Abstract
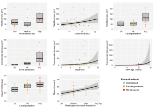
Understanding the effects and benefits provided by the design and management of Marine Protected Areas (MPAs) is crucial for developing cost‐effective management actions. We characterized the management and design of no-take zone (NTZ) networks of eight Mexican Caribbean MPAs. To determine protection effectiveness, we followed a two-step approach. First, we evaluated the effect of the level of protection (NTZ, partial and unprotected areas), habitat structure and local human threats on four fish community metrics: total biomass, commercial fish biomass, mean trophic level and commercial fish mean size. If the protection afforded by the NTZ was significant, a second model was developed to evaluate design and management effectiveness. Total biomass, commercial fish biomass and mean trophic level were correlated significantly and positively with no-take protection; and, partially protected areas showed a significant and positive correlation with commercial fish biomass and mean trophic level. MPA age was the only significant and positive design and management characteristic that explained the variation in commercial fish biomass. This might be in part due to the suboptimal design of the MPA network that has mostly resulted from economic and social opportunities with little consideration for ecological guidelines and management capacities. Our findings suggest that to increase reef fish protection it would be necessary to include reef habitats with high coral cover and structural complexity inside NTZs. However, the effectiveness of an MPA network not only requires ecological considerations but also factors that include compliance, enforcement and true community participation to achieve greater benefits. Policymakers must ensure adequate design and management of MPAs in order to improve the effectiveness of marine resource protection, promoting both sustainable use and long-term biodiversity conservation.
This is a preview of subscription content, access via your institution.



References
Abesamis RA, Green AL et al (2014) The intrinsic vulnerability to fishing of coral reef fishes and their differential recovery in fishery closures. Rev Fish Biol Fish. https://doi.org/10.1007/s11160-014-9362-x
Alvarez-Filip L, Reyes-Bonilla H, Calderon-Aguilera LE (2006) Community structure of fishes in Cabo Pulmo Reef, Gulf of California. Mar Ecol 27(3):253–262. https://doi.org/10.1111/j.1439-0485.2006.00108.x
Appeldoorn RS, Lindeman KC (2003) A Caribbean-wide survey of marine reserves: Spatial coverage and attributes of effectiveness. Gulf Caribb Res 14(2):139–154
Arias-González JE, Fung T et al (2017) A coral-algal phase shift in Mesoamerica not driven by changes in herbivorous fish abundance. PLoS ONE 12(4):1–17. https://doi.org/10.1371/journal.pone.0174855
Arin T, Kramer RA (2002) Divers’ willingness to pay to visit marine sanctuaries: an exploratory study. Ocean Coast Manag 45(2–3):171–183. https://doi.org/10.1016/S0964-5691(02)00049-2
Ayer A, Fulton S, Caamal-Madrigal JA, Espinoza-Tenorio A (2018) Halfway to sustainability: management lessons from community-based, marine no-take zones in the Mexican Caribbean. Mar Policy 93:22–30
Bartholomew A, Bohnsack JA, Smith SG et al (2008) Influence of marine reserve size and boundary length on the initial response of exploited reef fishes in the Florida Keys National Marine Sanctuary. USA Landsc Ecol 23:55–65
Bergseth BJ, Russ GR et al (2015) Measuring and monitoring compliance in no-take marine reserves. Fish Fish. https://doi.org/10.1111/faf.12051
Bezaury-Creel JE (2005) Protected areas and coastal and ocean management in México. Ocean Coast Manag 48(11–12):1016–1046. https://doi.org/10.1016/j.ocecoaman.2005.03.004
Bobiles RU, Nakamura Y (2019) Partially protected marine areas as a conservation tool for commercially important fishes in the Philippines: do age, size, and design matter? Reg Stud Mar Sci 25:100459. https://doi.org/10.1016/j.rsma.2018.100459
Bobiles RU, Soliman VS et al (2016) Partially protected marine area renders non-fishery benefits amidst high fishing pressure: a case study from eastern Philippines. Reg Stud Mar Sci 3:225–233. https://doi.org/10.1016/j.rsma.2015.11.002
Bogaert J, Rousseau R, Van Hecke P et al (2000) Alternative area-perimeter ratios for measurement of 2D shape compactness of habitats. Appl Math Comput 111:71–85
Botsford LW, Hastings A, Gaines SD (2001) Dependence of sustainability on the configuration of marine reserves and larval dispersal distance. Ecol Lett 4:144–150. https://doi.org/10.1046/j.1461-0248.2001.00208.x
Brown CJ, Parker B et al (2018) The cost of enforcing a marine protected area to achieve ecological targets for the recovery of fish biomass. Biol Conserv 227:259–265. https://doi.org/10.1016/j.biocon.2018.09.021
Burke L, Reytar K (2011) Reefs at risk revisited: technical notes on modeling threats to the world’s coral reefs. Reefs at Risk Project Purpose, 1–19
Bustamante G, Canals P et al (2014) Marine protected areas management in the Caribbean and Mediterranean seas: making them more than paper parks. Aquat Conserv: Mar Freshw Ecosyst 24(S2):153–165. https://doi.org/10.1002/aqc.2503
CBD (Convention on Biological Diversity) (2011) Strategic plan for biodiversity 2011–2020, including Aichi Biodiversity Targets. https://www.cbd.int/sp/
Chape S, Harrison J et al (2005) Measuring the extent and effectiveness of protected areas as an indicator for meeting global biodiversity targets. Philos Trans R Soc Lond Ser B Biol Sci 360:443–455. https://doi.org/10.1098/rstb.2004.1592
Claudet J, Osenberg CW et al (2008) Marine reserves: size and age do matter. Ecol Lett 11(5):481–489. https://doi.org/10.1111/j.1461-0248.2008.01166.x
Claudet J, Osenberg CW et al (2010) Marine reserves: fish life history and ecological traits matter. Ecol Appl 20(3):830–839. https://doi.org/10.1890/08-2131.1
CONANP (Comisión Nacional de Áreas Naturales Protegidas) (2017) Áreas Naturales Protegidas de México. https://sig.conanp.gob.mx/website/interactivo/anps/
Côté IM, Mosquera I et al (2001) (2001) Effects of marine reserve characteristics on the protection of fish populations: a meta-analysis. J Fish Biol 59:178–189. https://doi.org/10.1006/jfbi.2001.1752
Crawley MJ (2007) The R book. Wiley, Chichester
Cruz-Vázquez C, Rioja-Nieto R et al (2019) Spatial and temporal effects of management on the reef seascape of a marine protected area in the Mexican Caribbean. Ocean Coast Manag 169:50–57. https://doi.org/10.1016/j.ocecoaman.2018.12.005
Dahlgren C (2014) Review of the benefits of no-take zones: a report to the Wildlife Conservation Society. Technical Report
Dharmaratne GS, Yee Sang F et al (2000) Tourism potentials for financing protected areas. Ann Tour Res 27(3):590–610. https://doi.org/10.1016/S0160-7383(99)00109-7
Di Franco A, Thiriet P, Di Carlo G et al (2016) Five key attributes can increase marine protected areas performance for small-scale fisheries management. Sci Rep 6(1):38135
DOF (Diario Oficial de la Federación) (2012) Acuerdo por el que se establece una red de zonas de refugio pesquero en aguas marinas de jurisdicción federal ubicadas en el área de Sian Ka’an, dentro de la Bahía Espíritu Santo en el Estado de Quintana Roo. 30 de noviembre del 2012. https://dof.gob.mx/
DOF (Diario Oficial de la Federación) (2015) Acuerdo por el que se establece una zona de refugio pesquero en aguas marinas de jurisdicción federal ubicadas en la zona de Akumal en el Estado de Quintana Roo. https://dof.gob.mx/
DOF (Diario Oficial de la Federación) (2016a) Acuerdo por el que se da a conocer la actualización de la Carta Nacional Pesquera. Diario Oficial de la Federación. Lunes 11 de junio del 2018. Órgano del Gobierno Constitucional de los Estados Unidos Mexicanos. https://www.gob.mx/inapesca
DOF (Diario Oficial de la Federación) (2018). Ley General del Equilibrio Ecológico y Protección al Ambiente. México. (Última reforma publicada DOF 05-06-2018 ed.). https://www.diputados.gob.mx/LeyesBiblio/pdf/148_050618.pdf
DOF (Diario Oficial de la Federación) (2016b) ACUERDO por el que se da a conocer el Resumen del Programa de Manejo del Parque Nacional Costa Occidental de Isla Mujeres, Punta Cancún y Punta Nizuc. https://dof.gob.mx/
Edgar GJ, Stuart-Smith RD et al (2014) Global conservation outcomes depend on marine protected areas with five key features. Nature 506(7487):216–220. https://doi.org/10.1038/nature13022
Espinosa-Romero MJ, Torre J, Zepeda JA et al (2017) Civil society contributions to the implementation of the small-scale fisheries guidelines in Mexico. In: Jentoft S, Chuenpagdee R, Barragán-Paladines MJ, Franz N (eds) En the small-scale fisheries guidelines. Springer, Cham, pp 423–449
ESRI. Environmental Systems Resource Institute (2010) ArcInfo 10. ESRI, Redlands
Fenberg PB, Caselle JE et al (2012) The science of European marine reserves: status, efficacy, and future needs. Mar Policy 36(5):1012–1021. https://doi.org/10.1016/J.MARPOL.2012.02.021
Fogarty MJ, Botsford LW (2007) Population connectivity and spatial management of marine fisheries. Oceanography 20(3):112–123. https://doi.org/10.5670/oceanog.2007.34
Froese R, Pauly D (2016) Fishbase. World Wide Web electronic publication. https://www.fishbase.org
Gaines SD, White C et al (2010) Designing marine reserve networks for both conservation and fisheries management. Proc Natl Acad Sci USA 107(43):18286–18293. https://doi.org/10.1073/pnas.0906473107
Gill DA, Mascia MB et al (2017) Capacity shortfalls hinder the performance of marine protected areas globally. Nature 543(7647):665–669. https://doi.org/10.1038/nature21708
Gill DA, Schuhmann PW et al (2015) Recreational diver preferences for reef fish attributes: economic implications of future change. Ecol Econ 111:48–57. https://doi.org/10.1016/j.ecolecon.2015.01.004
Graham MH (2003) Confronting multicollinearity in ecological multiple regression. Ecology 84(8411):2809–2815
Graham NAJ, Dulvy NK et al (2005) Size-spectra as indicators of the effects of fishing on coral reef fish assemblages. Coral Reefs 24(1):118–124. https://doi.org/10.1007/s00338-004-0466-y
Graham NAJ, McClanahan TR et al (2017) Human disruption of coral reef trophic structure. Curr Biol 27(2):231–236. https://doi.org/10.1016/j.cub.2016.10.062
Green AL, Fernandes L et al (2014) Designing marine reserves for fisheries management, biodiversity conservation, and climate change adaptation. Coast Manag 42:143–159. https://doi.org/10.1080/08920753.2014.877763
Green AL, Maypa AP et al (2015) Larval dispersal and movement patterns of coral reef fishes, and implications for marine reserve network design. Biol Rev 90:1215–1247
Green AL, Chollett I et al (2017) Biophysical Principles for Designing a Network of Replenishment Zones for the Mesoamerican Reef System. Technical report produced by The Nature Conservancy, Comunidad y Biodiversidad, A.C., Smithsonian Institution, Perry Institute for Marine Science, Centro de Estudios Marinos, Healthy Reefs Initiative and Universidad Autónoma de Baja California Sur. https://doi.org/10.13140/RG.2.2.18562.79044
Guarderas AP, Hacker SD et al (2011) Ecological effects of marine reserves in Latin America and the Caribbean. Mar Ecol Prog Ser 429:219–225. https://doi.org/10.3354/meps09103
Hargreaves-Allen VA, Mourato S et al (2017) Drivers of coral reef marine protected area performance. PLoS ONE 12(6):1–21. https://doi.org/10.1371/journal.pone.0179394
Hawkins JP, Roberts CM (2004) Effects of artisanal fishing on caribbean coral reefs. Conserv Biol 18(1):215–226. https://doi.org/10.1111/j.1523-1739.2004.00328.x
Jackson JBC, Donovan MK et al (2014) Status and trends of Caribbean coral reefs: 1970–2012. Global Coral Reef Monitoring Network, IUCN, Gland
Jennings S, Reynolds JD et al (1998) Life history correlates of responses to fisheries explotation. R Soc 265(1393):333–339. https://doi.org/10.1098/rspb.1998.0300
Jennings S, Greenstreet SPR et al (1999) Structural change in an exploited fish community: a consequence of differential fishing effects on species with contrasting life histories. J Anim Ecol 68(3):617–627. https://doi.org/10.1046/j.1365-2656.1999.00312.x
Lang, JC, Marks KW, Kramer PA, Kramer, PR, Ginsburg RN (2010) AGRRA protocols version 5.4. p. 31. Available from http://www.agrra.org/method/AGRRA-V5.4_2010.pdf
Lester SE, Halpern BS (2008) Biological responses in marine no-take reserves versus partially protected areas. Mar Ecol Prog Ser 367:49–56. https://doi.org/10.3354/meps07599
Lucrezi S, Milanese M et al (2017) Scuba diving tourism systems and sustainability: perceptions by the scuba diving industry in two marine protected areas. Tour Manag 59:385–403. https://doi.org/10.1016/j.tourman.2016.09.004
Marine Conservation Institute (2019) MPAtlas [Online]. Seattle, WA, United States. www.mpatlas.org
Marinesque S, Kaplan DM et al (2012) Global implementation of marine protected areas: Is the developing world being left behind? Mar Policy 36(3):727–737. https://doi.org/10.1016/j.marpol.2011.10.010
McClanahan TR, Graham NAJ (2015) Marine reserve recovery rates towards a baseline are slower for reef fish community life histories than biomass. Proc R Soc B 282:20151938. https://doi.org/10.1098/rspb.2015.1938
McLeod EL, Salm R et al (2009) Designing marine protected area networks to address the impacts of climate change. Front Ecol Environ 7(7):362–370. https://doi.org/10.1890/070211
McNeill SE (1994) The selection and design of marine protected areas: Australia as a case study. Biodivers Conserv 3(7):586–605. https://doi.org/10.1007/BF00114203
Micheli F, Halpern BS et al (2004) Trajectories and correlates of community change in no-take marine reserves. Ecol Appl 14(6):1709–1723. https://doi.org/10.1890/03-5260
Molloy PP, McLean IB et al (2009) Effects of marine reserve age on fish populations: a global meta-analysis. J Appl Ecol 46(4):743–751. https://doi.org/10.1111/j.1365-2664.2009.01662.x
Mosquera I, Côté IM et al (2000) Conservation benefits of marine reserves for fish populations. Anim Conserv 4:321–332
Mouillot D, Parravicini V et al (2016) Global marine protected areas do not secure the evolutionary history of tropical corals and fishes. Nat Commun 7:10359. https://doi.org/10.1038/ncomms10359
Nash KL, Graham NAJ (2016) Ecological indicators for coral reef fisheries management. Fish Fish. https://doi.org/10.1111/faf.12157
OECD (Organization for Economic Cooperation and Development) (2017) Marine protected areas: economics, management and effective policy mixes. OEC Publishing, Paris. https://www.oecd.org/env/marine-protected-areas-9789264276208-en.htm. Accessed 07 Nov 2019
Paddack MJ, Reynolds JD et al (2009) Recent Region-wide declines in Caribbean reef fish abundance. Curr Biol 19(7):590–595. https://doi.org/10.1016/j.cub.2009.02.041
Pina-Amargós F, González-Sansón G et al (2014) Evidence for protection of targeted reef fish on the largest marine reserve in the Caribbean. PeerJ 2:e274. https://doi.org/10.7717/peerj.274
Rioja-Nieto R, Alvarez-Filip L (2019) Coral reef systems of the Mexican Caribbean: status, recent trends and conservation. Mar Pollut Bull 140:616–625. https://doi.org/10.1016/j.marpolbul.2018.07.005
Risk MJ (1972) Fish diversity on a coral reef in the Virgin Islands. Atoll Res Bull 153:1–4. https://doi.org/10.5479/si.00775630.153.1
Roberts CM, Hawkins JP (2000) Fully-protected marine reserves: a guide. WWF Department, University of York, York, YO10 5DD, UK
Rodríguez-Rodríguez D, Rodríguez J et al (2016) Marine protected area design patterns in the Mediterranean Sea: Implications for conservation. Mar Pollut Bull 110(1):335–342
Russ GR, Alcala AC (2004) Marine reserves: long-term protection is required for full recovery of predatory fish populations. Oecologia 138(4):622–627. https://doi.org/10.1007/s00442-003-1456-4
Sala E, Giakoumi S (2017) No-take marine reserves are the most effective protected areas in the ocean. ICES J Mar Sci. https://doi.org/10.1093/icesjms/fsx173
Schmitter-Soto JJ, Aguilar-Perera et al (2017) Interdecadal trends in composition, density, size, and mean trophic level of fish species and guilds before and after coastal development in the Mexican Caribbean. Biodivers Conserv 27:459–474
Sciberras M, Jenkins SR et al (2013) Evaluating the relative conservation value of fully and partially protected marine areas. Fish Fish 16(1):58–77. https://doi.org/10.1111/faf.12044
Shin Y, Rochet M et al (2005) Using size-based indicators to evaluate the ecosystem effects of fishing. ICES J Mar Sci 62:384–396
Smallhorn-West FP, Bridge TCL et al (2017) Depth distribution and abundance of a coral-associated reef fish: roles of recruitment and post-recruitment processes. Coral Reefs 36(1):157–166. https://doi.org/10.1007/s00338-016-1509-x
Smyth GK (2003) Pearson's goodness of fit statistic as a score test statistic, science and statistics: a Festschrift for Terry speed. IMS Lecture Notes—Monograph Series. Institute of Mathematical Statistics, Beachwood, vol 40, pp 115–126
Soler GA, Edgar GJ et al (2015) Reef fishes at all trophic levels respond positively to effective marine protected areas. PLoS ONE 10(10):1–12. https://doi.org/10.1371/journal.pone.0140270
Spalding MD, Meliane I et al (2016) Building towards the marine conservation end-game: consolidating the role of MPAs in a future ocean. Aquat Conserv Mar Freshw Ecosyst 26:185–199. https://doi.org/10.1002/aqc.2686
Suchley A, McField MD, Alvarez-Filip L (2016) Rapidly increasing macroalgal cover not related to herbivorous fishes on Mesoamerican reefs. PeerJ 4:e2084. https://doi.org/10.7717/peerj.2084
Suchley A, Alvarez-Filip L (2018) Local human activities limit marine protection efficacy on Caribbean coral reefs. Conserv Lett 11(5):e12571. https://doi.org/10.1111/conl.12571
Tyler EHM, Speight MR et al (2009) Evidence for a depth refuge effect in artisanal coral reef fisheries. Biol Conserv 142(3):652–667. https://doi.org/10.1016/j.biocon.2008.11.017
UNEP-WCMC (United Nations Environment Programme World Conservation Monitoring Centre), World Fish Centre, WRI (World Resources Institute), TNC (The Nature Conservancy) (2010) Global distribution of warm-water coral reefs, compiled from multiple sources including the Millennium Coral Reef Mapping Project. UNEP World Conservation Monitoring Centre, Cambridge
UNEP-WCMC and IUCN (2019) Protected planet report 2019. UNEP-WCMC and IUCN, Cambridge
Valdivia A, Cox CE et al (2017) Predatory fish depletion and recovery potential on Caribbean reefs. Sci Adv 3(3):e1601303. https://doi.org/10.1126/sciadv.1601303
Vallès H, Oxenford HA (2014) Parrotfish size: a simple yet useful alternative indicator of fishing effects on Caribbean reefs? PLoS ONE 9(1):e86291. https://doi.org/10.1371/journal.pone.0086291
Wilson SK, Graham NAJ et al (2007) Appraisal of visual assessments of habitat complexity and benthic composition on coral reefs. Mar Biol 151(3):1069–1076. https://doi.org/10.1007/s00227-006-0538-3
Acknowledgements
This study was conducted with the permission of local MPA authorities and we are grateful for their support. N.E.-A. was supported by a MSc scholarship (No. 432780) from the Mexican Council of Science and Technology (CONACyT). L.A.-F. was funded by CONACyT (PDC-247104). Funders had no role in study design, data collection, analysis, decision to publish, or manuscript preparation. A. Medina-Valmaseda, E. Perez-Cervantes, J. González-Barrios and N. Estrada-Saldivar assisted greatly with data collection and logistics. We also thank Stuart Fulton for his valuable time proofreading the manuscript.
Author information
Authors and Affiliations
Corresponding author
Additional information
Communicated by James Tony Lee.
Publisher's Note
Springer Nature remains neutral with regard to jurisdictional claims in published maps and institutional affiliations.
This article belongs to the Topical Collection: Coastal and marine biodiversity.
Electronic supplementary material
Below is the link to the electronic supplementary material.
Rights and permissions
About this article
Cite this article
Espinosa-Andrade, N., Suchley, A., Reyes-Bonilla, H. et al. The no-take zone network of the Mexican Caribbean: assessing design and management for the protection of coral reef fish communities. Biodivers Conserv 29, 2069–2087 (2020). https://doi.org/10.1007/s10531-020-01966-y
Received:
Revised:
Accepted:
Published:
Issue Date:
DOI: https://doi.org/10.1007/s10531-020-01966-y
Keywords
- Marine protected area
- Fishery replenishment zones
- coral reef fishes
- Effectiveness