Abstract
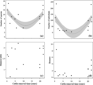
Grazing by large herbivorous mammals is still a structuring force in tropical grassy ecosystems, and cattle grazing is one of the main economic activities carried out in these ecosystems in modern times. Therefore, understanding the impacts of cattle grazing removal on biodiversity may be a key step for conservation of this ecosystem. Here, we studied the successional trajectory of dung beetle communities in a tropical grassy ecosystem after cattle removal. For this, we assessed the patterns of dung beetle taxonomic and functional diversity of 14 natural grasslands with distinct cattle grazing removal ages (from 3 months to 22 years) along a chronosequence, applying the space-for-time substitution method. Our results show a strong decrease in dung beetle abundance (93 times) and species richness (6 times) in the first ten years of cattle removal. However, after ten years there is an increase in dung beetle abundance (73 times) and species richness (5 times). Taxonomic composition was also influenced by cattle removal time demonstrating the importance of cattle in the structuring of dung beetle communities in natural grasslands. In contrast, functional composition and diversity were not affected by cattle grazing removal, indicating these metrics are less sensitive to cattle absence than taxonomic diversity and composition. Our results provide evidence that cattle grazing removal, at least in the short term (10 years), may be an inefficient management tool for restoration and conservation of tropical grassy ecosystems. However, we highlight the need to investigate the reintroduction of cattle grazing after different removal times to provide complimentary information to livestock management able to integrate human use and conservation of tropical grassy ecosystems.
This is a preview of subscription content, access via your institution.





References
Adler PB, Raff DA, Lauenroth WK (2001) The effect of grazing on the spatial heterogeneity of vegetation. Oecologia 128:465–479
Alkemade R, Reid RS, van den Berg M, de Leeuw J, Jeuken M (2013) Assessing the impacts of livestock production on biodiversity in rangeland ecosystems. PNAS 110:20900–20905
Al-Rowaily SL, El-Bana ML, Al-Bakre DA, Assaeed AM, Hegazy AK, Ali MB (2015) Effects of open grazing and livestock exclusion on floristic composition and diversity in natural ecosystem of Western Saudi Arabia. Saudi J Biol Sci 22:430–437
Alvares CA, Stape JL, Sentelhas PC, Gonçalves JLM, Sparovek G (2014) Köppen’s climate classification map for Brazil. Meteorol Z 22:711–728
Anderson MJ, Gorley RN, Clarke KR (2008) PERMANOVA+ for PRIMER: guide to software and statistical methods. PRIMER-E 214, Plymouth
Anderson MJ, Willis TJ (2003) Canonical analysis of principal coordinates: a useful method of constrained ordination for ecology. Ecology 84:511–525
Audino LD, Louzada J, Comita L (2014) Dung beetle as indicators of tropical forest restauration success: is it possible to recover species and functional diversity? Biol Conserv 169:248–257
Audino LD, Murphy SJ, Zambaldi L, Louzada J, Comita LS (2017) Drivers of community assembly in tropical forest restoration sites: role of local environment, landscape, and space. Ecol Appl 27:1731–1745
Bakker ES, Gill JL, Johnson CN, Vera FWM, Sandom CJ, Asner GP, Svenning J-C (2015) Combining paleo-data and modern exclosure experiments to assess the impact of megafauna extinctions on woody vegetation. PNAS 113:847–855
Bakker JP, Olff H, Willems JH, Zobel M (1996) Why we do need permanent plots in the study of long-term vegetation dynamics. J Veg Sci 7:147–156
Barragán F, Moreno CE, Escobar F, Halffter G, Navarrete D (2011) Negative impacts of human land use on dung beetle functional diversity. PLoS ONE 6:e17976
Beiroz W, Sayer E, Slade EM, Audino L, Braga RF, Louzada J, Barlow J (2018) Spatial and temporal shifts in functional and taxonomic diversity of dung beetle in a human-modified tropical forest landscape. Ecol Ind 95:418–526
Blois JL, Williams JW, Fitzpatrick MC, Jackson ST, Ferrier S (2013) Space can substitute for time in predicting climate-change effects on biodiversity. PNAS 110:9374–9379
Bond WJ, Parr CL (2010) Beyond the forest edge: ecology, diversity and conservation of the grassy biomes. Biol Conserv 143:2395–2404
Braga RF, Korasaki V, Andresen E, Louzada J (2013) Dung beetle community and functions along a habitat-disturbance gradient in the Amazon: a rapid assessment of ecological functions associated to biodiversity. PLoS ONE 8:e5778
Buse J, Slachta M, Sladecek FXJ, Pung M, Wagner T, Entling MH (2015) Relative importance of pasture size and grazing continuity for the long-term conservation of European dung beetles. Biol Conserv 187:112–119
Cao C, Shuai LY, Xin XP, Liu ZT, Song YL, Zeng ZG (2016) Effects of cattle grazing on small mammal communities in the Hulunber meadow steppe. PerrJ 4:e2349
Cava MGB, Pilon NAL, Ribeiro MC, Durigan G (2018) Abandoned pastures cannot spontaneously recover the attributes of old-growth savannas. J Appl Ecol 55:1164–1172
Clarke KR (1993) Nonparametric analyses of changes in community structure. Aust J Ecol 18:117–143
Clarke KR, Gorley RN (2006) Primer v6 Permanova+. Primer-E Ltd., Plymouth
Correa CMA, Braga RF, Louzada J, Menéndez R (2019a) Dung beetle diversity and functions suggest no major impacts of cattle grazing in the Brazilian Pantanal wetlands. Ecol Entomol 44:524–533
Correa CMA, Braga RF, Puker A, Abot AR, Korasaki V (2018) Optimising methods for dung beetle (Coleoptera: Scarabaeidae) sampling in Brazilian Pastures. Environ Entomol 47:48–54
Correa CMA, Braga RF, Puker A, Korasaki V (2019b) Patterns of taxonomic and functional diversity of dung beetles in a human-modified landscape in Brazilian Cerrado. J Insect Conserv 23:89–99
Correa CMA, Puker A, Ferreira KR, Cristaldo CM, Ferreira FNF, Abot AR, Korasaki V (2016a) Using dung beetles to evaluate the conversion effects from native to introduced pasture in the Brazilian Pantanal. J Insect Conserv 20:447–456
Correa CMA, Puker A, Korasaki V, Ferreira KR, Abot AR (2016b) Attractiveness of baits to dung beetles in Brazilian savanna and exotic pasturelands. Entomol Sci 19:112–123
Costa C, Oliveira VHF, Maciel R, Beiroz W, Korasaki V, Louzada J (2017) Variegated tropical landscapes conserve diverse dung beetle communities. PeerJ 5:e3125
Cristaldo MF, Souza CC, de Jesus L, Padovani CR, Oliveira PTS, Vigano HHG (2017) Analysis and distribution of rainfall monitoring network in a Brazilian Pantanal region. Rev Bras Meteorol 32:199–205
da Silva PG, Hernandez MIM (2015) Spatial patterns of movement of dung beetle species in a tropical forest suggest a new trap spacing for dung beetle biodiversity studies. PLoS ONE 10:e012611
Damgaard C (2019) A critique of the space-for-time substitution practice in community ecology. Trends Ecol Evol 34:416–421
Derhé MM, Murphy H, Monteith G, Menéndez R (2016) Measuring the success of reforestation for restoring biodiversity and ecosystem functioning. J Appl Ecol 53:1714–1724
Dettenmaier SJ, Messmer TA, Hovick TJ, Dahlgren DJ (2017) Effects of livestock grazing on rangeland biodiversity: a meta-analysis of grouse populations. Ecol Evol 7:7620–7627
Eaton DP, Keuroghlian A, Santos MCA, Desbiez ALJ, Sada DW (2017) Citzen scientists help unravel the nature of cattle impacts on native mammals and birds visiting fruit trees in Brazil’s southern Pantanal. Biol Conserv 208:29–39
Eaton DP, Santos SA, Santos MCA, Lima JVB, Keuroghlian A (2011) Rotational grazing of native pasturelands in the Pantanal: an effective conservation tool. Trop Conserv Sci 4:39–52
Edmondson JL, Stott I, Davies ZG, Gaston KJ, Leake JR (2016) Soil surface temperatures reveal moderation of the urban heat island effect by trees and shrubs. Sci Rep 6:1–8
Fadda S, Henry F, Orgeas J, Ponel P, Buisson E, Dutoit T (2008) Consequences of the cessation of 3000 years of grazing on dry Mediterranean grassland ground-active beetles assemblage. C R Biol 331:532–546
FAO (2012) World agriculture towards 2030/2050: the 2012 revision. https://www.fao.org/docrep/016/ap106e/ap106e.pdf
Filho WM, Flechtmann CAH, Godoy WAC, Bjornstad ON (2018) The impact of the introduced Digitonthophagus gazella on a native dung beetle community in Brazil during 26 years. Biol Invasions 20:963–979
Foster CN, Barton PS, Lindenmayer DB (2014) Effects of large native herbivore on the other animals. J Appl Ecol 51:929–938
França F, Louzada J, Korasaki V, Griffiths H, Silveira JM, Barlow J (2016) Do space-for-time assessments underestimate the impacts of logging on tropical biodiversity? An Amazonian case study using dung beetles. J Appl Ecol 53:1098–1105
Frank ASK, Dickman CR, Wardle GM, Greenville AC (2013) Interactions of grazing history, cattle removal and time since rain drive divergent short-term responses by desert biota. PLoS ONE 8:e68466
Fynn RWS, Augustine DJ, Pell MJS, Garine-Wichatitsky M (2016) Strategic management of livestock to improve biodiversity conservation in African savannahs: a conceptual basis for wildlife–livestock coexistence. J Appl Ecol 53:388–397
Gerisch M, Agostinelli V, Henle K, Dziock F (2012) More species, but all do the same: contrasting effects of flood disturbance on ground beetle functional and species diversity. Oikos 121:508–515
Griffiths HM, Louzada J, Bardgett RD, Beiroz W, França F, Tregidgo D, Barlow J (2015) Biodiversity and environmental context predict dung beetle-mediated seed dispersal in a tropical forest field experiment. Ecology 96:1607–1619
Halffter G, Arellano L (2002) Response of dung beetle diversity to human-induced changes in a tropical landscape. Biotropica 34:144–154
Halffter G, Edmonds WD (1982) The nesting behavior of dung beetles (Scarabaeinae)—an ecological and evolutive approach. Instituto de Ecología, Xalapa
Hammer O, Harper DAT, Ryan PD (2001) Past: paleontological statistics software package for educations and taxa analysis. Paleontol Electron 4:1–9
Hanski I, Cambefort Y (1991) Dung beetle ecology. Princeton University Press, Princeton
Herrero M, Thornton PK (2013) Livestock and global change: emerging issues for sustainable food systems. PNAS 110:20878–20881
Kröpfl AI, Cecchi GA, Villasuso NM, Distel RA (2013) Degradation and recovery processes in semi-arid patchy rangelands of northern Patagonia, Argentina. Land Degrad Dev 24:393–399
Laliberté E, Legendre P (2010) A distance-based framework for measuring functional diversity from multiple traits. Ecology 91:299–305
Larsen TH (2012) Upsole range shifts of Andean dung beetles in response to deforestation: compounding and confounding effects of microclimatic change. Biotropica 44:82–89
Laureto LMO, Cianciaruso MV, Samia DSM (2015) Functional diversity: an overview of its history and applicability. Nat Conserv 13:112–116
Legendre P, Anderson MJ (1999) Distance-based redundancy analysis: testing multi-species responses in multifactorial ecological experiments. Ecol Monogr 69:1–24
Legge S, Kennedy MS, Lloyd R, Murphy SA, Fischer A (2011) Rapid recovery of mammal fauna in the central Kimberley, northern Australia, following the removal of introduced herbivores. Austral Ecol 36:791–799
Lehmann CER, Parr CL (2016) Tropical grassy biomes: linking ecology, human use and conservation. Philos Trans R Soc B 371:20160329
Listopad CMCS, Köbel M, Príncipe A, Gonçalves P, Branquinho C (2018) The effect of grazing exclusion over time on structure, biodiversity, and regeneration on high nature value farmland ecosystems in Europe. Sci Total Environ 610–611:926–936
Macedo R, Audino LD, Korasaki V, Louzada J (2020) Conversion of Cerrado savannas into exotic pastures: the relative importance of vegetation and food resources for dung beetle assemblages. Agr Ecosyst Environ 288:106709
Madhusudan MD (2004) Recovery of wild large herbivores following livestock decline in a tropical Indian wildlife reserve. J Appl Ecol 41:858–869
Magnago LFS, Edwards DP, Edwards FA, Magrach A, Martins SV, Laurence WF (2014) Functional attributes change but functional richness is unchanged after fragmentation of Brazilian Atlantic forests. J Ecol 102:465–485
McArdle BH, Anderson MJ (2001) Fitting multivariate models to community data: a comment on distance-based redundancy analysis. Ecology 82:290–297
Miranda CHB, Santos JC, Bianchin I (2000) The role of Digitonthophagus gazella in pasture cleaning and production as result of burial of cattle dung. Pasturas Tropicales 22:14–18
Mlambo MC (2014) Not all traits are ‘functional’: insights from taxonomic and biodiversity-ecosystem functioning research. Biodivers Conserv 23:781–790
Mouillot D, Graham NAJ, Villéger S, Mason NWH, Bellwood DR (2013) A functional approach reveals community responses to disturbances. Trends Ecol Evol 28:167–177
Nichols E, Gardner TA, Peres CA, The Scarabaeinae Research Network (2009) Co-declining mammals and dung beetles: an impending ecological cascade. Oikos 118:481–487
Nichols E, Larsen T, Spector S, Davis AL, Escobar F, Favila M, Vulinec K (2007) Global dung beetle response to tropical forest modification and fragmentation: a quantitative literature review and meta-analysis. Biol Conserv 137:1–19
Nichols N, Spector S, Louzada JNC, Larsen TS, Favila M, The Scarabaeinae Research Network (2008) Ecological functions and services provided by Scarabaeinae dung beetles. Biol Conserv 141:1461–1474
Olff H, Ritchie ME (1998) Effects of herbivores on grassland plant diversity. Trends Ecol Evol 13:261–265
Overbeck GE, Müller SC, Fidelis A, Pfadenhauer J, Pillar VD, Blanco CC, Boldrini II, Both R, Forneck ED (2007) Brazil's neglected biome: the South Brazilian Campos. Perspect Plant Ecol Evol Syst 9:101–116
Overbeck GE, Vélez-Martin E, Scarano FR, Lewinsohn TM, Fonseca CR, Meyer ST, Müller SC, Ceotto P, Dadalt L, Durigan G, Ganade G, Gossner MM, Guadagnin DL, Lorenzen K, Jacobi CM, Weisser WW, Pillar VD (2015) Conservation in Brazil needs to include non-forest ecosysems. Divers Distrib 21:1455–1460
Ozkan U, Gokbulak F (2017) Effect of vegetation change from forest to herbaceous vegetation cover on soil moisture and temperature regimes and soil water chemistry. CATENA 149:158–166
Padovani CR (2010) Dinâmica espaço-temporal das inundações do Pantanal. Ph.D. Dissertation. Universidade de São Paulo, Escola Superior de Agricultura “Luis de Queiroz”, Piracicaba, SP, Brazil
Parr CL, Lehmann CER, Bond WJ, Hoffmann WA, Andersen AN (2014) Tropical grassy biomes: misunderstood, neglected, and under threat. Trends Ecol Evol 29:205–213
Peco B, Navarro E, Ccarmona CP, Medina NG, Marques MJ (2017) Effects of grazing abandonment on soil multifunctionality: the role of plant functional traits. Agri Ecosyst Environ 249:215–225
Peco B, Sánchez AM, Ascárate FM (2006) Abandonment in grazing systems: consequences for vegetation and soil. Agri Ecosyst Environ 113:284–294
Pott A, Pott VJ (2009) Vegetação do Pantanal: fitogeografia e dinâmica. In: Anais (Ed.), 2° Simpósio de Geotecnologias no Pantanal. Embrapa Informática Agropecuária/INPE, Corumbá, pp 1065–1076
Pykälä J (2003) Effects of restoration with cattle grazing on plant species composition and richness of semi-natural grasslands. Biodivers Conserv 12:2211–2226
R Development Core Team (2019) R: a language and environment for statistical computing. R Foundation for Statistical Computing. Vienna, Austria. www.RProject.org
Rosenfeld JS (2002) Functional redundancy in ecology and conservation. Oikos 98:156–162
Rees M, Condit R, Crawley M, Pacala S, Tilman D (2001) Long-term studies of vegetation dynamics. Science 293:650–655
Scholes RJ, Archer SR (1997) Tree grass interactions in savannas. Annu Rev Ecol Evol S 28:517–544
Slade EM, Mann DJ, Villanueva JF, Lewis OT (2007) Experimental evidence for the effects of dung beetle functional group richness and composition on ecosystem function in a tropical forest. J Anim Ecol 76:1094–1104
Tissiani ASO, Vaz-de-Mello FZ, Campelo-Júnior JH (2017) Dung beetle of Brazilian pastures and key to genera identification (Coleoptera: Scarabaeidae). Pesq Agropec Bras 52:401–418
Tonelli M, Verdú JR, Zunino ME (2018) Effects of progressive abandonment of grazing on dung beetles biodiversity: body size matters. Biodivers Conserv 27:189–204
Tonelli M, Verdú JR, Zunino ME (2019) Grazing abandonment and dung beetle assemblage composition: reproductive behaviour has something to say. Ecol Ind 96:361–367
Török P, Hölzel N, van Diggelen R, Tischew S (2016) Grazing in European open landscapes: how to reconcile sustainable land management and biodiversity conservation? Agri Ecosyst Environ 234:1–4
Torre I, Díaz M, Martínez-Padilla J, Bonai R, Viñuela J, Fargallo JA (2007) Cattle grazing, raptor abundance and small mammal communities in Mediterranean grasslands. Basic Appl Ecol 8:565–575
van Klink R, van der Plas F, van Noordwijk CG, Wallis-De-Vries MF, Olff H (2015) Effects of large herbivores on grassland arthropod diversity. Biol Rev 90:347–366
Vaz-de-Mello FZ, Bavutti LLO, Flechtmann CAH, Puker A, Correa CMA (2017) Lista de espécies dos Scarabaeinae (Coleoptera, Scarabaeidae) do Estado de Mato Grosso do Sul. Brasil Ilheringia Ser Zool 107:e2017120
Vaz-de-Mello FZ, Edmonds WD, Ocampo FC, Schoolmeesters P (2011) A multilingual key to the genera and subgenera of the subfamily Scarabaeinae of the New World (Coleoptera: Scarabaeidae). Zootaxa 2854:1–73
Veldmann JW, Buisson E, Durigan G, Fernandes GW, Stradic SL, May G, Negreiros D, Overbeck EG, Veldmann RG, Zaloumis NP, Putz FE, Bond WJ (2015) Toward and old-growth concept for grasslands, savannas, and woodlands. Front Ecol Environ 13:154–162
Verdú JR, Moreno EC, Sánchez-Rojas G, Numa C, Galante E, Halffter G (2007) Grazing promotes dung beetle diversity in the xeric landscape of Mexican Biosphere Reserve. Biol Conserv 140:308–317
Villéger S, Mason NWH, Mouillot D (2008) New multidimensional functional diversity indices for a multifaceted framework in functional ecology. Ecology 89:2290–2301
Wallis-de-Vries MF, Parkinson AE, Dulphy JP, Sayer M, Diana E (2007) Effects of livestock breed and grazing intensity on biodiversity and production in grazing systems. 4. Effects on animal diversity. Grass Forage Sci 62:185–197
Wogan GOU, Wang IJ (2018) The value of space-for-time substitution for studying fine-scale microevolutionary processes. Ecography 41:1456–1468
Wood S (2006) Generalized additive models: an introduction with R. CRC Press, Boca Raton
Acknowledgements
We thank the father of the first author, Agenor Martinho Correa, for his logistical support, Fernando Vaz-de-Mello for the taxonomic support and additional information about the species, to Gilmayron Mendes, Alexandre Campos and Endrew Bivar for the field support, and two anonymous reviewers for the fruitful comments on the manuscript. CMAC received a PhD scholarship from the Conselho Nacional de Desenvolvimento Científico Tecnológico (CNPq, Brazil) (140741/2015-1) from the Entomology Graduate Program, Universidade Federal de Lavras, and a PhD sandwich scholarship from the Coordenação de Aperfeiçoamento de Pessoa de Nível Superior (CAPES, Brazil) (88881.134292/2016-01).
Author information
Authors and Affiliations
Corresponding author
Additional information
Communicated by Jens Wolfgang Dauber.
Publisher's Note
Springer Nature remains neutral with regard to jurisdictional claims in published maps and institutional affiliations.
Electronic supplementary material
Below is the link to the electronic supplementary material.
Rights and permissions
About this article
Cite this article
Correa, C.M.A., Audino, L.D., Holdbrook, R. et al. Successional trajectory of dung beetle communities in a tropical grassy ecosystem after livestock grazing removal. Biodivers Conserv 29, 2311–2328 (2020). https://doi.org/10.1007/s10531-020-01975-x
Received:
Revised:
Accepted:
Published:
Issue Date:
DOI: https://doi.org/10.1007/s10531-020-01975-x
Keywords
- Biodiversity conservation
- Chronosequence
- Functional diversity
- Grasslands restoration
- Livestock management
- Scarabaeinae