Abstract
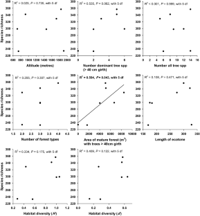
The north-western Caucasus is exceptional in Europe because of its 1.3 million hectares of unmanaged ‘virgin’ forest. The Caucasus State Nature Reserve protects some 200,000 hectares, but contiguous areas are exposed to forest loss, fragmentation and degradation. Such an extensive region of virgin forest provides a unique opportunity to document diversity along key ecological gradients for an undisturbed system in Europe. Focusing on lichen epiphytes, we surveyed local diversity hot-spots along a 1200 m altitudinal gradient. Our main results are that: (a) species richness is enormously high in 1-hectare plots (between 233 and 358) representing a new baseline for Europe, (b) species composition differs substantially among plots with turnover increasing for difference in altitude. Cumulative species richness along the gradient was 597. More than a half of detected species had an affinity for, or were restricted to either the lower or the uppermost parts of the altitudinal gradient. However, this was related to differences in forest structure, rather than altitude per se. Species richness in plots increased significantly with the proportion of sparse/open forest. Length of an ecotone line, number of available tree and shrub species and number of dominant tree species also tend to increase species richness. These four variables had higher values at the lower and upper parts of the gradient, than at mid-altitudes, explaining a bimodal relationship of species richness with altitude. We conclude that loss of forest habitat at the lower and upper margins of the altitudinal gradient will cause the most significant decline in epiphytic lichen diversity.
This is a preview of subscription content, access via your institution.





References
Akatov PV (2009) Changes in the upper limits of tree species distribution in the Western Caucasus (Belaya River Basin) related to recent climate warming. Rus J Ecol 40:33–38
Baniya CB, Solhøy T, Gauslaa Y, Palmer MW (2010) The elevation gradient of lichen species richness in Nepal. Lichenologist 42:83–96
Barkman JJ (1958) Phytosociology and ecology of cryptogamic epiphytes. Van Corcum & Comp, N.V.
Barthlott W, Hostert A, Kier G, Küper W, Kreft H, Mutke J, Rafiqpoor MD, Sommer H (2007) Geographic patterns of vascular plant diversity at continental to global scales. Erdkunde 61:305–315
Baselga A (2010) Partitioning the turnover and nestedness components of beta diversity. Glob Ecol Biogeogr 19:134–143
Bässler C, Cadotte MW, Beudert B, Heibl C, Blaschke M, Bradtka JH, Langbehn T, Werth S, Müller J (2016) Contrasting patterns of lichen functional diversity and species richness across an elevation gradient. Ecography 39:689–698
Berger F, Breuss O, Maliček J, Türk R (2018) Lichens in the primeval forest areas ‘Größer Urwald’ and ‘Kleiner Urwald’ (Rothwald, ‘Dürrenstein Wilderness Area’, Lower Austria, Austria). Herzogia 31:716–731
Bidussi M, Solhaug KA, Gauslaa Y (2016) Increased snow accumulation reduces survival and growth in dominant mat-forming arctic-alpine lichens. Lichenologist 48:237–247
Bobbink R, Hornung M, Roelofs JGM (1998) The effects of air-borne nitrogen pollutants on species diversity in natural and semi-natural European vegetation. J Ecol 86:717–738
Burnham KP, Overton WS (1978) Estimation of the size of a closed population when capture probabilities vary among animals. Biometrika 65:625–633
Cayuela L, Golicherm DJ, Benayas JMR, González-Espinosa M, Ramírez-Marcial N (2006) Fragmentation, disturbance and tree diversity conservation in tropical montane forests. J Appl Ecol 43:1172–1181
Černý T et al (2013) Environmental correlates of plant diversity in Korean temperate forests. Acta Oecologica 47:37–45
Cezanne R, Eichler M, Hohmann M-L, Wirth V (2008) Die Flechten des Odenwaldes [The lichens of Odenwald]. Andrias 17:1–520
Chao A (1987) Estimating the population size for capture-recapture data with unequal catchability. Biometrics 43:783–791
Chao A, Gotelli NJ, Hsieh TC, Sander EL, Ma KH, Colwell RK et al (2014) Rarefaction and extrapolation with Hill numbers: a framework for sampling and estimation in species diversity studies. Ecol Monogr 84:45–67
Cieśliński S (2003) Atlas rozmieszczenia porostów (Lichenes) w Polsce Północno-Wschodniej. Phytocoen, Suppl Cartogr Geobot 15:1–430
Commarmot B, Brändli U-B, Hamor F, Lavnyy V (2013) Inventory of the largest primeval beech forest in Europe–a Swiss-Ukrainian scientific adventure. WSL Swiss Federal Research Institute, Birmensdorf
Core Team R (2016) R: a language and environment for statistical computing. The R Foundation for Statistical Computing, Vienna
Ellis CJ, Yahr R, Coppins BJ (2011) Archaeobotanical evidence for a massive loss of epiphyte species richness during industrialization in southern England. Proc Roy Soc B 278:3482–3489
Ellis CJ, Eaton S, Theodoropoulos M, Elliott K (2015) Epiphyte communities and indicator species. An Ecological Guide for Scotland’s Woodlands, Royal Botanic Garden Edinburgh
Ellis CJ, Yahr R, Coppins BJ (2018) Quantifying the anthropocene loss of bioindicators for an early industrial region: an equitable baseline for biodiversity restoration. Biodivers Conserv 27:2363–2377
Etayo J (1989) Liquenes epifitos del Norte de Navarra. Tesis Doctoral Univ. Navarra, Pamplona (PhD thesis)
Freemark KE, Merriam HG (1986) Importance of area and habitat heterogeneity to bird assemblages in temperate forest fragments. Biol Cons 36:115–141
Gignac LD, Dale MRT (2005) Effects of fragment size and habitat heterogeneity on cryptogam diversity in the low-boreal forest of western Canada. Bryologist 108:50–66
Gómez-Bolea A (1985) Liqucnes epifitos en Cataluñìa. Resumen Tesis Centre PubI. Univo Barcelona, Barcelona (PhD thesis)
Groner U (2016) Flechten und assoziierte nicht lichenisierte Pilze des Bödmerenwald-Silberen-Gebiets im Muotatal, Kanton Schwyz (Schweiz). Cryptogam Helv 22:1–156
Hannah L, Carr JL, Lankerani A (1995) Human disturbance and natural habitat: a biome level analysis of a global data set. Biodivers Conserv 4:128–155
Harrison S, Ross SJ, Lawton JH (1992) Beta-diversity on geographic gradients in Britain. J Anim Ecol 61:151–158
Hill JL, Curran PJ (2003) Area, shape and isolation of tropical forest fragments: effects on tree species diversity and implications for conservation. J Biogeogr 30:1391–1403
Hofmann P (1993) Die epiphytische Flechtenflora und -vegetation des östlichen Nordtirol unter Berücksichtigung immissionsökologischer Gesichtspunkte. Bibliotheca Lichenologica 51:1–299
Homeier J, Breckle SW, Günter S, Rollenbeck RT, Leuschner C (2010) Tree diversity, forest structure and productivity along altitudinal and topographical gradients in a species-rich Ecuadorian montane rain forest. Biotropica 42:140–148
Hrivnák R et al (2011) Species richness pattern along altitudinal gradient in Central European Beech Forests. Folia Geobot 49:425–441
Ismailov A, Urbanavichus G, Vondrák J, Pouska V (2017) An old-growth forest at the Caspian Sea coast is similar in epiphytic lichens to lowland deciduous forests in Central Europe. Herzogia 30:103–125
Ismailov AB, Vondrák J, Urbanavichus GP (2019) Diversity of epiphytic lichens in a 1-hectare of a East Caucasian pine forest. Lesovedenie 4:294–303 (in Russian)
Ivanchenko TE, Tsareva DP, Yurchenko VP, Panov VD (1982) Klimat turistskikh marshrutov Zapadnogo Kavkaza v basseinakh rek Belaya i Shakhe. [The Climate of the Western Caucasus along Tourist Routes in the Belaya and Shakhe River Basins.] Gidrometeoizdat, Leningrad
Ivonin VM, Egoshin AV (2012) Fragmentation of mountain forests during facilities construction for the Olympic Games in Sochi-2014. ArcReview 3:62
James PW, Hawksworth DH, Rose F (1977) Lichen communities in the British Isles: a preliminary conspectus. Academic Press, London
Karpachevskiy M, Aksenov D, Yesipova E, Vladimirova N, Danilova I, Kobyakov K, Zhuravleva I (2015) Intact forest territories in Russia: their current estate and the losses of the last 13 years. Sustain For 2:1–7
Khoroshev AV (2017) Olympic construction and post-olympic development in Sochi: ecological costs of planning decisions. In: Kazantsev IV (ed) Ecological and geographical problems of the regions of Russia. Samara State Socio-Pedagogical University, Samara, pp 229–236
Komarova AF (2017) Diversity of coniferous forests Western Caucasus and patterns of their spatial distribution [Paзнooбpaзиe тeмнoxвoйныx лecoв Ceвepo-зaпaднoгo Кaвкaзa и зaкoнoмepнocти иx пpocтpaнcтвeннoгo pacпpeдeлeния]. Faculty of Biology, Moscow State University, Moscow. (PhD thesis, in Russian)
Komposch H, Hafellner J (2000) Diversity and vertical distribution of lichens in a Venezuelan tropical lowland rain forest. Selbyana 21:11–24
Lesica P, McCune B, Cooper SV, Hong WS (1991) Differences in lichen and bryophyte communities between old-growth and managed second-growth forests in the Swan Valley, Montana. Can J Bot 69:1745–1755
Malíček J, Berger F, Bouda F, Cezanne R, Eichler M, Halda JP, Langbehn T, Palice Z, Šoun J, Uhlík P, Vondrák J (2017) Lišejníky zaznamenané během bryologicko-lichenologického setkání v Mohelně na Třebíčsku na jaře. [Lichens recorded during the Bryological and Lichenological meeting in Mohelno (Třebíč region, southwestern Moravia) in spring 2016.] Bryonora 60:24–25
Mantel N (1967) The detection of disease clustering and a generalized regression approach. Can Res 27:209–220
Marmor L, Tõrra T, Saag L, Randlane T (2012) Species richness of epiphytic lichens in coniferous forests: the effect of canopy openness. Ann Bot Fenn 49:352–358
Martensen AC, Ribeiro MC, Banks-Leite C, Prado PI, Metzger JP (2012) Associations of forest cover, fragment area, and connectivity with neotropical understory bird species richness and abundance. Conserv Biol 26:1100–1111
MEA (2005) Ecosystems and Human Well Being. Biodiversity Synthesis. In: Millennium Ecosystem Assessment, Washington
Moning C, Werth S, Dziockd F, Bässlera C, Bradtkae J, Hothorn T, Müller J (2009) Lichen diversity in temperate montane forests is influenced by forest structure more than climate. For Ecol Manage 258:745–751
Muesel H, Jäger EJ (1989) Ecogeographical differentiation of the Submediterranean deciduous forest flora. Plant Syst Evol 162:315–329
Nascimbene J, Marini L (2015) Epiphytic lichen diversity along elevational gradients: biological traits reveal a complex response to water and energy. J Biogeogr 42:1222–1232
Nascimbene J, Spitale D (2017) Patterns of beta-diversity along elevational gradients inform epiphyte conservation in alpine forests under a climate change scenario. Biol Cons 216:26–32
Nascimbene J, Marini L, Ódor P (2012) Drivers of lichen species richness at multiple spatial scales in temperate forests. Plant Ecol Divers 5:355–363
Otte V (2007) Biodiversity of lichens and lichenicolous fungi of Mt Bol’šoj Thač (NW Caucasus) and its vicinity. Abh Ber des Naturkundemuseums Görlitz 79:131–140
Parviainen J (2005) Virgin and natural forests in the temperate zone of Europe. Forest, Snow Landsc Res 79:9–18
Peterken GF (1996) Natural woodland. Cambridge University Press, Cambridge
Pinokiyo A, Singh KP, Singh JS (2008) Diversity and distribution of lichens in relation to altitude within a protected biodiversity hot spot, north-east India. Lichenologist 40:47–62
Potapov P, Hansen MC, Laestadius C et al (2017) The last frontiers of wilderness: tracking loss of intact forest landscapes from 2000 to 2013. Sci Adv 3:e1600821
Price MF (2000) )(ed) Cooperation in the European mountains 2: The Caucasus. IUCN, Gland
Puntillo D (1996) I Licheni di Calabria. Museo Regionale di Scienze Naturali, Torino
Rahbek C (1995) The elevational gradient of species richness: a uniform pattern? Ecography 18:200–205
Sánchez-González A, López-Mata L (2005) Plant species richness and diversity along an altitudinal gradient in the Sierra Nevada, Mexico. Divers Distrib 11:567–575
Sanderson NA (2010) Lichens. In: Newton AC (ed) Biodiversity in the new forest. Pisces Publications, Newbury, pp 84–111
Schultze J, Gärtner S, Bauhus J, Meyer P, Reif A (2014) Criteria to evaluate the conservation value of strictly protected forest reserves in Central Europe. Biodivers Conserv 23:3519–3542
Stein A, Gerstner K, Kreft H (2014) Environmental heterogeneity as a universal driver of species richness across taxa, biomes and spatial scales. Ecol Lett 17:866–880
Tedersoo L, Nara K (2010) General latitudinal gradient of biodiversity is reversed in ectomycorrhizal fungi. New Phytol 185:351–354
Tedersoo L, Bahram M, Toots M, Diédhiou AG, Henkel TW, Kjøller R, Morris MH, Nara K, Nouhra E, Peay KG, Põlme S, Ryberg M, Smith ME, Kõljalg U (2012) Towards global patterns in the diversity and community structure of ectomycorrhizal fungi. Mol Ecol 21:4160–4170
Vondrák J, Malíček J, Šoun J, Pouska V (2015) Epiphytic lichens of Stužica (E Slovakia) in the context of Central European old-growth forests. Herzogia 28:104–126
Vondrák J, Malíček J, Palice Z, Coppins BJ, Kukwa M, Czarnota P, Sanderson N, Acton A (2016) Methods for obtaining more complete species lists in surveys of lichen biodiversity. Nord J Bot 34:619–626
Vondrák J, Malíček J, Palice Z, Bouda F, Berger F, Sanderson N, Acton A, Pouska V, Kish R (2018) Exploiting hot-spots; effective determination of lichen diversity in a Carpathian virgin forest. PLoS ONE 13:e0203540
Zernov AS (2006) Flora Severo-Zapadnogo Kavkaza [Flora of the North-Western Caucasus.] KMK Sciences Press, Moscow (in Russian)
Acknowledgements
Permission for research and collecting of lichen samples was issued by N. B. Eskin on behalf of Caucasus State Nature Reserve. We received support from the long-term research development grant RVO [67985939], the Russian Foundation for Basic Research (Project No 15-29-02396), and the institutional research project AAAA A18-118031590042-0.
Author information
Authors and Affiliations
Corresponding author
Additional information
Communicated by Pradeep Kumar Divakar.
Publisher's Note
Springer Nature remains neutral with regard to jurisdictional claims in published maps and institutional affiliations.
This article belongs to the Topical Collection: Forest and plantation biodiversity
Electronic supplementary material
Below is the link to the electronic supplementary material.
Rights and permissions
About this article
Cite this article
Vondrák, J., Urbanavichus, G., Palice, Z. et al. The epiphytic lichen biota of Caucasian virgin forests: a comparator for European conservation. Biodivers Conserv 28, 3257–3276 (2019). https://doi.org/10.1007/s10531-019-01818-4
Received:
Revised:
Accepted:
Published:
Issue Date:
DOI: https://doi.org/10.1007/s10531-019-01818-4
Keywords
- Altitudinal gradient
- Diversity hot-spots
- Species richness
- Forest structure
- Habitat conservation