Skip to main content

Biological degradation of 4-chlorobenzoic acid by a PCB-metabolizing bacterium through a pathway not involving (chloro)catechol

Abstract

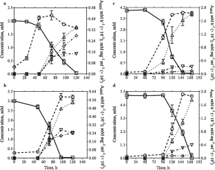
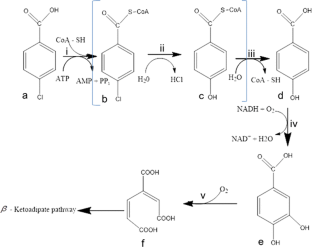
Cupriavidus sp. strain SK-3, previously isolated on polychlorinated biphenyl mixtures, was found to aerobically utilize a wide spectrum of substituted aromatic compounds including 4-fluoro-, 4-chloro- and 4-bromobenzoic acids as a sole carbon and energy source. Other chlorobenzoic acid (CBA) congeners such as 2-, 3-, 2,3-, 2,5-, 3,4- and 3,5-CBA were all rapidly transformed to respective chlorocatechols (CCs). Under aerobic conditions, strain SK-3 grew readily on 4-CBA to a maximum concentration of 5 mM above which growth became impaired and yielded no biomass. Growth lagged significantly at concentrations above 3 mM, however chloride elimination was stoichiometric and generally mirrored growth and substrate consumption in all incubations. Experiments with resting cells, cell-free extracts and analysis of metabolite pools suggest that 4-CBA was metabolized in a reaction exclusively involving an initial hydrolytic dehalogenation yielding 4-hydroxybenzoic acid, which was then hydroxylated to protocatechuic acid (PCA) and subsequently metabolized via the β-ketoadipate pathway. When strain SK-3 was grown on 4-CBA, there was gratuitous induction of the catechol-1,2-dioxygenase and gentisate-1,2-dioxygenase pathways, even if both were not involved in the metabolism of the acid. While activities of the modified ortho- and meta-cleavage pathways were not detectable in all extracts, activity of PCA-3,4-dioxygenase was over ten-times higher than those of catechol-1,2- and gentisate-1,2-dioxygenases. Therefore, the only reason other congeners were not utilized for growth was the accumulation of CCs, suggesting a narrow spectrum of the activity of enzymes downstream of benzoate-1,2-dioxygenase, which exhibited affinity for a number of substituted analogs, and that the metabolic bottlenecks are either CCs or catabolites of the modified ortho-cleavage metabolic route.

This is a preview of subscription content, access via your institution.

Fig. 1
Fig. 2
Fig. 3
Fig. 4

References

  • Adebusoye SA, Mileto M (2011) Characterization of multiple chlorobenzoic acid-degrading bacteria from pristine and contaminated sites: metabolism of 2,4-diCBA. Bioresour Technol 102:3041–3048

    CAS  Article  PubMed  Google Scholar 

  • Adebusoye SA, Picardal FW, Ilori MO, Amund OO, Fuqua C, Grindle N (2007) Growth on dichlorobiphenyls with chlorine substitution on each ring by bacteria isolated from contaminated African soils. Appl Microbiol Biotechnol 74:484–492

    CAS  Article  PubMed  Google Scholar 

  • Adebusoye SA, Picardal FW, Ilori MO, Amund OO (2008) Influence of chlorobenzoic acids on the growth and degradation potentials of PCB-degrading microorganisms. World J Microbiol Biotechnol 24:1203–1208

    CAS  Article  Google Scholar 

  • Anderson JJ, Dagley S (1980) Catabolism of aromatic acids in Trichosporon cutaneum. J Bacteriol 141:534–543

    CAS  PubMed  PubMed Central  Google Scholar 

  • Arensdorf JJ, Focht DD (1994) Formation of chlorocatechol meta cleavage prodcuts by a pseudomonad during metabolism of monochlorobiphenyls. Appl Environ Microbiol 60:2884–2889

    CAS  PubMed  PubMed Central  Google Scholar 

  • Arensdorf JJ, Focht DD (1995) A meta cleavage pathway for 4-chlorobenzoate, an intermediate in the metabolism of 4-chlorobiphenyl by Pseudomonas cepacia P166. Appl Environ Microbiol 61:443–447

    CAS  PubMed  PubMed Central  Google Scholar 

  • Chaudhry GR, Chapalamadugu S (1991) Biodegradation of halogenated organic compounds. Microbiol Rev 55:59–79

    CAS  PubMed  PubMed Central  Google Scholar 

  • Crawford RL, Bromley JW, Perkins-Olson PE (1979) Catabolism of protocatechuate by Bacillus macerans. Appl Environ Microbiol 37:614–618

    CAS  PubMed  PubMed Central  Google Scholar 

  • Crooks GP, Copley SD (1994) Purification and characterization of 4-chlorobenzoyl CoA dehalogenase from Arthrobacter sp. strain 4-CB1. Biochemistry 33:11645–11649

    CAS  Article  PubMed  Google Scholar 

  • Dhar A, Lee K-S, Dhar K, Rosazza JPN (2007) Nocardia sp. vanillic acid decarboxylase. Enzyme Microb Technol 41:271–277

    CAS  Article  Google Scholar 

  • Dorn E, Hellwig M, Reineke W, Knackmuss H-J (1974) Isolation and characterisation of a 3-chlorobenzoate degrading pseudomonad. Arch Microbiol 99:61–70

    Article  PubMed  Google Scholar 

  • Dua M, Singh A, Sethunathan N, Johri AK (2002) Biotechnology ad bioremediation: successes and limitations. Appl Microbiol Biotechnol 59:143–152

    CAS  Article  PubMed  Google Scholar 

  • EEA (2014) Progress in management of contaminated sites (CSI 015/LSI 003) - Assessment published May 2014. In: http://www.eea.europa.eu/data-and-maps/indicators/progress-in-management-of-contaminated-sites-3/assessment. Accessed 14 May 2015

  • Gibson DT, Koch JR, Kallio RE (1968) Oxidative degradation of aromatic hydrocarbons by microorganisms. I. Enzymatic formation of catechol from benzene. Biochemistry 7:2653–2662

    CAS  Article  PubMed  Google Scholar 

  • Grund E, Knorr C, Eichenlaub R (1990) Catabolism of benzoate and monohydroxylated benzoates by Amycolatopsis and Streptomyces spp. Appl Environ Microbiol 56:1459–1464

    CAS  PubMed  PubMed Central  Google Scholar 

  • Hickey WJ, Focht DD (1990) Degradation of mono-, di-, and trihalogenated benzoic acids by Pseudomonas aeruginosa JB2. Appl Environ Microbiol 56:3842–3850

    CAS  PubMed  PubMed Central  Google Scholar 

  • Holtze MS, Hansen HCB, Juhler RK, Sørensen J, Aamand J (2007) Microbial degradation pathways of the herbicide dichlobenil in soils with different history of dichlobenil-exposure. Environ Pollut 148:343–351

    CAS  Article  PubMed  Google Scholar 

  • Ilori MO, Robinson GK, Adebusoye SA (2008) Degradation and mineralization of 2-chloro-, 3-chloro- and 4-chlorobiphenyl by a newly characterized natural bacterial strain isolated from an electrical transformer fluid-contaminated soil. J Environ Sci 20:1–8

    Article  Google Scholar 

  • Kim S, Picardal FW (2000) A novel bacterium that utilizes monochlorobiphenyls and 4-chlorobenzoate as growth substrates. FEMS Microbiol Lett 185:225–229

    CAS  Article  PubMed  Google Scholar 

  • Kim S, Picardal FW (2001) Microbial growth on dichlorobiphenyls chlorinated on both rings as a sole carbon and energy source. Appl Environ Microbiol 67:1953–1955

    CAS  Article  PubMed  PubMed Central  Google Scholar 

  • Krooneman J, Wieringa EBA, Moore ERB, Gerritse J, Prins RA, Gottschal JC (1996) solation of Alcaligenes sp. strain L6 at low oxygen concentrations and degradation of 3-chlorobenzoate via a pathway not involving (chloro)catechols. Appl Environ Microbiol 62:2427–2434

    CAS  PubMed  PubMed Central  Google Scholar 

  • Kunze M, Zerlin KF, Retzlaff A, Pohl JO, Schmidt E, Janssen DB et al (2009) Degradation of chloroaromatics by Pseudomonas putida GJ31: assembled route for chlorobenzene degradation encoded by clusters on plasmid pKW1 and the chromosome. Microbiology 155:4069–4083

    CAS  Article  PubMed  Google Scholar 

  • Lau EY, Bruice TC (2001) The active site dynamics of 4-chlorobenzoyl-CoA dehalogenase. Proc Nat Acad Sci 98:9527–9532

    CAS  Article  PubMed  PubMed Central  Google Scholar 

  • Lupa B, Lyon D, Shaw LN, Sieprawska-Lupa M, Wiegel J (2008) Properties of the reversible nonoxidative vanillate/4-hydroxybenzoate decarboxylase from Bacillus subtilis. Can J Microbiol 54:75–81

    CAS  Article  PubMed  Google Scholar 

  • Marín M, Plumeier I, Pieper DH (2010) Degradation of 2,3-dihydroxybenzoate by a novel meta-cleavage pathway. J Bacteriol 194:3851–3860

    Article  Google Scholar 

  • Marks TS, Smith ARW, Quirk AV (1984) Degradation of 4-chlorobenzoic acids by Arthrobacter sp. Appl Environ Microbiol 48:1020–1025

    CAS  PubMed  PubMed Central  Google Scholar 

  • Mars AE, Kasberg T, Kaschabek SR, Van Agteren MH, Janssen DB, Reineke W (1997) Microbial degradation of chloroaromatics: use of the meta-cleavage pathway for mineralization of chlorobenzene. J Bacteriol 179:4530–4537

    CAS  Article  PubMed  PubMed Central  Google Scholar 

  • Middelhoven WJ, Coenen A, Kraakman B, Gelpke MDS (1992) Degradation of some phenols and hydroxybenzoates by the imperfect ascomycetous yeasts Candida parapsilosis and Arxula adeninivorans: evidence for an operative gentisate pathway. Antonie Van Leeuwenhoek 62:181–187

    CAS  Article  PubMed  Google Scholar 

  • Miguez CB, Greer CW, Ingram JM (1990) Degradation of mono- and dichlorobenzoic acids isomers by two natural isolates of Alcaligenes denitrificans. Arch Microbiol 154:139–143

    CAS  Article  PubMed  Google Scholar 

  • Nikodem P, Hecht V, Schlomann M, Pieper DH (2003) New bacterial pathway for 4- and 5-chlorosalicylate degradation via 4-chlorocatechol and maleylacetate in Pseudomonas sp. strain MT1. J Bacteriol 185:6790–6800

    CAS  Article  PubMed  PubMed Central  Google Scholar 

  • Pandey J, Chauhan A, Jain RK (2009) Integrative approaches for assessing the ecological sustainability of in situ bioremediation. FEMS Microbiol Rev 33:324–375

    CAS  Article  PubMed  Google Scholar 

  • Pfennig N, Lippert KD (1966) Über das vitamin B12-bedürfnis phototropher Schwefelbakterien. Arch Microbiol 55:245–256

    CAS  Google Scholar 

  • Radice F, Orlandi V, Massa V, Battini V, Bertoni G, Reineke W, Barbieri P (2007) Cloning of the Arthrobacter sp. FG1 dehalogenase genes and construction of hybrid pathways in Pseudomonas putida strains. Appl Microbiol Biotechnol 75:1111–1118

    CAS  Article  PubMed  Google Scholar 

  • Reineke W (1984) Microbial degradation of halogenated aromatic compounds. In: Gibson DT (ed) Microbial degradation of organic compounds. Marcel Dekker Inc, New York, pp 319–360

    Google Scholar 

  • Reineke W, Knackmuss H-J (1978) Chemical structure and biodegradability of halogenated aromatic compounds. Substituent effects on 1,2-dioxygenation of benzoic acid. Biochim Biophys Acta 542:412–423

    CAS  Article  PubMed  Google Scholar 

  • Romanov V, Hausinger RP (1996) NADPH-dependent reductive ortho dehalogenation of 2,4-dichlorobenzoic acid in Corynebacterium sepedonicum KZ-4 and Coryneform bacterium strain NTB-1 via 2,4-dichlorobenzoyl coenzyme A. J Bacteriol 178:2656–2661

    CAS  Article  PubMed  PubMed Central  Google Scholar 

  • Schlomann M, Fischer P, Schmidt E, Knackmuss H-J (1990) Enzymatic formation, stability and spontaneous reactions of 4-fluoromuconolactone, a metabolite of the bacterial degradation of 4-fluorobenzoate. J Bacteriol 172:5119–5129

    CAS  Article  PubMed  PubMed Central  Google Scholar 

  • Sietmann R, Uebe R, Böer E, Bode R, Kunze G, Schauer F (2010) Novel metabolic routes during the oxidation of hydroxylated aromatic acids by the yeast Arxula adeninivorans. J Appl Microbiol 108:789–799

    CAS  Article  PubMed  Google Scholar 

  • Smith MR (1990) The biodegradation of aromatic compounds by bacteria. In: Ratledge C (ed) Physiology of biodegradative microorganisms. Kluwer Academic Publishers, Dordrecht, pp 191–206

    Google Scholar 

  • Stanier RY, Ingram JI (1954) Protocatechuic acid oxidase. J Biol Chem 210:799–955

    CAS  PubMed  Google Scholar 

  • Suemori A, Nakajima K, Kurane R, Nakamura Y (1995) o-, m- and p-Hydroxybenzoate degradative pathways in Rhodococcus erythropolis. FEMS Microbiol Lett 125:31–36

    CAS  Article  PubMed  Google Scholar 

  • Thiele J, Muller R, Lingens F (1987) Initial characterization of 4-chlorobenzoate dehalogenase from Pseudomonas sp. FEMS Microbiol Lett 41:115–119

    CAS  Article  Google Scholar 

  • Thompson IP, van der Gast CJ, Ciric L, Singer AC (2005) Bioaugmentation for bioremediation: the challenge of strain selection. Environ Microbiol 7:909–915

    CAS  Article  PubMed  Google Scholar 

  • USEPA (2015) Final national priorities list (NPL) Sites. In: http://www.epa.gov/superfund/sites/query/queryhtm/nplfin.htm. Accessed 14 May 2015

  • van den Tweel WJH, ter Burg N, Kok JB, de Bont JAM (1986) Bioformation of 4-hydroxybenzoate from 4-chlorobenzoate by Alcaligenes denitrificans NTB-1. Appl Microbiol Biotechnol 25:289–294

    Article  Google Scholar 

  • Vilo C, Benedik MJ, Ilori M, Dong Q (2014) Draft genome sequence of Cupriavidus sp. strain SK-3, a 4-chlorobiphenyl- and 4-chlorobenzoic acid-degrading bacterium. Genome Announc 2(4):e00664. doi:10.1128/genomeA.00664-14

    PubMed  PubMed Central  Google Scholar 

  • Vrana B, Dercova K, Balaz S, Sevcikova A (1996) Effect of chlorobenzoates on the degradation of polychlorinated biphenyls (PCB) by Pseudomonas stutzeri. World J Microbiol Biotechnol 12:323–326

    CAS  Article  PubMed  Google Scholar 

  • Wang G, Li R, Li S, Jiang J (2010) A novel hydrolytic dehalogenase for the chlorinated aromatic compound chlorothalonil. J Bacteriol 192:2737–2745

    CAS  Article  PubMed  PubMed Central  Google Scholar 

  • Wheelis ML, Palleroni NJ, Stanier RY (1967) The metabolism of aromatic acids by Pseudomonas testosteroni and P. acidovorans. Arch Microbiol 59:302–314

    CAS  Google Scholar 

  • Zhang W, Wei Y, Luo L, Taylor KL, Yang G, Dunaway-Mariano D et al (2001) Histidine 90 function in 4-chlorobenzoyl-coenzyme a dehalogenase catalysis. Biochemistry 40:13474–13482

    CAS  Article  PubMed  Google Scholar 

Download references

Acknowledgments

The author would like to thank Prof. Walter Reneike for his technical advice, likewise Dr. Flynn Picardal for providing a culture of strain SK-3. This investigation was supported by Alexander von Humboldt Foundation, Federal Republic of Germany.

Author information

Affiliations

Authors

Corresponding author

Correspondence to Sunday A. Adebusoye.

Ethics declarations

Conflict of Interest

The author declares no conflict of interest.

Ethical approval

This article does not contain any studies with human participants or animals performed by the author.

Rights and permissions

Reprints and Permissions

About this article

Verify currency and authenticity via CrossMark

Cite this article

Adebusoye, S.A. Biological degradation of 4-chlorobenzoic acid by a PCB-metabolizing bacterium through a pathway not involving (chloro)catechol. Biodegradation 28, 37–51 (2017). https://doi.org/10.1007/s10532-016-9776-3

Download citation

  • Received:

  • Accepted:

  • Published:

  • Issue Date:

  • DOI: https://doi.org/10.1007/s10532-016-9776-3

Keywords

  • Hydrolytic dehalogenation
  • Chlorobenzoic acid
  • Biodegradation
  • Protocatehuate-3,4-dioxygenase
  • Chlorocatechol