Skip to main content

Biodegradation of α- and β-endosulfan by soil bacteria

Abstract

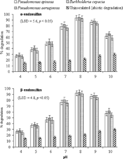
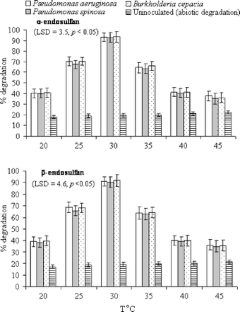
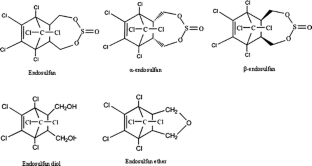
Extensive applications of persistent organochlorine pesticides like endosulfan on cotton have led to the contamination of soil and water environments at several sites in Pakistan. Microbial degradation offers an effective approach to remove such toxicants from the environment. This study reports the isolation of highly efficient endosulfan degrading bacterial strains from soil. A total of 29 bacterial strains were isolated through enrichment technique from 15 specific sites using endosulfan as sole sulfur source. The strains differed substantially in their potential to degrade endosulfan in vitro ranging from 40 to 93% of the spiked amount (100 mg l−1). During the initial 3 days of incubation, there was very little degradation but it got accelerated as the incubation period proceeded. Biodegradation of endosulfan by these bacteria also resulted in substantial decrease in pH of the broth from 8.2 to 3.7 within 14 days of incubation. The utilization of endosulfan was accompanied by increased optical densities (OD595) of the broth ranging from 0.511 to 0.890. High performance liquid chromatography analyses revealed that endosulfan diol and endosulfan ether were among the products of endosulfan metabolism by these bacterial strains while endosulfan sulfate, a persistent and toxic metabolite of endosulfan, was not detected in any case. The presence of endosulfan diol and endosulfan ether in the bacterial metabolites was further confirmed by GC-MS. Abiotic degradation contributed up to 21% of the spiked amount. The three bacterial strains, Pseudomonas spinosa, P. aeruginosa, and Burkholderia cepacia, were the most efficient degraders of both α- and β-endosulfan as they consumed more than 90% of the spiked amount (100 mg l−1) in the broth within 14 days of incubation. Maximum biodegradation by these three selected efficient bacterial strains was observed at an initial pH of 8.0 and at an incubation temperature of 30°C. The results of this study may imply that these bacterial strains could be employed for bioremediation of endosulfan polluted soil and water environments.

This is a preview of subscription content, access via your institution.

Fig. 1
Fig. 2
Fig. 3

References

  • Ahad K, Anwar T, Ahmad I, Mohammad A, Tahir S, Aziz S, Baloch UK (2000) Determination of insecticide residues in groundwater of Mardan Division, NWFP, Pakistan: a case study. Water SA 26:409–412

    CAS  Google Scholar 

  • Alexander M (1977) Introduction to soil microbiology. John Wiley and Sons, New York

    Google Scholar 

  • Awasthi N, Manickam N, Kumar A (1997) Biodegradation of endosulfan by a bacterial coculture. Bull Environ Contam Toxicol 59:928–934

    Article  CAS  Google Scholar 

  • Awasthi N, Singh AK, Jain RK, Khangarot BS, Kumar A (2003) Degradation and detoxification of endosulfan isomers by a defined co-culture of two Bacillus strains. Appl Microbiol Biotechnol 62:279–283

    Article  CAS  Google Scholar 

  • Chaudhuri K, Selvaraj S, Pal AK (1999) Studies on the genotoxicity of endosulfan in bacterial systems. Mutat Res 439:63–67

    CAS  Google Scholar 

  • Filonov AE, Puntus IF, Karpov AV, Kosheleva IA, Akhmetov LI, Yonge DR, Petersen JN, Boronin AM (2006) Assessment of naphthalene biodegradation efficiency of Pseudomonas and Burkholderia strains tested in soil model systems. J Chem Technol Biotechnol 81:216–224

    Article  CAS  Google Scholar 

  • Flores-Vargas RD, O’Hara GW (2006) Isolation and characterization of rhizosphere bacteria with potential for biological control of weeds in vineyards. J Appl Microbiol 100:946–954

    Article  CAS  Google Scholar 

  • Guerin TF, Kennedy IR (1992) Distribution and dissipation of endosulfan and related cyclodienes in sterile aqueous systems: implications for studies on biodegradation. J Agri Food Chem 40:2315–2323

    Article  CAS  Google Scholar 

  • Kim YK, Kim SH, Choi SC (2001) Kinetics of endosulfan degradation by Phanerochaete chrysosporium. Biotechnol Lett 23:163–166

    Article  CAS  Google Scholar 

  • Knoevenagel K, Himmelreich R (1976) Degradation of compounds containing carbon atoms by photo-oxidation in the presence of water. Arch Environ Contam Toxicol 4:324–333

    Article  CAS  Google Scholar 

  • Kumar M, Philip L (2006) Enrichment and isolation of a mixed bacterial culture for complete mineralization of endosulfan. J Environ Sci Health 41:81–96

    Article  CAS  Google Scholar 

  • Kullman SW, Matsumura F (1996) Metabolic pathway utilized by Phanerochete chrysosporium for degradation of the cyclodiene pesticide endosulfan. Appl Environ Microbiol 62:593–600

    CAS  Google Scholar 

  • Kwon GS, Kim JE, Kim TK, Sohn HY, Koh SC, Shin KS, Kim DG (2002) Klebsiella pneumoniae KE-1 degrades endosulfan without formation of the toxic metabolite, endosulfan sulfate. FEMS Microbiol Lett 215:255–259

    Article  CAS  Google Scholar 

  • Masood SZ, Hassan N (1995) Pesticides residues in food stuffs in Pakistan organochlorine, organophosphorus and pyrethroid insecticides in fruits and vegetables. In: Richardson ML (ed) Environmental toxicology assessment. Taylor & Francis, England

    Google Scholar 

  • Nazli ZH, Arshad M, Khalid A (2003) 2-Keto-4-methylthiobutyric acid-dependent biosynthesis of ethylene in soil. Biol Fertil Soils 37:130–135

    CAS  Google Scholar 

  • Paul V, Balasubramaniam E (1997) Effects of single and repeated administration of endosulfan on behavior and its interaction with centrally acting drugs in experimental animals: a mini review. Environ Toxicol Pharmacol 3:151–157

    Article  CAS  Google Scholar 

  • Prescot LM, Harley JP, Klein DA (1993) Microbiology. WCB Communications, Dubuque

    Google Scholar 

  • Radehaus PM, Schmidt SK (1992) Characterization of a novel Pseudomonas sp. that mineralizes high concentrations of pentachlorophenol. Appl Environ Microbiol 58:2879–2885

    CAS  Google Scholar 

  • Rao DMR, Murty AS (1980) Persistence of endosulfan in soils. J Agri Food Chem 28:1099–1101

    Article  CAS  Google Scholar 

  • Siddique T, Okeke BC, Arshad M, Frankenberger WT Jr (2003a) Enrichment and isolation of endosulfan-degrading microorganisms. J Environ Qual 32:47–54

    CAS  Article  Google Scholar 

  • Siddique T, Zahir ZA, Frankenberger WT Jr (2003b) Reversed-phase liquid chromatographic method for analysis of endosulfan and its major metabolites. J Liquid Chrom Related Technol 26:1069–1082

    Article  CAS  Google Scholar 

  • Sinha N, Narayan R, Saxena DK (1997) Effect of endosulfan on testis of growing rats. Bull Environ Contam Toxicol 58:79–86

    Article  CAS  Google Scholar 

  • Sunderam RIM, Cheng DMH, Thompson GB (1992) Toxicity of endosulfan to native and introduced fish in Australia. Environ Toxicol Chem 11:1469–1476

    Article  CAS  Google Scholar 

  • Sutherland TD, Horne I, Harcourt RL, Russell RJ, Oakeshott JG (2002) Isolation and characterization of a Mycobacterium strain that metabolizes the insecticide endosulfan. J Appl Microbiol 93:380–389

    Article  CAS  Google Scholar 

  • Sutherland TD, Horne I, Lacey MJ, Harcourt RL, Russel RJ, Oakeshott JG (2000) Enrichment of an endosulfan-degrading mixed bacterial culture. Appl Environ Microbiol 66:2822–2828

    Article  CAS  Google Scholar 

  • Sylvia DM, Fuhrmann JJ, Hartel PG, Zuberer DA (2005) Principles and applications of soil microbiology. Prentice Hall, New Jersey

    Google Scholar 

  • United States Department of Health and Human Services (1990) Toxicological profile for endosulfan. Agency for Toxic Substances and Disease Registry, Atlanta, GA

    Google Scholar 

Download references

Acknowledgments

The financial support for this study was provided by Higher Education Commission (HEC), Islamabad, Pakistan. We are grateful to Lahore College for Women University, Lahore, Pakistan for GC-MS analysis. We are also thankful to Dr. Maria L.W. Sels for editing this manuscript.

Author information

Affiliations

Authors

Corresponding author

Correspondence to Muhammad Arshad.

Rights and permissions

Reprints and Permissions

About this article

Cite this article

Hussain, S., Arshad, M., Saleem, M. et al. Biodegradation of α- and β-endosulfan by soil bacteria. Biodegradation 18, 731–740 (2007). https://doi.org/10.1007/s10532-007-9102-1

Download citation

  • Received:

  • Accepted:

  • Published:

  • Issue Date:

  • DOI: https://doi.org/10.1007/s10532-007-9102-1

Keywords

  • Bacterial biodegradation
  • Endosulfan
  • pH
  • Temperature