Abstract
When does a reintroduced population of animals become self-regulating? Quantifying this is critical in determining when interventions can be tapered off, or when they may need to be reinstated. We tracked the growth trajectory of a reintroduced population to establish whether it was irruptive and/or had transitioned to self-regulation. In 2012, we reintroduced 32 eastern bettongs (Bettongia gaimardi), a potoroid marsupial from Tasmania, Australia, to a 485 ha exotic predator-proof fenced reserve in the Australian Capital Territory. We established a 92 cage trap monitoring network to track population growth between the Austral Autumn 2014 and Summer 2018. We used capture-recapture models to track changes in the population through time, and modelled ‘bettong weight’, ‘pouch occupancy’ and ‘age of pouch young’ with population variation, to establish potential associations with changes in population size. The estimated population grew from 32 individuals in 2012 to 100 in 2014, 192 in Autumn 2016, and then declined to 151 in Summer 2018. Estimated survival of adults was high—above 92% between most sessions. Adult female weights ranged between 0.485 and 2.428 kg, and adult males between 0.470 and 2.775 kg. Our study showed density dependence was achieved over the 6 year period. Low adult mortality, and variable pouch occupancy related to female weight, suggested that food availability had influenced lactation in females, with flow-on impacts on juvenile survival. Long-term, broad-scale population dynamics were probably driven by a mix of direct (e.g. disease, harvesting for other reintroductions), and indirect (i.e. climate dependent availability of nutritious food) influences on population size.
This is a preview of subscription content, access via your institution.







References
ACT Government (2004) Woodlands for Wildlife: ACT Lowland Woodland Conservation Strategy. Action Plan No. 27. Environment ACT, Canberra
Armstrong DP, Davidson RS, Perrott JK, Roygard J, Buchanan L (2005) Density-dependent population growth in a reintroduced population of North Island saddlebacks. J Anim Ecol 74:160–170
Bateman A, Chambers B, Pacioni C, Rafferty C, Jones K, Bencini R (2017) Application of underpasses to expand nature reserves: responses of a critically endangered marsupial, the woylie, Bettongia penicillata. Hystrix Ital J Mammal 28:194–201
Batson W et al (2016a) Re-introduction of eastern bettong to a critically endangered woodland habitat in the Australian Capital Territory, Australia. Glob Re-introduc Perspect 172
Batson WG, Gordon IJ, Fletcher DB, Manning AD (2016b) The effect of pre-release captivity on post-release performance in reintroduced eastern bettongs Bettongia gaimardi. Oryx 50:664–673
Batson W, Gordon I, Fletcher D, Portas T, Manning A (2017) The effect of pre-release captivity on the stress physiology of a reintroduced population of wild eastern bettongs. J Zool 303:311–319
Belaganahalli MN, Mann S, Mann NS, Nomikou K, Pritchard I, Lunt R, Kirkland PD, Attoui H, Brownlie J, Mertens PPC (2012) Full genome sequencing and genetic characterization of Eubenangee viruses identify Pata virus as a distinct species within the genus Orbivirus. PLoS ONE 7:e31911
Bennett VA, Doerr VAJ, Doerr ED, Manning AD, Lindenmayer DB, Yoon H-J (2013) Habitat selection and behaviour of a reintroduced passerine: linking experimental restoration. Behav Habitat Ecol PLoS ONE 8:e54539. https://doi.org/10.1371/journal.pone.0054539
Bonferroni C (1936) Teoria statistica delle classi e calcolo delle probabilita. Pubblicazioni del R Istituto Superiore di Scienze Economiche e Commericiali di Firenze 8:3–62
Botero A et al (2013) Trypanosomes genetic diversity, polyparasitism and the population decline of the critically endangered Australian marsupial, the brush tailed bettong or woylie (Bettongia penicillata). Int J Parasitol 2:77–89. https://doi.org/10.1016/j.ijppaw.2013.03.001
Burbidge AA, Woinarski JCZ, Johnson CN (2016) Bettongia gaimardi. The IUCN red list of threatened species 2016: e.T2783A21960911
Bureau of Meteorology (2018) Climate Data Online, http://www.bom.gov.au/climate/data/index.shtml. Accessed 7 May 2018
Burnham KP, Anderson D (2002) Model selection and multimodel inference: a practical information-theoretic approach. Springer, New York
Canty A, Ripley B (2014) boot: bootstrap R (S-Plus) functions, R package version 1.3-10 edn
Cockburn A (1989) Sex-ratio variation in marsupials. Aust J Zool 37:467–479
Davidson AD, Friggens MT, Shoemaker KT, Hayes CL, Erz J, Duran R (2014) Population dynamics of reintroduced Gunnison’s Prairie dogs in the southern portion of their range. J Wildl Manag 78:429–439. https://doi.org/10.1002/jwmg.681
Davison AC, Hinkley DV (1997) Bootstrap methods and their applications. Cambridge University Press, Cambridge
Department of Arts Heritage and Environment (2006) EPBC Policy Statement 3.5—White Box—Yellow Box—Blakely’s Red Gum Grassy Woodlands and Derived Native Grasslands listing
Fischer J, Lindenmayer DB (2000) An assessment of the published results of animal relocations. Biol Conserv 96:1–11
Fisher DO (1999) Offspring sex ratio variation in the bridled nailtail wallaby, Onychogalea fraenata. Behav Ecol Sociobiol 45:411–419
Flynn TT (1930) The uterine cycle of pregnancy and pseudo-pregnancy as it is in the diprotodont marsupial Bettongia cuniculus
Fox J (2003) Effect displays in R for generalised linear models. J Stat Softw 8:1–27
Fox J, Hong J (2009) Effect displays in R for multinomial and proportional-odds logit models: extensions to the effects package. J Stat Softw 32:1–24
Gillespie LL (1992) Ginninderra, forerunner to Canberra: a history of the Ginninderra district Campbell, ACT
Göran H (1994) Long-term population development of a reintroduced beaver (Castor fiber) population in Sweden. Conserv Biol 8:713–717. https://doi.org/10.1046/j.1523-1739.1994.08030713.x
Green B, Merchant J, Newgrain K (1988) Milk consumption and energetics of growth in pouch young of the Tammar Wallaby, Macropus-Eugenii. Aust J Zool 36:217–227
IUCN/SSC (2013) Guidelines for reintroductions and other conservation translocations. Version 1.0. IUCN Species Survival Commission, Gland, Switzerland
Johnson CN (1994) Distribution of feeding-activity of the Tasmanian bettong (Bettongia gaimardi) in relation to vegetation patterns. Wildl Res 21:249–255
Johnson CN, Ritchie EG (2002) Adaptive biases in offspring sex ratios established before birth in a marsupial, the common brushtail possum Trichosurus vulpecula. Behav Ecol 13:653–656
Kassambara A (2018) ggpubr: ‘ggplot2’ based publication ready plots. R package version 0.2
Kendall WL, Nichols JD (2002) Estimating state-transition probabilities for unobservable states using capture–recapture/resighting data. Ecology 83:3276–3284
Kendall WL, Pollock KH, Brownie C (1995) A likelihood-based approach to capture-recapture estimation of demographic parameters under the robust design. Biometrics 51:293–308
Kendall WL, Nichols JD, Hines JE (1997) Estimating temporary emigration using capture–recapture data with Pollock’s robust design. Ecology 78:563–578
Laake J (2013) RMark: an R interface for analysis of capture–recapture data with MARK. AFSC processed report 2013-01 Alaska Fisheries Science Center, National Marine Fisheries Service, NOAA, Seattle, Washington
Le Gall-Payne C, Coulson G, Festa-Bianchet M (2015) Supersize me: heavy eastern grey kangaroo mothers have more sons. Behav Ecol Sociobiol 69:795–804
Lenth R (2018) Emmeans: estimated marginal means, aka least-squares means R package version 1
Manning AD, Wood JT, Cunningham RB, McIntyre S, Shorthouse DJ, Gordon IJ, Lindenmayer DB (2011) Integrating research and restoration: the establishment of a long-term woodland experiment in south-eastern Australia. Aust Zool 35:633–648
Manning AD, Eldridge DJ, Jones CG (2015) Ecosystem engineering for multiple ecosystem benefits: policy implications. In: Armstrong DP, Hayward MW, Moro D, Seddon PJ (eds) Advances in Reintroduction Biology of Australian and New Zealand Fauna. CSIRO
Mijangos JL, Pacioni C, Spencer P, Craig MD (2015) Contribution of genetics to ecological restoration. Mol Ecol 24:22–37
Munro NT, McIntyre S, Macdonald B, Cunningham SA, Gordon IJ, Cunningham RB, Manning AD (2019) Returning a lost process by reintroducing a locally extinct digging marsupial. PeerJ 7:e6622
Nicholson AJ, Bailey VA (1935) The balance of animal populations—part I. J Zool 105:551–598
Pollock KH (1982) A capture-recapture design robust to unequal probability of capture. J Wildl Manag 46:752–757. https://doi.org/10.2307/3808568
Portas T et al (2014) Health evaluation of free-ranging eastern bettongs (bettongia gaimardi) during translocation for reintroduction in australia. J Wildl Dis 50:210–223. https://doi.org/10.7589/2013-08-202
Portas TJ et al (2016) Beyond morbidity and mortality in reintroduction programmes: changing health parameters in reintroduced eastern bettongs Bettongia gaimardi. Oryx 50:674–683. https://doi.org/10.1017/S0030605315001283
Pradel R (1996) Utilization of capture-mark-recapture for the study of recruitment and population growth rate Biometrics 703–709
R Core Team (2017) R: a language and environment for statistical computing. R Foundation for Statistical Computing, Vienna
Ripple WJ, Beschta RL (2012) Trophic cascades in yellowstone: the first 15 years after wolf reintroduction. Biol Conserv 145:205–213. https://doi.org/10.1016/j.biocon.2011.11.005
Rose RW (1987) Reproductive-biology of the Tasmanian bettong (Bettongia-Gaimardi, Macropodidae). J Zool 212:59–67
Rose R (1989) Age estimation of the tasmanian bettong (Bettongia-Gaimardi) (Marsupialia, Potoroidae). Wildl Res 16:251–261
Rose RW, Johnson KA (2008) Tasmanian Bettong Bettongia gaimardi. In: Van Dyck S, Strahan R (eds) The mammals of Australia. Reed New Holland, Sydney, pp 287–288
Rose R, Morahan T, Mulchay J, Ratkowsky D (2003) Milk composition and growth in wild and captive Tasmanian bettongs, Bettongia gaimardi (Marsupialia). J Comp Physiol B 173:125–133
Rose KA, Kirkland PD, Davis RJ, Cooper DW, Blumstein D, Pritchard LI, Newberry KM, Lunt RA (2012) Epizootics of sudden death in tammar wallabies (Macropus eugenii) associated with an orbivirus infection. Aust Vet J 90:505–509
Ross CE, Munro NT, Barton PS, Evans MJ, Gillen J, Macdonald BCT, McIntyre S, Cunningham SA, Manning AD (2019) Effects of digging by a native and introduced ecosystem engineer on soil physical and chemical properties in temperate grassy woodland. PeerJ 7:e7506
Short J (1998) The extinction of rat-kangaroos (Marsupialia: Potoroidae) in New South Wales. Aust Biol Conserv 86:365–377
Shorthouse DJ et al (2012) The ‘making of’ the Mulligans flat—Goorooyarroo experimental restoration project. Ecol Manag Restor 13:112–125
Sibly RM, Hone J (2002) Population growth rate and its determinants: an overview. Philos Trans R Soc Lond B 357:1153–1170
Sunnucks P, Taylor AC (1997) Sex of pouch young related to maternal weight in Macropus eugenii and M. parma (Marsupialia: Macropodidae). Aust J Zool 45:573–578
Svenning J-C et al (2016) Science for a wilder Anthropocene: synthesis and future directions for trophic rewilding research. Proc Natl Acad Sci USA 113:898–906
Taylor RJ (1992) Distribution and abundance of fungal sporocarps and diggings of the Tasmanian bettong, Bettongia gaimardi. Aust J Ecol 17:155–160
Trivers RL, Willard DE (1973) Natural selection of parental ability to vary the sex ratio of offspring. Science 179:90–92
Tukey JW (1949) Comparing individual means in the analysis of variance. Biometrics 5:99–114
Veller C, Haig D, Nowak MA (2016) The Trivers-Willard hypothesis: sex ratio or investment? Proc R Soc B 283:20160126
Verdon-Kidd DC, Kiem AS (2009) Nature and causes of protracted droughts in southeast Australia: comparison between the Federation, WWII, and big dry droughts. Geophys Res Lett 36:LL22707
Vernes K, Pope LC (2006) Capture success and population density of the northern bettong Bettongia tropica in northeastern Queensland. Aust Mammal 28:87–92
Wauters LA, Somers L, Dhondt A (1997) Settlement behaviour and population dynamics of reintroduced red squirrels Sciurus vulgaris in a park in Antwerp, Belgium. Biol Conserv 82:101–107. https://doi.org/10.1016/S0006-3207(97)00007-4
Wayne AF, Maxwell MA, Ward CG, Vellios CV, Wilson IJ, Dawson KE (2013) Woylie conservation and research project: progress report 2010–2013. Department of Parks and Wildlife, Perth
Wayne AF, Maxwell MA, Ward CG, Vellios CV, Wilson I, Wayne JC, Williams MR (2015) Sudden and rapid decline of the abundant marsupial Bettongia penicillata in Australia. Oryx 49:175–185
White G (2016) MARK, 6.2nd edn. Department of Fish, Wildlife, and Conservation Biology, Colorado State University, Fort Collins
Wickham H (2009) ggplot2: elegant graphics for data analysis. Springer, New York
Wood SN (2006) Generalized additive models: an introduction with R. Chapman & Hall/CRC, Boca Raton
Zuckerman S (1952) The breeding seasons of mammals in captivity. J Zool 122:827–950
Acknowledgements
The translocation was carried out under license from the Tasmanian Department of Primary Industries, Parks, Water and Environment (DPIPWE) using procedures approved by their associated Ethics Committee (AEC Project 18/2010–2011). We thank DPIPWE for their support. The post-reintroduction procedures were approved by the Australian National University Animal Experimentation Ethics Committee (ethics protocol A2011/017; A2017/33). WB was supported by a Ph.D. scholarship funded through an Australian Research Council Linkage Grant (LP110100126). ADM was supported by an Australian Research Council Future Fellowship (FT100100358) during part of this study. This project was conducted as part of the Mulligans Flat–Goorooyarroo Woodland Experiment. Thanks to all the staff and volunteers that assisted with the bettong trapping. We also thank Ross Cunningham, David Dobroszczyk, Elyce Fraser, Daniel Iglesias, Stuart Jeffress, Chris Johnson, Margaret Kitchin, Ani Kunz, John Lawler, Peter Mills, Nick Mooney, Matthew Pauza, Andrea Reiss, Scott Ryan, David Shorthouse, Georgeanna Story, Jeff Wood, Grant Woodbridge and Tingbao Xu for their assistance during the project.
Author information
Authors and Affiliations
Corresponding author
Ethics declarations
Conflict of interest
We declare that there are no conflict of interest.
Additional information
Communicated by Kirsty Park.
Publisher's Note
Springer Nature remains neutral with regard to jurisdictional claims in published maps and institutional affiliations.
Appendix
Appendix
See Figs. 8, 9, 10 and Tables 1, 2, 3 and 4.
Histograms overlaid with density plots of the distribution of the estimated age of pouch young in each primary survey. Histogram bins are 10Â days long. Percentage figures (rounded to 2 significant figures) above the bars represent the percentage of the population of pouch young falling within that age group
Histograms overlaid with density plots of the distribution of the estimated age of pouch young in each primary survey. Histogram bins are 55Â days long. Percentage figures (rounded to 2 significant figures) above the bars represent the percentage of the population of pouch young falling within that age group
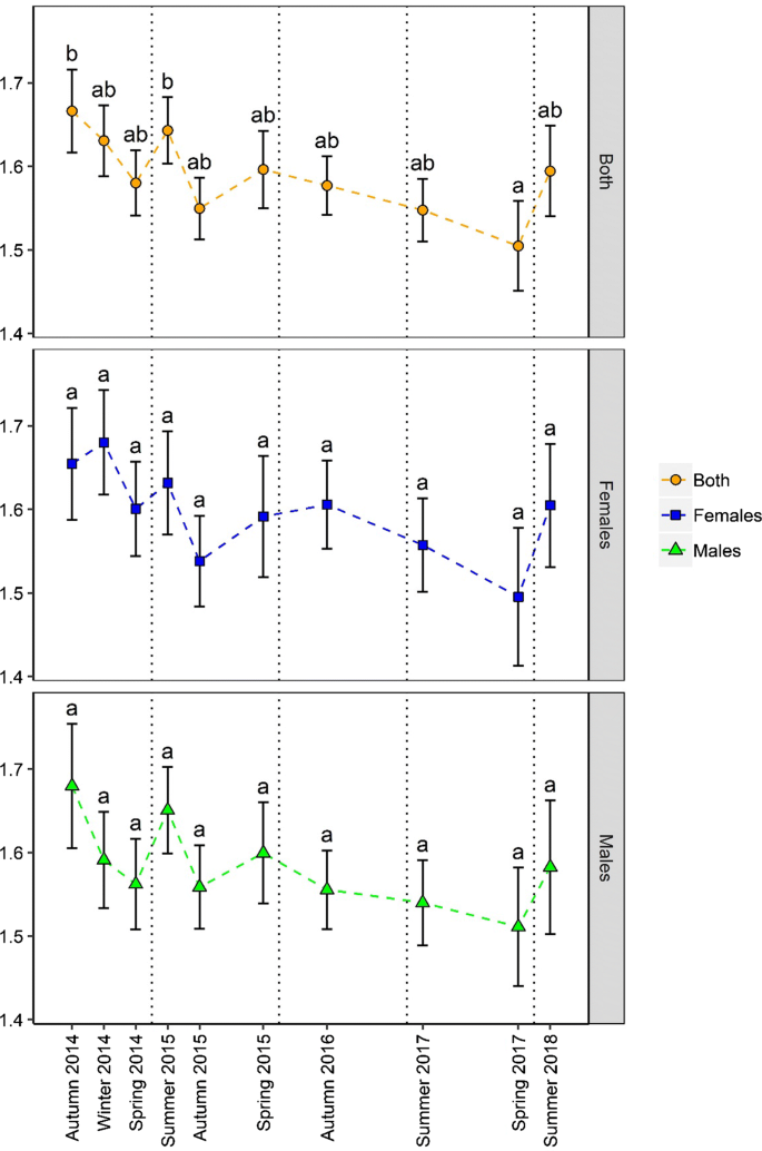
Bettong weight against time with Tukey honesty test of significance. We applied a Bonferroni correction due to multiple comparisons in the same model (p = 0.05/10 sessions; i.e. p = 0.005). Letters above the upper confidence limits denote significant differences between the estimates in each session
Rights and permissions
About this article
Cite this article
Manning, A.D., Evans, M.J., Banks, S.C. et al. Transition to density dependence in a reintroduced ecosystem engineer. Biodivers Conserv 28, 3803–3830 (2019). https://doi.org/10.1007/s10531-019-01852-2
Received:
Revised:
Accepted:
Published:
Issue Date:
DOI: https://doi.org/10.1007/s10531-019-01852-2
Keywords
- Australia
- Bettongia gaimardi
- Density dependence
- Marsupial
- Reintroduction
- Self-regulation


