jauhiainen J, Hooijer A, Page SE (2012) Carbon dioxide emissions from Acacia plantations on peatland in Sumatra, Indonesia. Biogeosciences 9:617–630
Jauhiainen J, Silvennoinen H, Kononen M, Limin S, Vasandar H (2016) Management driven changes in carbon mineralization dynamics of tropical peatlands. Biogeochemistry 129:115–132
Khalid H, Zin ZZ, Anderson JM (1999) Quantification of oil palm biomass and nutrient value in a mature oil palm plantation: belowground biomass. J Oil Palm Res 11:63–71
Koh LP, Miettinen J, Liew SC, Ghazoul J (2011) Remotely sensed evidence of tropical peatland conversion to oil palm. Proc Natl Acad Sci USA 108:5127–5132
Kripalani R, Kulkarni A (1997) Rainfall variability over South-East Asia: connections with Indian monsoon and ENSO extremes: new perspectives. Int J Climatol 17:1155–1168
La Quéré C, Andrew R, Friedlingstein P et al (2018) Global carbon budget 2017. Earth Syst Sci Data. https://doi.org/10.5194/essd-10-405-2018
Lim KH, Lim SS, Parish F, Suarto R (2012) RSPO Manual on best management practices for existing oil palm cultivation on peat. Roundtable on Sustainable Palm Oil, Kuala Lumpur
Marwanto S, Agus F (2014) Is CO2 flux from oil palm plantations on peatland controlled by soil moisture and/or soil and air temperatures? Mitig Adapt Strat Glob Change 19:809–819
McLean EO (1982) Soil pH and lime requirement. In: Page AL et al (eds) Methods of soil analysis, part 2. Agronomy Monogr. 9, 2nd edn. ASA and SSSA, Madison, pp 199–223
Mehlich A (1984) Mehlich-3 soil test extractant: a modification of Mehlich-2 extractant. Commun Soil Sci Plant Anal 15:1409–1416
Melling L, Hatano R, Goh KJ (2005) Soil CO2 flux from three ecosystems in tropical peatland of Sarawak, Malaysia, Tellus B. Chem Phys Meteorol 57(1):1–11. https://doi.org/10.3402/tellusb.v57i1.16772
Miettinen J, Hooijer A, Shi C, Tollenaar D, Vernimmen R, Liew SC, Malins C, Page SE (2012) Extent of industrial plantations on Southeast Asian peatlands in 2010 with analysis of historical expansion and future projections. Glob Change Biol Bioenergy 4:908–918
Miettinen J, Shi C, Liew SC (2016) Land cover distribution in the peatlands of Peninsular Malaysia, Sumatra and Borneo in 2015 with changes since 1990. Global Ecol Conserv 6:67–78
Miettinen J, Hooijer A, Vernimmen R, Liew SC, Page SE (2017) From carbon sink to carbon source: extensive peat oxidation in insular Southeast Asia since 1990. Environ Res Lett 12:024014
National Climatic Data Center (2015) Global historical climate network. National Oceanic and Atmospheric Agency, United States of America. https://www.ncdc.noaa.gov/cdo-web/datasets
Nelson DW, Sommers LE (1996) Total carbon, organic carbon and organic matter. In: Bartels JM et al. (ed) Methods of soil analysis: part 3 chemical methods (3rd ed.) ASA and SSSA Book Series 5, Madison, pp 961–1010
Nelson PN, Banabas M, Scotter DR, Webb MJ (2006) Using soil water depletion to measure spatial distribution of root activity in oil palm (Elaeis guineensis Jacq.) plantations. Plant Soil 286:109–121
Novita N (2016) Carbon stocks and soil greenhouse gas emissions associated with forest conversion to oil palm plantations in Tanjung Puting tropical peatlands, Indonesia. PhD dissertation. Oregon State University
Obidzinski K, Andriani R, Komarudin H, Andrianto A (2012) Environmental and social impacts of oil palm plantations and their implications for biofuel production in Indonesia. Ecol Soc 17:25
Power S, Delage F, Chung C, Kociuba G, Keay K (2013a) Robust twenty-first-century projections of El Niño and related precipitation variability. Nature 502:541–545
Power S, Delage F, Chung C, Kociuba G, Keay K (2013b) Robust twenty-first-century projections of El Nino and related precipitation variability. Nature 502:541–545
Prentice IC et al (2001) The carbon cycle and atmospheric carbon dioxide. In: Climate change 2001: the scientific basis. In: Contribution of working group I to the third assessment report of the intergovernmental panel on climate change [Houghton, JT, et al (ed)]. Cambridge University Press, Cambridge, pp 183–237
Pumpanen J, Longdoz B, Kutsch WL (2009) Field measurements of soil respiration: principles and constraints, potentials and limitations of different methods. In: Heinemeyer A et al (eds) Soil carbon dynamics-an integrated methodology. Cambridge University Press, Cambridge, pp 16–33
Swails E, Jaye D, Verchot L, Hergoualc’h K, Schirrmann M, Borchard N, Wahyuni N, Lawrence D (2018) Will CO2 emissions from drained tropical peatlands decline over time? Links between soil organic matter quality, nutrients, and C mineralization rates. Ecosystems 21:868–885
Tibshirani R (1996) Regression shrinkage and selection via the Lasso. J R Stat Soc 58:267–288
Warren MW, Kauffman JB, Murdiyarso D, Anshari G, Hergoalc’h K, Kurnianto S, Purbopuspito J, Gusmayanti E, Afifudin M, Rahajoe J, Alhamd L, Limin S, Iswandi A (2012) A cost-efficient method to assess carbon stocks in tropical peat soil. Biogeosciences 9:4477–4485
Author information
Authors and Affiliations
Corresponding author
Additional information
Responsible Editor: R. Kelman Wieder
Electronic supplementary material
Below is the link to the electronic supplementary material.
Rights and permissions
About this article
Cite this article
Swails, E., Hertanti, D., Hergoualc’h, K. et al. The response of soil respiration to climatic drivers in undrained forest and drained oil palm plantations in an Indonesian peatland. Biogeochemistry 142, 37–51 (2019). https://doi.org/10.1007/s10533-018-0519-x
Received:
Accepted:
Published:
Issue Date:
DOI: https://doi.org/10.1007/s10533-018-0519-x
Keywords
- Indonesia
- Peat
- Land-use
- Oil palm
- Soil respiration
- Climate change