Abstract
Eucalyptus benthamii is a threatened species with a restricted range to the southwest of Sydney, Australia. One extant subpopulation is relatively secure within a closed water catchment in the Kedumba Valley. However, the other main subpopulation, which once probably had a more-extensive distribution along the Nepean River, is now fragmented due to clearing for agriculture and urban development. This has impacted on reproductive success and recruitment. Planting of trees in urbanised areas and other locations along the Nepean River has been ongoing for over 20 years and is an important circa situm conservation measure. Government policy has been to plant trees that are of local provenance, however it is difficult to know whether this policy has been properly implemented: it is possible that planting stock may have been sourced from the Kedumba subpopulation. Microsatellite markers were used to examine the probable origins and kinship of 133 planted trees from 15 planted sites around Camden, NSW. Population assignment confirmed that the majority of planted trees are probably from the local Nepean River subpopulation, although some were identified that are very likely to have originated from the Kedumba Valley. While the overall diversity of the planted trees is high, kinship within individual planted stands is often elevated, increasing the potential for inbreeding and limiting their usefulness as seed sources. This probably reflects seed sourced from a narrow genetic base. We discuss the findings and their implications in the context of the species’ management and conservation strategy.
This is a preview of subscription content, access via your institution.


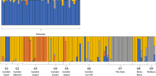
taken from Bents Basin, Wallacia and The Oaks





References
Akhtar MA, Raju R, Beattie KD, Bodkin F, MĂĽnch G (2016) Medicinal plants of the Australian aboriginal Dharawal people exhibiting anti-inflammatory activity. Evid Based Complement Altern Med 2016:8
Barbour R, Potts B, Vaillancourt R (2005) Pollen dispersal from exotic eucalypt plantations. Conserv Genet 6:253–257
Baudouin L, Lebrun P (2001) An operational Bayesian approach for the identification of sexually reproduced cross fertilized populations using molecular markers. Acta Hortic 546:81–93
Benson DH (1985) Aspects of the ecology of a rare tree species, Eucalyptus benthamii, at Bents Basin, Wallacia. Cunninghamia 1:371–383
Bodkin F, Bodkin-Andrews G (2001) D'harawal dreaming stories: the story of The Seven Peacekeepers and The Forgotten Ones. Dharawalstories.com, Sydney, Australia
Boshier DH, Gordon JE, Barrance AJ (2004) Prospects for circa situm tree conservation in Mesoamerican dry-forest agro-ecosystems. In: Frankie GW, Mata A, Vinson SB (eds) Biodiversity conservation in Costa Rica: learning the lessons in a seasonal dry forest. University of California Press, Berkeley, p 352
Bradbury D, Krauss SL (2013) Limited impact of fragmentation and disturbance on the mating system of tuart (Eucalyptus gomphocephala, Myrtaceae): implications for seed-source quality in ecological restoration. Aust J Bot 61:148–160
Broadhurst LM (2013) A genetic analysis of scattered yellow box trees (Eucalyptus melliodora A. Cunn. ex Schauer, Myrtaceae) and their restored cohorts. Biol Conserv 161:48–57
Broadhurst L, Fifield G, Vanzella B, Pickup M (2015) Evaluating the evolutionary potential of two Yellow Box (Eucalyptus melliodora A. Cunn. ex Schauer, Myrtaceae) seed production areas. Aust J Bot 63:455–466
Bush D (2011) Plantation eucalypt species: recent trends in testing and planting. IUFRO Working Group 20803: improvement and culture of eucalypts. IUFRO, Porto Seguro, Bahia, Brazil, pp 23–25
Bush D, Thumma B (2013) Characterising a Eucalyptus cladocalyx breeding population using SNP markers. Tree Genet Genomes 9:741–752
Butcher PA, Skinner AK, Gardiner CA (2005) Increased inbreeding and inter-species gene flow in remnant populations of the rare Eucalyptus benthamii. Conserv Genet 6:213–226
Byrne M, Elliott CP, Yates CJ, Coates DJ (2008) Maintenance of high pollen dispersal in Eucalyptus wandoo, a dominant tree of the fragmented agricultural region in Western Australia. Conserv Genet 9:97–105
Byrne M, Stone L, Millar MA (2011) Assessing genetic risk in revegetation. J Appl Ecol 48:1365–1373
Chybicki I, Burczyk J (2009) Simultaneous estimation of null alleles and inbreeding coefficients. J Hered 100:106–113
Costa e Silva J, Hardner C, Tilyard P, Pires AM, Potts BM (2010) Effects of inbreeding on population mean performance and observational variances in Eucalyptus globulus. Ann For Sci 67:605
Costa-e-Silva J, Potts BM, Lopez GA (2014) Heterosis may result in selection favouring the products of long-distance pollen dispersal in Eucalyptus. PLoS ONE 9:e93811
Dawson IK, Guariguata MR, Loo J, Weber JCR, Lengkeek A, Bush D, Cornelius J, Guarino L, Kindt R, Russell J, Jamnadass R (2013) What is the relevance of smallholders’ agroforestry systems for conserving tropical tree species and genetic diversity in circa situm, in situ and ex situ settings? A review. Biodivers Conserv 22:301–324
Döll-Boscardin PM, Sartoratto A, Sales Maia BHLdN, Padilha de Paula J, Nakashima T, Farago PV, Kanunfre CC (2012) In vitro cytotoxic potential of essential oils of Eucalyptus benthamii and its related terpenes on tumor cell lines. Evid Based Complem Altern Med 2012:8
Evanno G, Regnaut S, Goudet J (2005) Detecting the number of clusters of individuals using the software STRUCTURE: a simulation study. Mol Ecol 14:2611–2620
Gardiner C, Eldridge K (1995) Eucalyptus benthamii for Harrington Park. CSIRO Australian Tree Seed Centre, Canberra
Gardner R (2007) Investigating the environmental adaptability of promising subtropical and cold-tolerant eucalypt species in the warm temperate climate zone of KwaZulu-Natal, South Africa. South Hemisphere For J 69:27–38
Goudet J (2005) hierfstat, a package for r to compute and test hierarchical F-statistics. Mol Ecol Notes 5:184–186
Griffin AR, Cotterill PP (1988) Genetic variation in growth of outcrossed, selfed and open-pollinated progenies of Eucalyptus regnans and some implications for breeding strategy. Silvae Genet 37:124–131
Hardner CM, Potts BM (1997) Postdispersal selection following mixed mating in Eucalyptus regnans. Evolution 51:103–111
Hardner C, Tibbits W (1998) Inbreeding depresion for growth, wood and fecundity traits in Eucalyptus nitens. For Genet 5:11–20
Hart PW, Johnson J, Paim R (2016) Status update on development of a eucalyptus plantation program in the southeastern United States and higher elevations of southern Brazil. TAPPI J 15:148–155
Leberg PL (2002) Estimating allelic richness: effects of sample size and bottlenecks. Mol Ecol 11:2445–2449
Li Y-Y, Chen X-Y, Zhang XIN, Wu T-Y, Lu H-P, Cai Y-W (2005) Genetic differences between wild and artificial populations of Metasequoia glyptostroboides: implications for species recovery. Conserv Biol 19:224–231
Milligan BG (2003) Maximum-likelihood estimation of relatedness. Genetics 163:1153–1167
Moran GF, Hopper SD (1983) Genetic diversity and the insular population structure of the rare granite rock species, Eucalyptus caesia Benth. Aust J Bot 31:161–172
Moran GF, Hopper SD (1987) Conservation of the genetic resources of rare and widespread eucalypts in remnant vegetation. In: Saunders DA, Arnold GW, Burbidge AA, Hopkins AJM (eds) Nature conservation: the role of remnants of native vegetation. Surrey Beatty and Sons, Sydney, pp 151–162
Paetkau D, Slade R, Burden M, Estoup A (2004) Genetic assignment methods for the direct, real-time estimation of migration rate: a simulation-based exploration of accuracy and power. Mol Ecol 13:55–65
Peakall R, Smouse PE (2006) Genalex 6: genetic analysis in Excel Population genetic software for teaching and research. Mol Ecol Notes 6:288–295
Piry S, Alapetite A, Cornuet JM, Paetkau D, Baudouin L, Estoup A (2004) GENECLASS2: a software for genetic assignment and first-generation migrant detection. J Hered 95:536–539
Potts BM, Barbour RC, Hingston AB, Vaillancourt RE (2003) Genetic pollution of native eucalypt gene pools: identifying the risks. Aust J Bot 51:1–25
Pritchard J, Stephens M, Donnelly P (2000) Inference of population structure using multilocus genotype data. Genetics 155:945–959
Pritchard JK, Wen X, Falush D (2010) Documentation for structure software: Version 23. University of Chicago, Chicago
Rannala B, Mountain JL (1997) Detecting immigration by using multilocus genotypes. Proc Natl Acad Sci 94:9197–9201
Resquin F, Navarro-Cerrillo RM, Carrasco-Letelier L, Casnati CR (2019) Influence of contrasting stocking densities on the dynamics of above-ground biomass and wood density of Eucalyptus benthamii, Eucalyptus dunnii, and Eucalyptus grandis for bioenergy in Uruguay. For Ecol Manag 438:63–74
Sampson JF, Byrne M (2008) Outcrossing between an agroforestry plantation and remnant native populations of Eucalyptus loxophleba. Mol Ecol 17:2769–2781
Sampson J, Hopper S, James S (1988) Genetic diversity and the conservation of Eucalyptus crucis Maiden. Aust J Bot 36:447–460
Santini F, Andrisano T, Leonardi S, Ciaschetti G, Labriola M, Vendramin GG, Piotti A (2018) Tracking the origin of silver fir plantations along the boundary between different genetic clusters in central Apennines: implications for their management. For Ecol Manag 408:220–227
Stanturf JA, Young TM, Perdue JH, Dougherty D, Pigott M, Guo Z, Huang X (2018) Productivity and profitability potential for non-native Eucalyptus plantings in the southern USA. For Policy Econ 97:210–222
Wang J (2007) Triadic IBD coefficients and applications to estimating pairwise relatedness. Genet Res Camb 89:135–153
Waser PM, Strobeck C (1998) Genetic signatures of interpopulation dispersal. Trends Ecol Evol 13:43–44
Acknowledgements
The survey and sample collection work was partially supported by a Eucalypt Australia (Bjarne K Dahl Trust) Small Grants Program Grant to KL. The molecular marker work was supported by a CSIRO NRCA vacation scholarship program grant to LH. We acknowledge the cooperation of numerous private landowners, local government and Peter Cuneo and Richard Johnstone at the Australian Botanic Garden, Mt Annan, for allowing access to the trees sampled in this study. We thank the D’harawal Elders for sharing the cultural significance of the species with us, and respectfully acknowledge that the study was conducted on D’harawal Country.
Author information
Authors and Affiliations
Corresponding author
Additional information
Communicated by David Hawksworth.
Publisher's Note
Springer Nature remains neutral with regard to jurisdictional claims in published maps and institutional affiliations.
Electronic supplementary material
Below is the link to the electronic supplementary material.
Rights and permissions
About this article
Cite this article
Han, L., Love, K., Peace, B. et al. Origin of planted Eucalyptus benthamii trees in Camden NSW: checking the effectiveness of circa situm conservation measures using molecular markers. Biodivers Conserv 29, 1301–1322 (2020). https://doi.org/10.1007/s10531-020-01936-4
Received:
Revised:
Accepted:
Published:
Issue Date:
DOI: https://doi.org/10.1007/s10531-020-01936-4
Keywords
- Fragmentation
- Inbreeding depression
- Mixed mating
- Co-ancestry
- Population assignment