Abstract
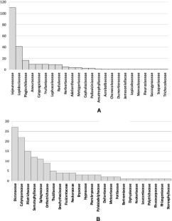
We investigated the species richness, endemism, and similarity of the bryoflora (mosses and liverworts) on five Brazilian Amazon mountains (four Tepuis and one rocky outcrop), to determine the floristic relationships between them using presence/absence matrix. Cluster analysis based on the Jaccard index was used to determine similarities between the plant assemblages in five areas. We also performed a principal component analysis to determine which abiotic variables best explained the variations between those mountains. We surveyed the bryophyte species on each of the five mountains to identify the diversity of mosses and liverworts and to answer to the following questions: (1) How many bryophyte species are there in total area (gama diversity) and on each mountain (alpha diversity)? (2) Do mosses and liverworts share patterns of diversity? (3) Can patterns of alpha diversity be used to predict patterns of beta diversity? (4) What are the species distribution patterns? (5) How many endemic species are there in the mountains? and, (6) Is there high similarity among those bryophyte floras? We encountered 425 species, 144 genera, and 51 families of bryophytes, with Lejeuneaceae and Lepidoziaceae being the richest families. A considerable number of floristic novelties were encountered: 18 species new to Brazil; 39 species new to northern Brazil; 21 species new to Amazonas State; and 2 species new to science and only recently described. Over 43% of the bryophytes have a tropical America distribution, approximately 7% are Pantropical, 6.5% are Afro-American, and 3% are endemic to Brazil (6 liverworts and 6 mosses), and 6% are widespread globally. We present a checklist of 425 bryophyte species (144 genera and 51 families) of which 12 are endemic. Patterns of endemism of the bryophyte flora on the Tepuis differ from those exhibited by angiosperms (in the latter three times higher). Thirty-nine of these species were new for the Amazonia domain in Brazil, increasing by 7% the previous total of Amazonian recorded species. The similarity between sites was low, ranging from 3 to 25%. PCA analysis showed temperature variables explaining the greater part of the variance (76.6%) between the mountains. Our results demonstrate that patterns of alpha diversity cannot be used to predict patterns of beta diversity. This paper represents the first evaluation of bryophytes on five Brazilian Amazon mountains, giving insight into their species richness, endemism, and similarity, and providing baseline information for analyzing species’ turnover rates, migration, invasion events, etc. These results also represent an increase in our general knowledge of the Brazilian bryoflora and are relevant to the conservation of bryophyte diversity in the Amazon forest, and represent a contribution toward the targets of the Global Strategy for Plant Conservation.
This is a preview of subscription content, access via your institution.








References
Almeida ME (2005) Reconhecimento geológico ao longo do baixo curso do rio Curicuriari, noroeste do estado do Amazonas. Relatório de Viagem. CPRM, Manaus [Curicuriari]
Almeida ME, Luzardo R, Pinheiro SS, Oliveira MA (2005) Folha NA.19-Pico da Neblina. In: Schobbenhaus C, Gonçalves JH, Santos JOS, Abram MB, Leão Neto R, Matos GMM, Vidotti RM, Ramos MAB, Jesus JDA (eds) Carta Geológica do Brasil ao Milionésimo, Sistemas de Informações Geográficas–SIG. Programa Geologia do Brasil, CPRM, Brasília. Edição 2004. CD–ROM
Araújo MB, Anderson RP, Barbosa AM, Beale CM, Dormann CF, Early R, O’Hara RB (2019) Standards for distribution models in biodiversity assessments. Sci Adv 5:eaat4858
Assis MV, Mattos EA (2016) Vulnerabilidade da vegetação de campos de altitude às mudanças climáticas. Oecol Aust 20:162–174
Barbosa-Silva RG, Labiak PH, Gil ASB, Goldenberg R, Michelangeli FA, Martinelli G, Coelho MAN, Zappi DC, Forzza RC (2016) Over the hills and far away: new plant records for the Guayana Shield in Brazil. Brittonia 68:397–408
Barbosa-Silva RG, Trovó M, Martinelli G, Forzza RC (2018) Up on the table mountains in Brazil: new Bromeliaceae and Eriocaulaceae (Poales) from the Pantepui in the Guayana shield. Plant Ecol Evol 151:130–141
Baselga A (2010) Partitioning the turnover and nestedness components of beta diversity. Glob Ecol Biogeogr 19:134–143
Baselga A, Orme CDL (2012) Betapart: an R package for the study of beta diversity. Meth Ecol Evol 3:808–812
Bitencourt C, Rapini A, Damascena LS, Junior PDM (2016) The worrying future of the endemic flora of a tropical mountain range under climate change. Fl-Morphol Distrib Funct Ecol Plants 218:1–10
Brasil. Departamento Nacional da Produção Mineral. Projeto RADAMBRASIL (1976) Folha NA. 19. Pico da Neblina; Geologia, geomorfologia, pedologia, vegetação e uso potencial da terra, Rio de Janeiro
Buck WR (1989) Why are there so few mosses on tepui summits? In: Herben T, McQueen CB (eds) Proceedings of the sixth meeting of the central and east European bryological working group (CEBWG). Bot Inst Czechoslovak Acad Sc, Prühonice, pp 46–51
Cantá (2019) In: Wikipedia, a enciclopédia livre. Wikimedia Foundation, Flórida. https://pt.wikipedia.org/w/index.php?title-Cant%C3%A1&oldid=56255576. Accessed Apr 2019
CBD—Convention on Biological Diversity (2010) COP 5 decision V/10: global strategy for plant conservation. https://www.cbd.int/decision/cop/default.shtml?id=7152
Christensen JH, Hewitson B, Busuioc A, Chen A, Gao X, Held I, Jones R, Kolli RK, Kwon W-T, Laprise R, Magaña Rueda V, Mearns L, Menéndez CG, Räisänen J, Rinke A, Sarr A, Whetton P (2007) Regional climate projections. In: Solomon S, Qin D, Manning M, Chen Z, Marquis M, Averyt KB, Tignor M, Millier HL (eds) Climate change 2007: the physical science basis. Contribution of Working Group I to the fourth assessment report of the intergovernmental panel on climate change. Cambridge University Press, Cambridge, pp 141–162
Coelho MN, Costa DP, Martinelli G, Moraes MD, Forzza RC (2015) Expedições às Montanhas da Amazônia. Andrea Jakobson Estúdio Editorial Ltda, Rio de Janeiro
Colwell RK, Brehm G, Cardelus CL, Gilman AC, Longino JT (2008) Global warming, elevational range shifts, and lowland biotic attrition in the wet tropics. Science 322:258–261
Conceição AA, Pirani JR (2007) Diversidade em quatro áreas de campos rupestres na Chapada Diamantina, Bahia, Brasil: Espécies distintas, mas riquezas similares. Rodriguésia 58:193–206
Cornell HV (1985) Local and regional richness of cynipine gall wasps on California oaks. Ecol 66:1247–1260
Costa DP (1999) Epiphytic bryophyte diversity in primary and secondary lowland rainforests in southeastern Brazil. Bryologist 102:320–326
Costa DP (2017) Bryophyte results from a botanical expedition to Serra do Aracá, State Amazonas, Brazil: diversity, distribution, and endemism. Bryologist 120:45–50
Costa DP, Lima FM (2005) Moss diversity in the tropical rainforests of Rio de Janeiro, southeastern Brazil. Braz J Bot 28:671–685
Costa DP, Peralta DF (2015) Briófitas. In: Lista de Espécies da Flora do Brasil. Jardim Botânico do Rio de Janeiro. https://www.floradobrasil
Costa DP, Pôrto KC, Luizi-Ponzo AP, Ilkiu-Borges AL, Bastos CJP, Câmara PEAS, Peralta DF, Bôas-Bastos SBV, Imbassahy CAA, Henriques DK, Gomes HCS, Rocha LM, Santos ND, Siviero TS, Vaz-Imbassahy TF, Churchill SP (2011) Synopsis of the Brazilian moss flora: checklist, distribution and conservation. Nova Hedwigia 93:277–334
Costa DP, Santos ND, Rezende MA, Buck WR, Schäfer-Verwimp A (2015) Bryoflora of the Itatiaia National Park along an elevation gradient: diversity and conservation. Biodivers Cons 24:2199–2212
Costa DP, Peralta DF, Buck WR, Larain J, vonKonrat M (2017) Serra do Curicuriari, Amazonas State, Brazil: the first bryofloristic analysis for a Brazilian mountain in the Amazon Forest. Phytotaxa 303:201–217
CPRM. Serviço geológico do Brasil (2006) Geologia e recursos minerais do estado do Amazonas. Programa Geologia do Brasil. Integração, atualização e difusão de dados da geologia do Brasil. Texto explicativo dos mapas geológico e de recursos minerais do Estado do Amazonas. Mapas geológicos estaduais. Escala 1:1.000.000. Ministério das Minas e Energias
Désamoré A, Vanderpoorten A, Benjamin L, Gradstein SR, Philippe JRKOK (2010) Biogeography of the lost world (Pantepui region, northeastern South America): insights from bryophytes. Phytotaxa 9:254–265
Ducke A (1938) A flora do Curicuriari, afluente do Rio Negro, observada em viagens com a Comissão Demarcadora das Fronteiras do Setor Oeste. Anais 1a Reun Sul-Americana Bot 3:389–399
Elsen PR, Tingley MW (2015) Global mountain topography and the fate of montane species under climate change. Nat Clim Change 5:772–776
Fernandes GW, Price PW (1988) Biogeographical gradients in galling species richness: tests of hypotheses. Oecologia 76:161–167
Fick SE, Hijmans RJ (2017) Worldclim 2: New 1-km spatial resolution climate surfaces for global land areas. Int J Climatol 12:4302–4315
Flora do Brasil 2020 (under construction) Navia. Flora do Brasil 2020. Jardim Botânico do Rio de Janeiro. https://floradobrasil.jbrj.gov.br/reflora/floradobrasil/FB34371
FVA and CEUC (2010) Plano de Gestão do Parque Estadual da Serra do Aracá, vol 1. Centro Estadual de Unidades de Conservação do Amazonas, CEUC, Bom Jardim
Gentry AH (1995) Patterns of diversity and floristic composition in neotropical montane forest of the tropical Andes. In: Churchill SP, Balslev H, Forero E, Luteyn JL (eds) Biodiversity and conservation of neotropical montane forests: proceedings. New York Botanical Garden, New York, pp 321–334
Gering JC, Crist TO (2002) The alpha–beta–regional relationship: providing new insights into local–regional patterns of species richness and scale dependence of diversity components. Ecol Lett 5:433–444
Gignac LD (2001) Bryophytes as indicators of climate change. Bryologist 104:410–420
Givnish TJ, Millam KC, Evans TM, Hall JC, Pires JC, Berry PE, Sytsma KJ (2004) Ancient vicariance or recent long-distance dispersal? Inferences about phylogeny and South American-African disjunctions in Rapateaceae and Bromeliaceae. Int J Plant Sci 165:S35–S54
Goldenberg R, Hinoshita LKR (2017) Two new species of Miconia (Melastomataceae, Miconieae) from the Brazilian northern border and adjacent French Guiana. Brittonia 69:535–543
Grabherr G, Gottfried M, Pauli H (2010) Climate change impacts in alpine environments. Geogr Compass 4(8):1133–1153
Gradstein SR (1995) Diversity of Hepaticae and Anthoceratoe in montane forests of the tropical Andes. In: Churchill SP, Balslev H, Forero E, Luteyn JL (eds) Biodiversity and conservation of neotropical montane forests, proceedings: Proceedings. New York Botanical Garden, New York, pp 321–334
Gradstein SR, Costa DP (2003) The Hepaticae and Anthocerotae of Brazil. Mem New York Bot Gard 87:1–318
Gradstein SR, Costa DP (2016) A new species of Syzygiella (subg. Cryptochila) from Brazil. Nova Hedwigia 103:13–16
Gradstein SR, Costa DP (2018) Plagiochila lamyana, a new liverwort species from the Guayana Highland of Brazil. Cryptogam Bryol 39:147–153
Gradstein SR, Florschuütz-de-Waard J (1989) Results of a botanical expedition to mount Roraima, Guyana, I. Bryophytes. Trop Bryol 1:25–54
Gradstein SR, Raeymaekers G (2000) Regional overviews. Tropical America (incl. Mexico). In: Hallinbäck T, Hodgetts N (eds) Mosses, liverworts and hornworts. Status survey and conservation action plan for bryophytes. IUCN-SSC, Bryophyte Specialist Group, Gland
Gradstein SR, Montfoort D, Cornelissen JH (1990) Phytogeography and species richness of the bryophyte flora of the Guianas, with special attention to the lowland rain forest. Trop Bryol 2:117–125
Gradstein SR, Churchill SP, Salazar AN (2001) Guide to the bryophytes of Tropical America. Mem New York Bot Gard 86:1–577
Griffin D III (1979) Guia preliminar para as briófitas frequentes em Manaus e adjacências. Acta Amazonica 93:1–167
Gröger A, Huber O (2007) Rock outcrop habitats in the Venezuelan Guayana lowlands: their main vegetation types and floristic components. Rev Brasil Bot 30:599–609
Hijmans RJ, Cameron SE, Parra JL, Jones PG, Jarvis A (2005) Very high resolution interpolated climate surfaces for global land areas. Int J Climatol 25:1965–1978
Hoorn C, Wesselingh FP (2011) Amazonia, landscape and species evolution: a look into the past. Wiley, New York
Huber O (1995) Geographical and physical features. In: Berry PE, Holst BK, Yatskievych K (eds) Flora of the Venezuelan Guayana, vol 1, introduction. Missouri Botanical Garden Press, St Louis, pp 1–61
Huber O, Aalrcón C (1994) Recent advances in the phytogeography of the Guayana region. South America. Mém Soc Biogeogr 4:53–63
IBAMA (2000) Plano de Manejo do Parque Nacional Monte Roraima. Ibama
Ilkiu-Borges AL, Lisboa RCL (2004a) Cololejeunea (Lejeuneaceae, Hepaticae) na Estação Científica Ferreira Penna, Melgaço, PA, Brasil. Acta Bot Bras 18:887–902
Ilkiu-Borges AL, Lisboa RCL (2004b) Os gêneros Cyclolejeunea, Haplolejeunea, Harpalejeunea, Lepidolejeunea e Rectolejeunea (Lejeuneaceae, Hepaticae) na Estação Científica Ferreira Penna, Pará, Brasil. Acta Bot Bras 18:537–553
Ilkiu-Borges AL, Tavares ACC, Lisboa RCL (2004) Briófitas da Ilha de Germoplasma, reservatório de Tucuruí, Pará, Brasil. Acta Bot Bras 18:689–692
Jaccard P (1912) The distribution of the flora of the alpine zone. New Phytol 11:37–50
Kassambara A (2016) ggcorrplot: visualization of a Correlation Matrix using’ggplot2’. R package version 0.1, 1
Kassambara A, Mundt F (2016) Factoextra: extract and visualize the results of multivariate data analyses. R package version 1.0.3
Kok PJR, MacCulloch RD, Means DB, Roelants K, Van Bocxlaer I, Bossuyt F (2012) Low genetic diversity in tepui summit vertebrates. Curr Biol 22:R589–R590
Kohler T, Wehrli A, Jurek M (2014) Mountains and climate change: A global concern. Sustainable Mountain Development Series. Centre for Development and Environment (CDE), Swiss Agency for Development and Cooperation (SDC) and Geographica Bernensia, Bern
Körner C (2004) Mountain biodiversity, its causes and function. Ambio Spec Rep 13:11–17
Laurance WF, Useche DC, Shoo LP, Herzog SK, Kessler M, Escobar F et al (2011) Global warming, elevational ranges and the vulnerability of tropical biota. Biol Conserv 144:548–557
Lisboa RCL (1976) Estudos sobre a vegetação das campinas Amazônicas. V- Brioecologia de uma Campina Amazônica. Acta Amazonica 6:171–191
Lisboa RCL (1984) Avaliação da brioflora de uma área de floresta de terra firme. I - Musci Bol Mus Paraense Emílio Goeldi 1:23–35
Lisboa RCL (1985) Avaliação da brioflora de uma área de floresta de terra firme. II - Hepaticae. Bol Mus Paraense Emílio Goeldi 1:99–114
Lisboa RCL (1994) Adições à brioflora do estado do Pará. Bol Mus Paraense Emílio Goeldi 10:15–42
Lisboa RCL, Ilkiu-Borges AL (1997) Novas ocorrências de Bryophyta (musgos) para o estado do Pará, Brasil. Acta Amazonica 27:81–102
Lisboa RCL, Maciel UN (1994) Musgos da Ilha de Marajo-I, Afuá. Bol Mus Paraense Emílio Goeldi 10:43–55
Martinelli G (1996) Campos de altitude. Editora Index, Rio de Janeiro
Martinelli G (2007) Mountain biodiversity in Brazil. Rev Bras Bot 30:587–597
McDiarmid RW, Donnelly MA (2005) The herpetofauna of the Guayana Highlands: amphibians and reptiles of the Lost World: Chapter 18. In: Donnelly MA, Crother BI, Guyer C, Wake MH, White ME (eds) Ecology and evolution in the tropics: a herpetological perspective. University of Chicago Press, Chicago, pp 461–560
Messerli B, Ives JD (1997) Mountains of the world: a global priority. Parthenon, Carnforth
MMA, Cadastro Nacional de Unidades de Conservação. Relatório parametrizado do Parque Nacional Monte Roraima. https://sistemas.mma.gov.br/cnuc/index.php?ido=relatorioparametrizado.exibeRelatorio&relatorioPadrao=true&idUc=174. Accessed Sept 2015
Moraes M, Beck S (1992) Diversidad floristica de Bolivia. In: Conservación de la diversidad biológica em Bolívia. La Paz, Centro de datos para la conservación – Bolivia, United States Agency for Internacional Development – USAID/Bolívia, La Paz, pp 73–111
Moraes ENR, Lisboa RCL (2006) Musgos (Bryophyta) da Serra dos Carajás, Estado do Pará, Brasil. Bol Mus Paraense Emílio Goeldi 2:39–68
Morais RP (2014) Aspectos dinâmicos da paisagem do lavrado, nordeste de Roraima. Monografia de Bacharelado. Universidade Federal de Roraima, Boa Vista
Morais RP, Carvalho CM (2015) Aspectos dinâmicos da paisagem do lavrado, Nordeste de Roraima. Geociências 34:55–68
Mota de Oliveira S (2010) Diversity of epiphytic bryophytes across the Amazon. Ph.D. Thesis. Universiteit Utrecht, Netherlands
Nagy L, Grabherr G (2009) The biology of alpine habitats. Oxford University Press, New York
Nogué S, Rull V, Vegas-Vilarrúbia T (2009) Modeling biodiversity loss by global warming on Pantepui, northern South America: projected upward migration and potential habitat loss. Clim Change 94:77–85
O Estado de Roraima. www.dominiopublico.gov.br/download/texto/mre000018.pdf
Oksanen J, Guillaume Blanchet F, Friendly M, Kindt R, Legendre P, McGlinn Dan, Minchin PR, O'Hara RB, Simpson GL, Solymos P, Stevens MHH, Szoecs E, Wagner H (2018) Vegan: community ecology package. R package, version 2.5–2.0. https://CRAN.R-project.org/package=vegan
Pócs T (1982) Tropical forest bryophytes. In: Smith AJE (ed) Bryophyte ecology. Chapman and Hall, London, pp 59–104
Porembski S, Martinelli G, Ohlemüller R, Barthlott W (1998) Diversity and ecology of saxicolous vegetation mats on inselbergs in the Brazilian Atlantic rainforest. Divers Distrib 4:107–119
Prance GT (1996) Islands in Amazonia. Philos Trans R Soc Lond 351:823–833
Prance GT (2014) That glorious forest. Exploring the plants and their indigenous uses in Amazonia. The New York Botanical Garden Press, Bronx
Prance GT, Johnson DM (1992) Plant collections from the plateau of Serra do Aracá (Amazonas, Brazil) and their phytogeographic affinities. Kew Bull 47:1–24
Prance GT, Nelson BW, Silva MD, Daly DC (1984 [1986]) Projeto Flora Amazônica: eight years of binational botanical expeditions. Acta Amazonica 14:5–29
Price ME (2006) Global change in mountain regions. Sapiens Publishing, Duncow
R Core Team (2018) R: a language and environment for statistical computing. R Foundation for Statistical Computing, Vienna, Austria. https://www.R-project.org/
Rangel-Ch JO (1995) La diversidad florística en el espacio andino de Colombia. In: Churchill SP, Balslev H, Forero E, Luteyn JL (eds) Biodiversity and conservation of neotropical montane forests. Proceedings. New York Botanical Garden, New York, pp 187–205
Reis CC, Monteiro EA (1995) Projeto Integração Alto Rio Negro-Serra Imeri. Reconhecimento geológico ao longo dos rios Curicuriari, Capauari e áreas adjacentes, região do alto rio Negro, Estado do Amazonas, Brasil. Relatório de Viagem. CPRM, Manaus [Curicuriari]
Ricklefs RE (1987) Community diversity: relative roles of local and regional processes. Science 235:167–171
Rosenzweig ML (1995) Species diversity in space and time. Cambridge University Press, Cambridge
Rödder D, Schlüter A, Lötters S (2009) Is the ‘Lost World’ lost? High endemism of amphibians and reptiles on South American Tepuis in a changing climate. In: Habel J, Assmann T (eds) Relict species. Phylogeography and conservation biology. Springer, Berlin, pp 401–416
Rull V, Nogué S (2007) Potential migration routes and barriers for vascular plants of the Neotropical Guyana Highlands during the Quaternary. J Biogeogr 34:1327–1341
Rull V, Vegas-Villarrúbia T (2006) Unexpected biodiversity loss under global warming in the neotropical Guayana Highlands: a preliminary appraisal. Glob Change Biol 12:1–9
Safford HD (1999) Brazilian páramos: introduction to the physical environment and vegetation of the campos de altitude. J Biogeogr 26:693–712
Safford HD (2007) Brazilian páramos IV: phytogeography of the campos de altitude. J Biogeogr 34:1701–1722
Safont E, Vegas-Villarrúbia T, Rull V (2012) Use of Environmental Impact Assessment (EIA) tools to set priorities and optimize strategies in biodiversity conservation. Biol Conserv 149:113–121
Santiago RL (1997) Estudo ecológico de briófitas do estado de Roraima. Dissertação de Mestrado, Universidade de São Paulo
Shaw AJ, Goffinet B (2000) Bryophyte biology. Cambridge University Press, New York
Sierra AM, Pereira MR, Zartman CE (2019) New records for the bryophyte flora of the Brazilian Amazon. Rodriguésia 70:e00192017
Socolar JB, Gilroy JJ, Kunin WE, Edwards DP (2016) How should beta-diversity inform biodiversity conservation? Trends Ecol Evol 31:67–80
Spehn E, Körner C (2009) Data mining for global trends in mountain biodiversity. CRC Press, Boca Raton
Spehn EM, Messerli B, Körner C (2002) A global assessment of mountain biodiversity: synthesis. In: Körner C, Spehn EM (eds) Mountain biodiversity: a global assessment. The Parthenon Publishing Group, London, pp 325–330
Spehn EM, Rudmann-Muarrer K, Körner C (2011) Mountain biodiversity. Plant Ecol Divers 4:301–302
Spruce R (1884) Hepaticae Amazonica et Andinae. Trans Proc Bot Soc Edinburgh 15:1–308
Steinbauer MJ, Grytnes JA, Jurasinski G, Kulonen A, Lenoir J, Pauli H, Bjorkman AD (2018) Accelerated increase in plant species richness on mountain summits is linked to warming. Nature 556:231–234
Steyermark JA (1986) Speciation and endemism in the flora of Venezuelan tepuis. In: Vuilleumier F, Monasterio M (eds) High altitude tropical biogeography. Oxford University Press, New York, pp 317–373
Stropp J (2011) Towards an understanding of tree diversity in Amazonian forests. University of Utrecht, CNPq, IEB, Gordon & Betty Moore Foundation, Utrecht
Stubbs RL, Soltis DE, Cellinese N (2018) The future of cold-adapted plants in changing climates: Micranthes (Saxifragaceae) as a case study. Ecol Evol 8:7164–7177
Sun SQ, Wang GX, Chang SX, Bhatti JS, Tian WL, Luo J (2017) Warming and nitrogen addition effects on bryophytes are species and plant community specific on the eastern slope of the Tibetan Plateau. J Veg Sci 28:128–138
Suzuki R, Shimodara H (2006) Pvclust: an R package for assessing the uncertainty in hierarchical clustering. Bioinformatics 22:1540–1542
ter Steege H, Sabatier D, Castellanos H, van Andel T, Duivenvoorden J, de Oliveira A, Maas P, Mori S (2000) An analysis of the floristic composition and diversity of Amazonian forests including those of the Guiana Shield. J Trop Ecol 16:801–828
ter Steege H, Pitman NCA, Sabatier D, Baraloto C, Salomão RP, Guevara JE, Phillips OL, Castilho CV, Magnusson WE, Molino J-F, Monteagudo A, Núñez Vargas P, Montero JC, Feldpausch TR, Coronado ENH, Killeen TJ, Mostacedo B, Vasquez R, Assis RL, Terborgh J, Wittmann F, Andrade A, Laurance WF, Laurance SGW, Marimon BS, Marimon B-H, Guimarães Vieira IC, Amaral IL, Brienen R, Castellanos H, Cárdenas López D, Duivenvoorden JF, Mogollón HF, de Matos FDA, Dávila N, García-Villacorta R, Stevenson Diaz PR, Costa F, Emilio T, Levis C, Schietti J, Souza P, Alonso A, Dallmeier F, Montoya AJD, Fernandez Piedade MT, Araujo-Murakami A, Arroyo L, Gribel R, Fine PVA, Peres CA, Toledo M, Aymard CGA, Baker TR, Cerón C, Engel J, Henkel TW, Maas P, Petronelli P, Stropp J, Zartman CE, Daly D, Neill D, Silveira M, Paredes MR, Chave J, de LimaFilho DA, Jørgensen PM, Fuentes A, Schöngart J, Cornejo Valverde F, Di Fiore A, Jimenez EM, Peñuela Mora MC, Phillips JF, Rivas G, van Andel TR, von Hildebrand P, Hoffman B, Zent EL, Malhi Y, Prieto A, Rudas A, Ruschell AR, Silva N, Vos V, Zent S, Oliveira AA, Schutz AC, Gonzales T, Trindade Nascimento M, Ramirez-Angulo H, Sierra R, Tirado M, Umaña Medina MN, van der Heijden G, Vela CIA, Vilanova Torre E, Vriesendorp C, Wang O, Young KR, Baider C, Balslev H, Ferreira C, Mesones I, Torres-Lezama A, Urrego Giraldo LE, Zagt R, Alexiades MN, Hernandez L, Huamantupa-Chuquimaco I, Milliken W, Palacios Cuenca W, Pauletto D, Valderrama Sandoval E, Valenzuela Gamarra L, Dexter KG, Feeley K, Lopez-Gonzalez G, Silman MR (2013) Hyperdominance in the Amazonian tree flora. Sci 342(6156):1243092
ter Steege H, Vaessen W, Cárdenas-López D, Sabatier D, Antonelli A, Mote de Oliveira S, Pitman NCA, Jørgensen PM, Salomão RP (2016) The discovery of the Amazonian tree flora with an updated checklist of all known tree taxa. Sci Rep 6:29549
Theurillat J-P, Guisan A (2001) Potential impact of climate change on vegetation in the European Alps: a review. Clim Change 50:77–109
Thuiller W, Araújo MB, Pearson RG, Whittaker RJ, Brotons L, Lavorel S (2004) Uncertainty in prediction of extinction risk. Nature 427:145–148
Valente EB, Pôrto KC, Bastos CJP (2016) Habitat heterogeneity and diversity of bryophytes in campos rupestres. Acta Bot Bras 31:241–249
Vegas-Villarrúbia T, Nogué S, Rull V (2012) Global warming, habitat shifts and potential refugia for biodiversity conservation in the neotropical Guayana Highlands. Biol Conserv 152:159–168
Wright SJ, Muller-Landau HC, Schipper J (2009) The Future of tropical species on a warmer planet. Cons Biol 23:1418–1426
Yano O (1992) Briófitas da Ilha de Maracá, Roraima, Brasil. Acta Amazônica 22:535–539
Yano O, Câmara PEAS (2004) Briófitas de Manaus, Amazonas, Brasil. Acta Amazônica 34:445–457
Zartman C, Ilkiu-Borges AL (2007) Guia para as briófitas epífilas da Amazônia Central. Editora INPA, Manaus
Acknowledgements
The author is grateful to NATURA Cosmetics S.A. for providing funds for expeditions within the project “Montanhas da Amazônia”; the Negaunee Foundation and the Field Museum that supported my studies of the liverwort collections made by R.M. Schuster in the “Projeto Flora Amazônica” in 1979 (now housed at F herbarium); the Museum Collection Spending Fund administered by The Field Museum and the National Science Foundation (Award No. 1458300 and No. 1145898); CAPES (Coordination for the Improvement of Higher Education Personnel - Grant No. 88887.373031/2019-00); and the anonymous reviewer for detailed comments.
Author information
Authors and Affiliations
Corresponding author
Ethics declarations
Conflict of interest
The authors declare that they have no conflicts of interest.
Ethical approval
This research adhered to national and international guidelines for the treatment of research animals and was conducted in accordance with the legal requirements of Brazil.
Additional information
Communicated by T.G. Allan Green.
Publisher's Note
Springer Nature remains neutral with regard to jurisdictional claims in published maps and institutional affiliations.
Electronic supplementary material
Below is the link to the electronic supplementary material.
Rights and permissions
About this article
Cite this article
Costa, D.P., Nadal, F. & da Rocha, T.C. The first botanical explorations of bryophyte diversity in the Brazilian Amazon mountains: high species diversity, low endemism, and low similarity. Biodivers Conserv 29, 2663–2688 (2020). https://doi.org/10.1007/s10531-020-01993-9
Received:
Revised:
Accepted:
Published:
Issue Date:
DOI: https://doi.org/10.1007/s10531-020-01993-9
Keywords
- Tepui
- Brazilian Amazon
- Bryophytes
- Biodiversity
- Endemism
- Similarity