Abstract
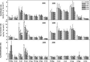
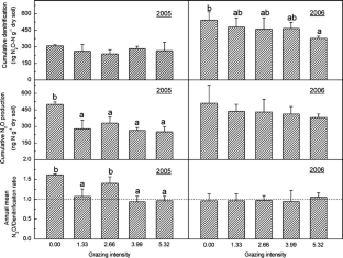
N2O production from denitrification in soils contributes to the enhanced greenhouse effect and the destruction of the stratospheric ozone. Ungulate grazing affects denitrification and the production of N2O. The short-term effect of grazing on denitrification and N2O production has been examined in several grassland ecosystems. However, the effects of long-term grazing have rarely been studied. We measured denitrification and N2O production during the 2005 and 2006 growing seasons in a long-term (17 years) experiment that had five grazing intensities (GI; 0.00, 1.33, 2.67, 4.00 and 5.33 sheep ha−1). We found that denitrification and N2O production rates were seasonally variable during the measurement period, with higher values observed in summer and lower values found in spring and autumn. The grazed treatments resulted in decreased denitrification and N2O production, primarily due to the reduced soil nitrate concentration and organic N content under the long-term grazing. This supported our hypothesis that long-term over-grazing suppresses denitrification and N2O production. Although significant differences in denitrification and N2O production were not found between the four GI, there was a general trend that cumulative denitrification and N2O production decreased as grazing intensity increased, especially in 2006. Lower N losses via denitrification and N2O production in the grazed plots, to some extent, may contribute to the mitigation of greenhouse gas emission and help to preserve soil N and ameliorate the negative impacts of grazing on plant growth, productivity, and ecological restoration processes in the temperate steppe in northern China.






Similar content being viewed by others
Explore related subjects
Discover the latest articles and news from researchers in related subjects, suggested using machine learning.References
Aulakh MS, Doran JW, Mosier AR (1992) Soil denitrification-significant, measurement, and effect of management. Adv Soil Sci 18:1–57
Barger NN, Ojima DS, Belnap J, Wang S, Wang Y, Chen Z (2004) Changes in plant functional groups, litter quality, and soil carbon and nitrogen mineralization with sheep grazing in an Inner Mongolian Grassland. J Range Manage 57:613–619
Billings SA, Schaeffer SM, Evans RD (2002) Trace N gas losses and N mineralization in an intact Mojave Desert ecosystem with elevated CO2. Soil Biol Biochem 34:1777–1784
Biondini ME, Patton BD, Nyren PE (1998) Grazing intensity and ecosystem processes in a northern mixed-grass prairie, USA. Ecol Appl 8:469–479
Carrasco D, Fernandez-Valiente E, Ariosa Y, Quesada A (2004) Measurement of coupled nitrification–denitrification in paddy fields affected by Terrazole, a nitrification inhibitor. Biol Fertil Soils 39:186–192
Chatskikh D, Olesen JE, Berntsen J, Regina K, Yamulki S (2005) Simulation of effect of climate, soils and management on N2O emission from grasslands. Biogeochemistry 76:395–419
Cicerone RJ (1987) Changes in stratospheric ozone. Science 237:35–42
De Klein CAM, van Logtestijn RSP (1994) Denitrification in the top soil of managed grasslands in the Netherlands in relation to the soil type and fertilizer level. Plant Soil 163:33–44
Estavillo JM, Rodriguez M, Domingo M, Munoz-Rueda A, Gonzalez-Murua C (1994) Denitrification losses from a natural grassland in the Basque Country under organic and inorganic fertilization. Plant Soil 162:19–29
Finlayson-Pitts BJ, Pitts NJ Jr (2000) Chemistry of the upper and lower atmosphere. Academic Press, San Diego, pp 969
Frank DA, Groffman PM (1998) Denitrification in a semi-arid grazing ecosystem. Oecologia 117:564–569
Frank DA, Groffman PM, David ER, Tracy BF (2000) Ungulates stimulation of nitrogen cycling and retention in Yellowstone Park grasslands. Oecologia 123:116–121
Groffman PM, Rice CW, Tiedje JM (1993) Denitrification in a tallgrass prairie landscape. Ecology 74:855–862
Hamilton EW, Frank DA (2001) Can plants stimulate soil microbes and their own nutrient supply? Evidence from a grazing tolerant grass. Ecology 82:2397–2402
Kang L, Han XG, Zhang ZB, Sun OJ (2007) Grassland ecosystems in China: review of current knowledge and research advancement. Philos Trans R Soc 362:997–1008
Koops JG, van Beusichem ML, Oenema O (1997) Nitrogen loss from grassland on peat soils through nitrous oxide production. Plant Soil 188:119–130
Le Roux X, Bardy M, Loiseau P, Louault F (2003) Stimulation of soil nitrification and denitrification by grazing in grasslands: do changes in plant species composition matter? Oecologia 137:417–425
Le Roux X, Abbadie L, Fritz H, Leriche H (2006) Modification of the savanna functioning by herbivores. In: Abbadie L, Gignoux J, Le Roux X, Lepage M (eds) Lamto: structure. Functioning and dynamics of a Savanna ecosystem. Ecological studies. Springer Verlag, New York, pp 158–169
Li SG, Harazono Y, Oikawa T, Zhao HL, He ZY, Chang XL (2000) Grassland desertification by grazing and the resulting micrometeorological changes in Inner Mongolia. Agric For Meteorol 102:125–137
Lowrance R, Robert K, Hubbard PK (2001) Denitrification from a swine lagoon overland flow treatment system at a pasture-riparian zone interface. J Environ Qual 30:617–624
Luo J, Tillman RW, Ball PR (1999) Grazing effects on denitrification in a soil under pasture during two contrasting seasons. Soil Biol Biochem 31:903–912
Magg MF, Vinther P (1999) Effect of temperature and water on gaseous emissions from soils treated with animal slurry. Soil Sci Soc Am J 63:858–865
Menneer JC, Ledgard S, Mclay C, Silvester W (2005) Animal treading stimulates denitrification in soil under pasture. Soil Biol Biochem 37:1625–1629
Oenema O, Boers PCM, Van Eerdt MM, Fraters B, Van DerMeer HG, Roest CWJ, Schröder JJ, Willems WJ (1998) Leaching of nitrate from agriculture to groundwater: the effect of policies and measures in the Netherlands. Environ Pollut 102:471–478
Peterjohn WT (1991) Denitrifcation: enzyme content and activity in desert soils. Soil Biol Biochem 23:845–855
Peterjohn WT, Schlesinger WH (1990) Nitrogen loss from deserts in the southwestern United States. Biogeochemistry 10:67–79
Peterjohn WT, Schlesinger WH (1991) Factors controlling denitrification in a Chihuahuan Desert ecosystem. Soil Sci Soc Am J 55:1694–1701
Pinay G, Gumiero B1, Tabacchi E, Gimenez O, Tabacchi-Planty AM, Hefting MM, Burt TP, Black VA, Nilsson C, Iordache V, Bureau F, Vought L, Petts GE, Décamps H (2007) Patterns of denitrification rates in European alluvial soils under various hydrological regimes. Freshw Biol 52:252–266
Poe AC, Piehler MF, Suzanne P, Thompson SP, Paerl HW (2003) Denitrification in a constructed wetland receiving agricultural runoff. Wetlands 23:817–826
Rudaz AO, Wälti E, Kyburz G, Lehmann P, Fuhrer J (1999) Temporal variation in N2O and N2 fluxes from a permanent pasture in Switzerland in relationship to management, soil water content and soil temperature. Agric Ecosyst Environ 73:83–91
Ruz-Jerez BE, White RE, Ball PR (1994) Long-term measurement of denitrification in three contrasting pastures grazed by sheep. Soil Biol Biochem 26:29–39
Ryden JC (1983) Denitrification loss from a grassland soil in the field receiving different rates of nitrogen as ammonium nitrate. J Soil Sci 34:355–365
Ryden JC, Skinner JH, Nixon DJ (1987) Soil core incubation system for the field measurement of denitrification using acetylene-inhibition. Soil Biol Biochem 19:753–757
Saggar S, Andrew RM, Tate KR, Hedley CB, Rodda NJ, Townsend JA (2004) Modelling nitrous oxide emissions from New Zealand dairy grazed pastures. Nutr Cycl Agroecosyst 68:243–255
Skiba U, Smith KA, Fowler D (1993) Nitrification and denitrification as sources of nitric oxide in a sandy loam soil. Soil Biol Biochem 25:1527–1536
Strong DT, Fillery IRP (2002) Denitrification response to nitrate concentrations in sandy soils. Soil Biol Biochem 34:945–954
Tiedje JM (1982) Denitrification. In: Page AL (ed) Methods of soil analysis, part 2, 2nd edn. Am Soc Agric, Madison, pp 1011–1026
Venterink HO, Davidsson TE, Kiehl K, Leonardson L (2002) Impact of drying and re-wetting on N, P and K dynamics in a wetland soil. Plant Soil 243:119–130
Virginia RA, Jarrell WM, Franco-Vizcaino E (1982) Direct measurement of denitrification in a Prosopis (mesquite) dominated Sonoran Desert ecosystem. Oecologia 53:120–122
Wang Y, Xue M, Zheng X, Ji B, Du R, Wang Y (2005) Effects of environmental factors on N2O emission from and CH4 uptake by the typical grasslands in the Inner Mongolia. Chemosphere 58:205–215
Wang C, Wan S, Xing X, Zhang L, Han X (2006) Temperature and soil moisture interactively affected soil net N mineralization in temperate grassland in Northern China. Soil Biol Biochem 38:1101–1110
Wrage N, Velthof GL, van Beusichen ML, Oenema O (2001) Role of nitrifier denitrification in the production of nitrous oxide. Soil Biol Biochem 33:1723–1732
Xu Y, Li L, Wang Q, Chen Q, Cheng W (2007) The pattern between nitrogen mineralization and grazing intensities in an Inner Mongolian typical steppe. Plant Soil 300:289–300
Yoshinari T, Hynes R, Knowles R (1977) Acetylene inhibition of nitrous oxide reduction and measurement of denitrification and nitrogen fixation in soil. Soil Biol Biochem 9:177–183
Acknowledgments
We thank the staff of the permanent meteorological station of Inner Mongolian Grassland Ecosystem Research Station, the Chinese Academy of Sciences for providing the meteorological data, Dr. Shiping Wang for the maintenance of the field experiment plot. We would like to express our gratitude for the valuable and constructive comments from the anonymous reviewers, and we are also highly appreciative of the editor’s care and much patience in handling our manuscript. This study was supported by the National Natural Science foundation of China (30670347, 30521002) and the State Key Basic Research Development Program of China (No. 2007CB106800).
Author information
Authors and Affiliations
Corresponding author
Rights and permissions
About this article
Cite this article
Xu, Y., Wan, S., Cheng, W. et al. Impacts of grazing intensity on denitrification and N2O production in a semi-arid grassland ecosystem. Biogeochemistry 88, 103–115 (2008). https://doi.org/10.1007/s10533-008-9197-4
Received:
Accepted:
Published:
Issue Date:
DOI: https://doi.org/10.1007/s10533-008-9197-4


